●启动“乐享2020之夏·动感夜泉城2.0版”序幕 5月31日,市中区在绿地中心夜中心率先拉开活动序幕。 ●举办第三届“济南制造·天下共享”线上线下展销活动 6月下旬,在泉城广场举办济南制造地产品夜间展览和直播电商带货活动。 ●举办夜间文化娱乐促消费活动 在宽厚里举办“热力全开、嗨唱宽厚里”等活动;在悦立方举办“澎湃历城618购物节”。 ●开展夜间消费打折活动 组织万象城、印象城、银座商城等延时营业,推出晚间折扣、满减等活动。
A01版:重点
A02版:壹读·评论
A03版:壹读·重磅
A04版:壹读·聚焦
A05版:壹读·烟火人间
A06版:壹读
A07版:壹读·关注
A08版:财经
A09版:车界
A10版:壹读·看点
A11版:动向·国际
A12版:文娱·人物
A13版:青未了·人间
A14版:乐动·足坛
A15版:新闻·速览
A16版:车界
B01版:今日济南
B02版:今日济南·最抢眼
B03版:泉城事·壹现场
B04版:健康
L01版:今日聊城
L02版:今日聊城·城事
L03版:今日聊城·城事
L04版:今日聊城·综合
M01版:今日油田·01
M02版:今日油田·02
M03版:今日油田·03
M04版:今日油田·04
S01版:今日泰山
S02版:今日泰山·城事
S03版:今日泰山
S04版:今日泰山·城事
WR01版:荣成资讯
WR02版:荣成资讯·城事
WR03版:荣成资讯·关注
WR04版:荣成资讯·教育
WW01版:文登时讯
WW02版:文登时讯·城事
WW03版:文登时讯·社保
WW04版:文登时讯·专版
WW05版:文登时讯·专版
WW06版:文登时讯·城事
WW07版:文登时讯·招聘
WW08版:文登时讯·专版
A01版:重点
*
A02版:壹读·评论
*
盘活“地摊经济”不是权宜之计
*
保护未成年人“禁业限制”应做到三个全面
*
A03版:壹读·重磅
*
聚力“六稳”“六保” 完成全年目标
*
短缺资金已到位,再新招500人
*
总理的问候为我们鼓足前行动力
*
济南20万余名“小萌娃”归队
A04版:壹读·聚焦
*
明天启幕!齐鲁国际车展为你而来
*
A05版:壹读·烟火人间
*
店外设摊、地摊夜市都安排上了
*
“地摊”+“夜经济”聚人气拉动消费彰显城市特色
*
打造“夜泉城”文化IP品牌
*
打造一批夜间经济文化品牌
*
举办一批夜间经济特色活动
A06版:壹读
*
“一小时市场”解急海蛎子不再愁卖
*
未来一周热浪来袭,7市最高温将突破37℃
A07版:壹读·关注
*
“最美”济泰高速济南段左线贯通
*
顶着冰雹路边救人社区医生感动网友
*
隐瞒行程致整个村庄被封 莘县男子获刑一年
*
*
*
A08版:财经
*
第十一届“新华保险杯”少儿书画大赛山东赛区火热开启
*
太平人寿山东分公司公益直播为山东企业带货
*
光大银行农民工金融综合服务新升级
*
扩范围提额度,缩短审批降成本
A09版:车界
*
雪佛兰携全系车型亮相齐鲁车展
A10版:壹读·看点
*
他申请1800万国家赔偿
*
A11版:动向·国际
*
清场,出门,摆拍
*
美军万吨巨舰暴发疫情保密为由拒透感染人数
*
疫情或致美国经济损失7.9万亿美元
A12版:文娱·人物
*
经超:进入角色才不会做出“行活”
*
A13版:青未了·人间
*
不够聪明的人,要够笨
*
笔耕不辍的卖菜叔
A14版:乐动·足坛
*
赛程压力大,尤文冲冠不容易
*
A15版:新闻·速览
*
武汉核酸检测近千万人未发现确诊病例
*
黑龙江省牡丹江市开展全市核酸检测
*
南方多省份大暴雨启动四级应急响应
*
5月百城住宅均价同环比小幅上涨
*
独臂篮球少年爆红网络
*
川航“5·14”事件报告机长缺氧飞行19分54秒
*
“黑脸医生”胡卫锋抢救无效不幸去世
*
连云港“药神案”二审宣判刑罚减轻,改判为非法经营
*
火车站抢2岁女童案开庭被告人获刑一年半
*
消防员对待遇不满放火毁林被判刑10年半
*
北京实施“史上最严”野生动物保护法规
*
多部门鼓励科研项目吸纳高校毕业生
*
外语专业四、八级考试上半年不再举行
*
专科生参军退役完成学业将可免试入读本科
*
新城控股原董事长被撤销全国劳模称号
*
俄罗斯修宪全民公投7月1日举行
*
爱尔兰男子把双层公交改造为“豪宅”
*
日本大和市欲规定边走路边看手机违法
*
澳大利亚警告国民不要去美国旅行
*
A16版:车界
*
买奔驰就等齐鲁国际车展19款车型即将盛装亮相
B01版:今日济南
*
科学合理设置非机动车停车区域
*
治理占路非机动车,基层难点在哪
*
不能一“堵”了之
*
B02版:今日济南·最抢眼
*
用了八年自备井“浑水”啥时喝到头
*
办卡刚一个月理发店就关门
*
B03版:泉城事·壹现场
*
开拓路燃气管线5日起开建
*
历阳湖环湖步道月底投用
*
B04版:健康
*
慈心仁术是习惯 微创成就典范
L01版:今日聊城
*
今日本报B叠4版 本版编辑:李璇 组版:郑文
*
8项创作选题展现水城巾帼风采
*
一卡在手游遍全市所有景区景点
*
前4月,环境空气质量综合指数同比改善18.8%
L02版:今日聊城·城事
*
聊城市疾控中心送健康福利啦
*
聊城市疾控中心送健康福利啦
*
茌平区乐平铺镇对区脱贫攻坚大调研问题整改促进会议召开
*
茌平区乐平铺镇积极改善贫困残疾人生活质量
*
茌平区乐平铺镇召开决战决胜脱贫攻坚工作推进会
*
临清市大辛庄街道“三步走”推进脱贫攻坚自查评估工作
*
莘县妹冢镇巾帼齐行动,为贫困儿童送温暖
*
阳谷县残联开展建档立卡贫困残疾人遍访活动
*
阳谷全力做好贫困户入户走访工作
*
阳谷密切联系贫困户提升贫困户生活质量
*
东阿县刘集镇:身残志坚的“好媳妇”陈飞
*
“两代表一委员”联合“把脉会诊”脱贫攻坚工作
L03版:今日聊城·城事
*
东阿发布全省首个“楼长制”管理标准
*
相关链接>> 规定“楼长”人员要求等多项内容
*
聊城高新区教育局为贫困儿童搭起家校共育“暖心桥”
*
聊城开发区北城街道:帮包干部当好贫困群众贴心人
*
阳谷县残联完成贫困重度残疾人家庭无障碍改造
*
东阿县大桥镇麻庄村的脱贫攻坚路
*
莘县倡导土地流转助力脱贫攻坚
*
阳谷县巩固脱贫成果
*
轿车高速停车后备厢竟钻出两人
*
莘县扶贫车间助力脱贫攻坚
*
聊城开发区北城街道开展扶贫自查
*
阳谷县精准扶贫因地制宜
L04版:今日聊城·综合
*
轿车高速上轧线变道,逼停两辆大货车
*
茌平区菜屯镇:责任人和贫困户坐在一条板凳上
*
茌平区洪官屯镇:文艺演出送下乡,文化惠民悦人心
*
茌平区洪官屯镇召开扶贫攻坚政策落实推进会
*
聊城高新区“四到位”确保残疾人两项补贴政策落地
*
阳谷县寿张镇:确保问题整改到位 坚决打赢脱贫攻坚战
*
聊城高新区深圳路小学为患病儿童捐款送爱心
*
临清大辛庄街道贫困户经济生活“双提升”
*
开展自查自纠
*
阳谷:增强第一书记扶贫能力
*
阳谷县石佛镇妇联实施女性安康工程
*
聊城开发区北城持续做好贫困户“双提升”工作
*
聊城开发区北城街道组织开展文化惠民演出
*
投身“抗疫”志愿服务
*
师生午餐会
*
志愿逆行 “疫”往直前
*
“激辩风云”辩论赛
*
开展拓展训练
M01版:今日油田·01
*
为百日攻坚创效开辟“绿色通道”
M02版:今日油田·02
*
把时间抢回来,把效益挣回来
*
配备督导表立下“军令状”
*
瞄准甲方需求攻坚创效
*
“内堵外拓”创效增盈
M03版:今日油田·03
*
党建引领跑出攻坚创效“加速度”
*
新钻井超进度运行
*
打造绿色采油管理区
*
分类施策加快新井运行
M04版:今日油田·04
*
海上“花”开
S01版:今日泰山
*
“疫”中童趣 关爱儿童健康成长
*
亚奥特乳业:安全放心奶赢得百姓信赖
S02版:今日泰山·城事
*
噪声扰民屡教不改将被公开曝光
*
接待读者400人,每天3次擦拭消毒
*
男子乘火车外出打工图方便把铁锤藏脚脖
S03版:今日泰山
*
未来6天,最高温均在35℃以上
*
冰雹大如汤圆
*
东平泰燃公司携手山东小鸭扬帆非气板块新征程
*
蒙牛乳业泰安有限责任公司开展多样性安全月活动
S04版:今日泰山·城事
*
出租司机多收五分钱领200元罚单
*
泰城今夏最爱冷饮评选火爆进行中
*
注意!本月6日至30日泰山区开展飞防作业
*
泰安职称资格证书本月起可线上查询
*
撑起儿童健康成长保护伞
WR01版:荣成资讯
*
幸福成长
*
荣成市医保局举办“医疗保障扶贫救助政策”培训会
*
得润社区常态化疫情防控
*
港西镇海带丰收,抢晴晾晒
*
世界无烟日崂山街道卫生院在行动
*
远离烟草 守护健康
WR02版:荣成资讯·城事
*
国网荣成市供电公司
*
荣成市人民医院2020年第一期医师讲堂开讲
*
招远市中医院一行来荣成市人民医院观摩交流
*
荣成市人民医院邀请国际泌乳大咖讲“喂”爱表白
*
好好爱自己,千万别忽视更年期综合征有这么多是你不知道的!
*
崂山街道卫生院慢病防控暖人心
*
荣成市中医院成功完成一例开放型特重颅脑损伤合并脑疝手术
WR03版:荣成资讯·关注
*
融“三生三美”展乡村振兴新貌
*
管理区开展儿童节活动
*
村庄信用超市陆续开业促进诚信建设
*
速读
WR04版:荣成资讯·教育
*
“社会妈妈虹桥拉手活动”捐赠发放仪式
*
防疫知识进校园,携手共筑“安全墙”
*
府新小学举行校级吉尼斯跳绳争霸赛
*
美育服务教育 儿童节的特别礼物
*
石岛实验小学开展学生摸排指导培训讲座
*
石岛实验小学接受“六一”图书捐赠
*
市青山小学举行“备开学,大家访”活动
*
学海扬帆从“心”启航
WW01版:文登时讯
*
文登区流动人员人事档案数字化扫描工作正式启动
*
入选省“十大返乡创业农民工”就有5万元奖励
*
书法进军营
*
文登区工信局督导辖区企业做好常态化疫情防控工作
WW02版:文登时讯·城事
*
梁丽超:守护健康“疫”无反顾
*
健康扶贫暖人心 共建幸福家庭
*
守护健康 手当其中
*
界石镇村卫生室服务无缝覆盖
*
依靠科学,健康扶贫
*
信用建设进医院
*
最美男护在身边,路边救人显神威
WW03版:文登时讯·社保
*
威海市人社系统素质能力大提升暨“一次办好”现场推进会在文登区召开
*
社保缴费电子票据可以线上开具啦!
WW04版:文登时讯·专版
*
万元大奖等你拿,威海市创业大赛火热报名中!
*
不忘初心牢记使命
*
档案查询,为您解惑
*
理论宣传进基层
*
红色文化 薪火相传
WW05版:文登时讯·专版
*
追逐白色小球的阳光少年--马健翔
WW06版:文登时讯·城事
*
爱在远方
*
也说松坡
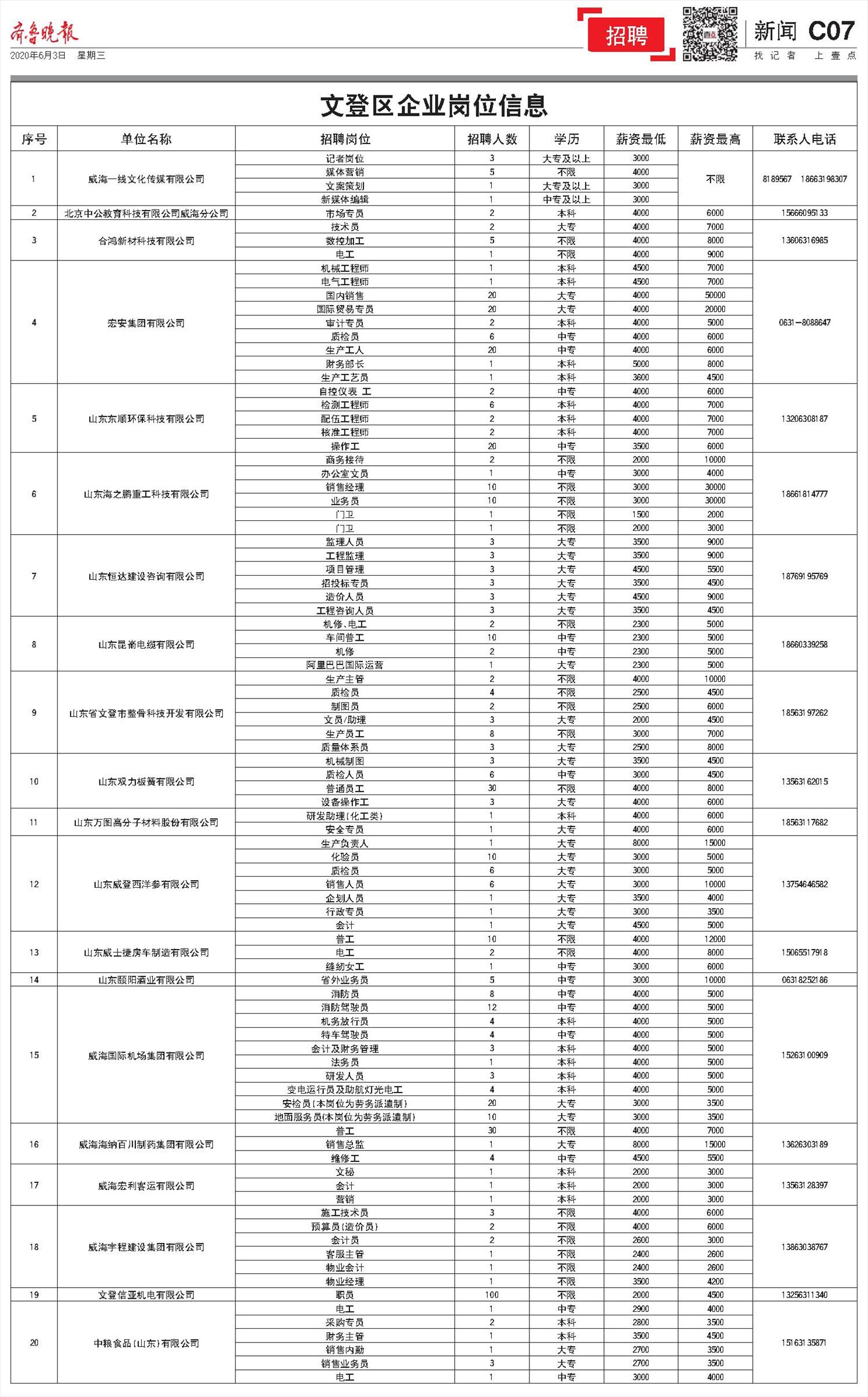
WW07版:文登时讯·招聘
WW08版:文登时讯·专版
*
区纪委监委召开领导班子专题民主生活会
*
姜全文到基层走访调研
*
为认真学习贯彻《党委(党组)落实全面
*
区纪委监委开展2020年度廉政谈话工作
举办一批夜间经济特色活动
齐鲁晚报 2020年06月03日
●启动“乐享2020之夏·动感夜泉城2.0版”序幕
5月31日,市中区在绿地中心夜中心率先拉开活动序幕。
●举办第三届“济南制造·天下共享”线上线下展销活动
6月下旬,在泉城广场举办济南制造地产品夜间展览和直播电商带货活动。
●举办夜间文化娱乐促消费活动
在宽厚里举办“热力全开、嗨唱宽厚里”等活动;在悦立方举办“澎湃历城618购物节”。
●开展夜间消费打折活动
组织万象城、印象城、银座商城等延时营业,推出晚间折扣、满减等活动。
上一篇
下一篇