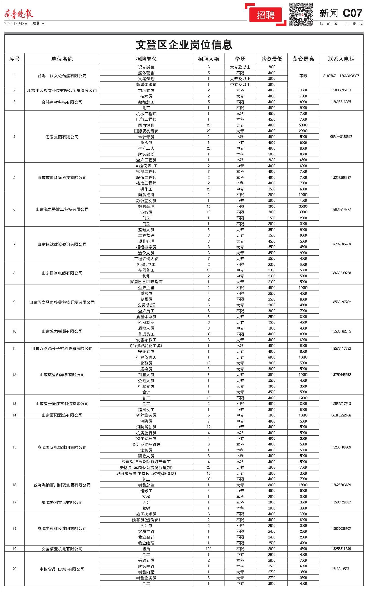
盘活“地摊经济”不是权宜之计
为“地摊经济”松绑不是非常时期的权宜之计,我们更期待疫情结束之后仍能为“地摊经济”留有充足的发展空间。
□本报评论员 王学钧
6月1日上午,国务院总理李克强在山东烟台考察时表示,地摊经济、小店经济是就业岗位的重要来源,是人间的烟火,和“高大上”一样,是中国的生机。
这并不是李克强总理第一次给“地摊经济”点赞。在今年两会之后的记者会上,他就曾对“地摊经济”给予高度评价。总理的点赞,既是为“地摊经济”撑腰打气,也是给城市治理“点题”。
曾几何时,“地摊经济”俨然成了“低端”和“脏乱差”的代名词。为了“上档次”,不少城市对“地摊经济”严加“看管”,个别地方甚至专门出台相关政策取缔“地摊”。
殊不知,看似不够“高大上”的“地摊经济”并不“低端”。从社会地位上看,只要是合法经营,“地摊经济”从业者并不比别人“矮”,无论是社会舆论,还是公共政策,都不应对他们有所歧视。从治理逻辑上看,“地摊经济”跟“脏乱差”之间并无必然的联系。正如有人所说,“地摊经济”与城市的“高大上”完全可以并行不悖。从泰国清迈的周末集市,到美国纽约百老汇跳蚤市场,再到土耳其伊斯坦布尔的大巴扎,世界各地都活跃着“地摊经济”的身影。这些城市的“地摊”非但没有带来“脏乱差”,还成了令人流连忘返的城市景观。从经营效果上看,“地摊经济”创业门槛低、失败风险低、商品价格低,可以更好地促就业、保民生,让城市就业生活更便利,让城市更富活力与亲和力。也正因如此,在成都出台“五允许一坚持”城管新政,为“地摊经济”松绑之后,“一夜之间有10万人就业”,李克强总理大加赞赏,其他城市纷纷表态跟进。
成都率先“破题”虽有着疫情防控的背景,但是,这并不意味着为“地摊经济”松绑只是一种非常时期的权宜之计。允许设置临时占道摊点摊区,允许临街店铺越门经营,允许大型商场开展占道促销,允许流动商贩贩卖经营,允许互联网租赁自行车企业扩大停放区域,坚持柔性执法和审慎包容监管,诸如此类助力“地摊经济”的政策措施可随着疫情防控形势的变化而有所调整,可无论如何,盘活“地摊经济”的决心与方向不能变。在这个意义上,中央文明办不将占道经营、马路市场、流动商贩列为今年文明城市测评考核内容值得点赞,不过,我们更期待疫情结束之后的文明城市测评仍能为“地摊经济”留有充足的发展空间。
当前,不少城市正准备出台助力“地摊经济”的政策措施。对这些城市而言,当务之急至少有如下两点。其一,要尽快完成观念上的转变。要真正看到,盘活“地摊经济”绝不是仅仅应对疫情的权宜之计,相关城市治理要有长期打算。其二,要努力实现城市治理上的升级。要充分利用现代科技,对“地摊经济”进行更稳妥的扶持、更精准的管控,避免走“一管就死,一放就乱”的老路。这同样需要从长计议,需要做大量的工作。
保护未成年人“禁业限制”应做到三个全面
□史洪举
6月1日,广东省教育厅公布了《广东省中小学教师违反职业道德行为处理实施办法(公开征求意见稿)》。征求意见稿规定,教师与学生发生不正当关系,或有任何形式的猥亵、性骚扰行为的,依法依规撤销教师资格,给予开除处分,同时录入全国教师管理系统,任何学校(幼儿园)不得再聘任其从事教育教学、科研和管理等工作。
在保护未成年人权益方面,有关部门不可谓不努力。如近年来,根据性侵害未成年人违法犯罪重发率高、熟人作案多、未成年孩子缺乏识别和防范能力等特点,一些地方不断探索建立各种防范措施,禁止此类人员从事与未成年人有密切接触的行业。这无疑是非常值得肯定的举措。但应认识到,这些措施还比较单一,限制范围和保护范围均有限。故有必要形成层级更高、限制范围更广的保护体系,让未成年人远离“坏叔叔”。
以广东省的征求意见稿为例,其将具有与学生发生不正当关系、猥亵、性骚扰等劣迹行为的人员列入禁业范围,实行终身禁教的做法固然值得肯定,有进步意义。但依然难以形成全面且系统的保护体系。
譬如,有虐待未成年人劣迹者是否也应列入限制范围?如果这些劣迹人员流动到其他地方求职的话,显然不会再受限制。而且,除在编教师外,不在编的教师、幼师、保姆、保育员等也是与未成年人密切接触的行业,是否也应加以限制。
也就是说,在保护未成年人的禁业限制方面,我们尚缺乏科学合理的制度体系。目前大多是单个部门或一个地方的探索性实践,条块分割,部门分割严重。这很容易出现纰漏,难以切实有效地对相关劣迹者形成限制作用。而且,由哪个部门行使监管职责并惩戒违反禁业限制的行为,都是亟待解决的问题。
虽然有劣迹者也享有隐私权、被遗忘权、平等就业权。但考虑到未成年人的切身利益以及此类行为造成的恶劣后果和社会影响,应该两害相权取其轻。要求此类劣迹人员为保护未成年人合法权益让渡一定权利、作出一定牺牲并不过分。要知道,国外对性侵等劣迹者的限制相当苛刻,除曝光个人信息,禁止假释、缓刑等措施之外,还可能要求其佩戴电子脚镣。
未成年人的权利不能被虚置,任何能够有效避免未成年人遭遇侵害的措施都应被探索并运用。具体到禁业限制方面,不妨遵循三个全面原则:一是劣迹涵盖全面,除性侵、猥亵等暴力犯罪外,拐卖、虐待、组织卖淫等对未成年人存在潜在危险的劣迹也应列入限制范畴;二是禁业范围全面,除教师外,凡是经常密切接触未成年人的行业都应禁入;三是覆盖地域全面,即在全国范围内限制,进而密织保护网络,让未成年人远离“黑手”。
李克强在山东考察时强调
聚力“六稳”“六保” 完成全年目标
新华社济南6月2日电 6月1日至2日,全国两会结束不久,中共中央政治局常委、国务院总理李克强在山东省委书记刘家义、代省长李干杰陪同下,在烟台、青岛考察。他强调,要坚持以习近平新时代中国特色社会主义思想为指导,落实党中央、国务院决策部署,按照政府工作报告要求,聚力“六稳”“六保”,完成全年经济社会发展目标任务。
李克强十分关心小微企业经营情况。在生产药品质量检测设备的创典公司,他详细了解国家助企纾困政策是否落到企业,听到回答不仅税收和社保费减免了,还享受到了稳岗补贴、房租减免,他进一步询问还有什么困难,要求有关部门解决好知识产权抵押贷款问题,降低企业综合融资成本。
在蓝色智谷双创空间,看到银行工作人员正在为小微企业提供咨询,李克强接连询问在场几家企业贷款利率有没有降低、融资方面还有什么要求。大家反映,融资成本有降低,但银行授信额度偏少。李克强说,双创企业、科技型小微企业普遍轻固定资产、重人力资本,要研究增加授信额度的办法,解决全国这类小微企业融资难题。今年大学毕业生人数再创新高,希望企业多招人、多招大学毕业生,国家会给予支持。他嘱咐银行工作人员,企业困难时银行合理让利,让企业赢得未来,银行发展也会更好。
在芝罘区老旧小区,李克强听取烟台市老旧小区改造汇报,询问群众最希望改什么,叮嘱一定要尊重居民意愿。他说,老旧小区改造既能改善居住条件,又能带动家装、家电等消费需求,潜力巨大,要吸引社会资本参与,加快改造步伐。李克强与小区群众交流,祝愿大家生活幸福。他强调,地方政府特别要把低保户等困难群体的基本生活托住。
在一家小食品店门口,李克强与在外摆摊的店主交谈。听了总理询问,店主回答说,前段时间没有生意,在政策支持下免了4个月房租,水电费也降了,现在只要不影响交通就可以摆摊,大家很欢迎。周边经营的个体工商户反映,疫情期间收入下降三四成,在国家支持下现在挺过来了。李克强说,国家是人民组成的,大家都去奋斗,企业就能活下来、壮大起来,国家会为发展拓展更大空间。
在海尔集团,企业负责人汇报了开展双创和发展工业互联网的情况。李克强观看企业研发推出的多系列智能产品,对他们实行人单合一模式、搭建每个员工成为创客的平台、汇聚海内外各方智慧开展创新表示赞许,勉励他们海纳百川,不断创新,走在时代前列。他要求有关部门在总结企业好做法的基础上,拿出探索大企业协同中小微企业发展、各行业融通发展的改革举措,促进更多新业态发展,带动更多就业。
李克强充分肯定山东统筹推进疫情防控和经济社会发展工作取得的成效,希望在以习近平同志为核心的党中央坚强领导下,奋发实干,稳定经济基本盘,兜牢民生底线。
肖捷、何立峰陪同考察。
山东十二学教育科技有限公司:
短缺资金已到位,再新招500人
齐鲁晚报·齐鲁壹点记者 闫丽君
“总理来访,实实在在地从资金和人才方面解决了企业发展遇到的问题,作为教育企业,我们深受鼓舞,必须加倍奉献我们的力量,我们决定在新增500名毕业生基础上,再新招500人。”6月2日下午,和总理面对面站谈并被央行行长索要名片的山东十二学教育科技有限公司创始人、董事长王勋达对记者说。
“当时也是机缘巧合,我正好和总理面对面站着沟通。”2日下午,记者见到王勋达,回想起1日的情形,他告诉记者:“当时,总理重点了解了金融支持稳企业保就业政策落实情况,仔细询问了我们小微企业目前融资实际利率、授信额度以及经营状况等。我就主动表达了中小微企业普遍遇到的难题是没有固定资产,像我这样的企业授信额度只能给到500万元。没想到总理非常关切,并现场对随行的央行行长说,像这样的‘双创’企业属于新业态,大多是轻资产、重智力。金融机构不仅要把知识产权作为融资担保依据,而且要研究将人力资本作为授信额度担保的重要依据。”
“当时非常感动,我就站在总理对面,能真切地感受到总理那种真挚的情感,他是多么迫切地想帮我们这些小微企业发展。”王勋达告诉记者,“我清楚地记得总理说了这么一句话:‘互联网+教育’是有风险的,但是风险政府与企业共同承担。这让我非常感动。”
“站谈会”后,央行行长易纲还主动跟王勋达要了名片,让王勋达感动不已。
而更让他感动的是政府部门和央行的行动力。王勋达说,站谈会结束后,人民银行以及中国银行、工商银行等十几家银行迅速和他联系,以最大限度的政策和最优的利率给予支持。据了解,目前十二学教育公司的短缺资金已迅速到位。
解决了资金困境,这让王勋达有了十足的动力。这两天,他马不停蹄地研究扩大招收毕业生的举措,并和烟台大学、山东师范大学、山东大学、曲阜师范大学等省内几大高校积极洽谈合作事宜。“今年我们计划在新增500名大学生的基础上,再新增500人,达到1000人以上的扩招规模。”2日下午,面对记者,王勋达信心十足。
烟台熟食店店主:
总理的问候为我们鼓足前行动力
齐鲁晚报·齐鲁壹点记者 秦雪丽
“总理这么惦念我们,今后肯定要加倍努力,好好干!”6月2日,“苏家麻辣拌”熟食店老板苏先生仍难掩激动之情。他说,没想到能这么近距离地接触李克强总理,总理嘘寒问暖的话语,也给他们小商贩鼓足了前行的动力。
6月1日上午,李克强考察山东烟台一处老旧小区。其间,总理来到一家名为“苏家麻辣拌”的熟食摊前,询问疫情期间受了多大影响、是否享受到房租减免、员工工资能否照发等,而苏先生正是这家熟食店的店主。
2日中午12点,齐鲁晚报·齐鲁壹点记者来到这家熟食店。现场,陆陆续续有不少市民前来购买熟食,其中不少消费者是慕名而来。“我之前都不知道这个店,看到新闻报道中总理来过,特地来尝一尝。”一位女士笑着说。
店主苏先生介绍,他经营这个店铺三年了,原料口味都是自己研制的,并用自己的头像注册了商标,因为风味独特,很受周边市民喜爱。然而一场始料未及的疫情,也让他原本热闹的店铺陷入窘境。
疫情期间,苏先生也开始思考并进行自救。“之前,熟食都是在店内现做现拌。”苏先生说,疫情期间,实体店铺受影响较大,他就开始研制熟食真空包装,将调料配好比例,抽真空存放,并利用社区群、小区商超等渠道,采取无接触配送,“让市民在家里根据口感自行调味,吃得更放心”。
让苏先生感到高兴的是,在自救的同时,为帮助个体户渡过疫情难关,政府也出台了诸多帮扶政策,为他减免了4个月房租,大约2万元,大大减轻了负担。
苏先生说,为了招揽生意,在不影响道路交通的情况下,他有时会在户外摆摊促销,而学生放学、路上人多时,就会将摊位搬回屋内,目前店铺已经恢复到疫情前的销量。
说起未来,苏先生信心满满。“总理这么关心我们,国家又出台了那么多扶持政策,作为小店主,我们更应珍惜当下,加倍努力。”苏先生说,下一步,他打算发展连锁店铺,撸起袖子加油干。
济南20万余名“小萌娃”归队
老师准备神秘惊喜,学长学姐来迎接
本报济南6月2日讯(记者 潘世金 实习生 吴梦茹) 6月2日,济南市20万余名“小萌娃”复学复课。错时错峰入校、测体温、间隔一米有序进入校园……萌娃们虽然年纪小,但是入校秩序井然。为了迎接孩子们回归,各学校也准备了惊喜礼物。
2日一早,济南制锦市街小学迎来一二年级516名学生复学复课。一进校门,就看到头戴“加油宝贝”发饰的老师们在粉色气球的拱门下等着孩子们。一年级的小同学进入教室后,发现教室的黑板上、自己的课桌上都放置了礼物!健康大礼包、气球、糖果、心愿贴……久不见面,同学们隔着走廊互相交流着老师给自己准备的礼物。
济南汇文实验学校小学部为一二年级的小学生准备了砸金蛋活动,还有蛋挞等待他们品尝。孩子们坐在教室里唱着歌,收着小礼物,直呼开学太开心了。
在济南市东方双语实验学校清华园校区,一年级小同学刚上学四个多月就放了五个多月的假,一下回到学校,有的孩子找不到老师、找不到教室,感觉有点蒙。一年级八班班主任石晓萌和同学们穿上了一样的班服,同学们一下就看到了自己的老师和同学,感觉特别亲切。
为迎接“小豆包”们顺利复学复课,山师附小开展了“大手牵小手”活动。在校门口,高年级的哥哥姐姐们手持写着暖心寄语的欢迎牌,迎接一二年级的小同学入校。在学长、学姐的引导下,小同学们顺利来到了自己的班级,见到了亲爱的老师和同学。大队辅导员刘佳莹表示,之所以让高年级学生迎接,是希望以大朋友带小朋友回“家”的形式,让低年级学生感受到回“家”的温馨。
明天启幕!齐鲁国际车展为你而来
布展工作今日完成,车辆下午开始进入展厅
齐鲁国际车展倒计时,明天即将开幕!被誉为“华东第一车展”的齐鲁国际车展将于6月4日-8日在山东国际会展中心举办,近千款车型、衣食住行嘉年华、百万礼券等你来!
齐鲁晚报·齐鲁壹点
记者 朱洪蕾 孙远明
仅筹备工作
就花了近两个月
齐鲁国际车展进入倒计时,展厅如今布置进度如何、各大展台会有哪些精彩呈现?6月2日,齐鲁晚报·齐鲁壹点记者提前探展。
进入山东国际会展中心,在签到处领了一张展位图后,记者进入B1展厅,映入眼前的是一片忙碌景象,两侧品牌展位处工作人员正在紧张布置,道路中间摆放着各种包装箱。
上汽大众展位布展的项目负责人介绍,他们5月31日就进场开始布置了,“今天晚上就能布置得差不多,加加班,明天再处理一下细节和卫生,下午就能进车了。”
临近中午,奔驰展位的工作人员还在忙碌。“展位估计今晚九点就能成型,明天上午还有一些细节工作要做,再放些家具布置一下VIP房间。”项目负责人任磊介绍,展具都是新的,光筹备工作就花了近两个月时间。
记者在现场看到,工作人员都戴着口罩,“防疫工作要做好,工作人员每天都要测体温,必须戴口罩。”任磊表示。
负责雪佛兰和别克展位布展的项目负责人宋汉平介绍,现在地面上的一些工作已经做完,还要布置一下LED屏幕等,最晚3日上午,布展方面的工作就都能完成,到了下午,各大车企就会把4日将要展出的车辆运进展馆。
六大礼包送给消费者
战疫医护购车有补贴
在齐鲁大地,“买车就到齐鲁车展”已经深入人心。齐鲁国际车展主办方负责人韩亮介绍,本届齐鲁国际车展,很多厂家寄予厚望,希望通过车展,把消费者的购买力、从业者的信心都整合起来,重新恢复行业的景气指数,齐鲁国际车展承担着救市的使命。
本届齐鲁国际车展近千款车型将集中亮相,家庭轿车、SUV、MPV、豪华进口车……几乎所有车型都有。本届齐鲁国际车展还吸引了比亚迪、广汽新能源、蔚来、理想汽车等新能源品牌参展,还有高端摩托展、精品房企展前来助阵。
据悉,齐鲁晚报联合济南市商务局以及各汽车品牌推出了“千款豪车任你选 百万礼券大放送”活动,将持续到6月8日。“齐鲁国际车展”小程序已经于5月27日上午10时上线,在小程序内有3次免费抽奖机会,消费者有机会获得六大礼包。
为吸引更多消费者前来参加齐鲁国际车展,韩亮介绍,本届齐鲁国际车展将会对所有前来看展的市民免费,这也是齐鲁国际车展举办二十多年来的首次观众免费观展。线上报名观众还可以直接在现场签到后,免费领取车展定制的高端玻璃水2瓶或精品收纳箱1个。
为致敬医护等防疫工作人员,齐鲁国际车展联合各汽车品牌,为参与防疫的各行业工作人员带来购车补贴活动,在享受汽车品牌给医护工作人员政策补贴的同时,还可以享受齐鲁车展组委会提供的1000元现金补贴。
严格抓疫情防控
专职人员展开消杀工作
疫情虽然已经有所缓解,但是大家仍然很关心疫情期间的安全防控问题,以及对各类突发事件的处置情况。对此,韩亮介绍,在防疫这一块要求非常严格,车展原本预定4月份举办,后因为疫情影响,一直推到6月份,就是想要在展会期间做好疫情防控工作。
在会展入口,为避免开展期间道路拥堵引起人员聚集,工作人员设置了人车分离、车辆快速入场的检验机制。展馆西门入口设置第二道检查岗,通过隔离护栏、1米距离地贴标识、通道两侧摆放宣传标识、不间断广播提醒等方式全面营造“健康会展”氛围,提醒观众保持安全距离、戴好口罩,安全有序入场观展。
通道口设置安全检查人员、张贴二维码及相关指引,引导观众亮绿码或现场扫码登记,通过人脸识别、测温、身份检验三合一核验系统入场,入场前还要经过安检程序。场馆利用门禁验证系统和人员巡查随时监控场馆内人流情况,严格执行核定承载量30%的人流限制。
齐鲁国际车展举办期间,还将组织消毒消杀专职人员对展馆内外公共区域展开消杀工作,视人流情况对入口处、电梯、卫生间、门把手等增加喷洒擦拭频次,进行不定期消杀,确保场馆环境清洁卫生。
济南推出“夜泉城”2.0版,提升夜经济IP、培育主题街区
店外设摊、地摊夜市都安排上了
人间烟火气,最抚凡人心。盘活地摊经济,拓展就业容量,是全面落实“六保”任务的务实行动。小小的地摊背后,是一个个具体的就业者,是一个个满怀期待的家庭。同时,如何搞活地摊、做好服务,让地摊经济在城市扎下根,释放更多活力,也考验着相关管理部门的智慧。即日起,齐鲁晚报·齐鲁壹点推出“烟火人间”系列报道,聚焦地摊经济、夜市经济,带你在小小的地摊中读懂经济和民生。
本报济南6月2日讯(记者 夏侯凤超) 记者从6月2日济南市委市政府举行的新闻发布会上获悉,为推动夜间经济提质升级,满足市民、游客夜间休闲消费需求,济南市政府印发了《关于推动济南夜间经济提质升级 打造“夜泉城”2.0版的若干措施》。措施提到,济南将合理释放“地摊经济”,并通过提升夜间经济IP品牌、培育夜间经济主题街区、举办夜间经济特色活动、打造夜间经济文化品牌等,大力发展夜间经济,促进消费转型升级,增加就业岗位。
“夜间经济的繁荣程度是一个城市经济开放度和活跃度的重要标志。”济南市商务局局长刘艳秋6月2日在济南市委市政府召开的新闻发布会上表示,夜间经济已成为城市经济发展的新增长点。“据统计,60%以上的消费发生在夜间。促进夜间消费,可快速释放消费潜力,推进消费升级。”
刘艳秋称,随着中国国内疫情防控形势持续向好,餐饮门店、文化场馆、旅游景区恢复营业,商业街区人气渐旺,不少商家逐步延长了经营时间,恢复了丰富的夜间消费产品,夜经济复苏正当其时。为推动夜间经济提质升级,满足市民、游客夜间休闲消费需求,济南发布实施《关于推动济南夜间经济提质升级 打造“夜泉城”2.0版的若干措施》。
《措施》中提到,济南将合理释放“地摊经济”,打造兼顾城市管理和市民需求的夜市经济“示范区”;规范开展“店外设摊”试点,适度放开有条件地摊夜市经营,允许限时占道经营;规划引导地摊夜市经营,鼓励有条件的区县结合当地文化特色合理规划传统地摊夜市。
济南还提出发展“小店经济”,优化“小店”准入流程,缩短审批时限,引导各类业态延长营业时间;支持餐饮类门店增加夜宵品类和休憩场所,增加消费者逗留时间;适度允许商家制作个性化店招、店牌、美陈和街头艺人演唱,增加城市居民就业机会。
“同时,济南还将深挖历史文化底蕴和泉水文化特色,打造夜间经济文化品牌,丰富夜经济文化内涵。”刘艳秋表示,将提升夜间经济IP品牌,打造特色鲜明的夜间经济主题街区,组织各类夜经济样板区、示范街区和重点商贸企业开展线上线下展销、夜间消费打折,推动线上情景消费、线下主题体验相结合,加强商旅文体联动力度,开展夜经济直播探店、推介、带货等活动,繁荣“指尖上的夜经济”等。
为提升城市精细化服务水平,济南将通过常规公交线路延时、开设主题环游专线和商家定制专线,满足市民夜间出行需求;引导各聚集区、商业综合体完善配套设施;发布济南夜间经济IP品牌地图,为市民游客提供消费指引等。
刘艳秋表示,下一步,济南将强化市区联动,进一步完善“夜间区长”和夜间“首席执行官”制度,强化工作推进、氛围营造,让山东省会的夜晚“亮”起来、人气“聚”起来、商气“火”起来,让市民的夜生活更加缤纷多彩。
据了解,去年以来,济南市先后出台了《关于推进夜间经济发展的实施意见》《夜间经济聚集区建设与管理规范》等多项推动夜经济发展的政策措施,初步改变了济南夜经济不活跃、夜间亮化不够、夜经济业态不丰富的传统形象。济南市获评2019年“中国夜间经济十佳城市”和“中国十大夜经济影响力城市”。
“地摊”+“夜经济”聚人气拉动消费彰显城市特色
齐鲁晚报·齐鲁壹点记者 王杰
6月2日,济南公布了《关于推动济南夜间经济提质升级 打造“夜泉城”2.0版的若干措施》。根据规划,济南将提升宽厚里、融汇老商埠等七大夜间经济IP品牌;培育泉城路商业街、芙蓉街等九大特色商业街区。
而这些夜经济IP、特色商业街区中,泉城路地段便占据3席,由此可见,泉城路在济南夜经济发展中的地位。作为济南市核心商圈,泉城路是济南集购物、旅游、娱乐于一体的标志特色路。
6月1日晚,省委常委、济南市委书记孙立成到泉城路调研商业街打造工作。孙立成指出,要科学合理设置非机动车停车区域,拆除有损形象的临时建筑,为泉城路环境整治提升腾出更多空间。
腾出的空间资源该怎么做?孙立成指出,用在丰富业态上,通过设置咖啡座等体现时尚元素和文化特色的摊位来做好“加法”,吸引更多人气、人流聚集,让整条街热闹起来。
《措施》也对“摊位经济”做了明确。济南将规范开展“店外设摊”试点,抓住文明城市考核内容调整的有利时机,适度放开有条件地摊夜市经营,允许限时占道经营。
摊位经济能够有效拉动城市夜经济消费。来自商务部的一份城市居民消费习惯调查报告显示,我国60%的消费发生在夜间,大型商场每天18时至22时的销售额占比超过全天的一半,并逐步上升。
“摊位经济无疑是地摊经济的延伸,吸引人气,拉动城市夜经济消费,还彰显城市特色。”济南社会科学院研究员刘新军认为,通过设置咖啡座等形式发展摊位经济,将大大提升泉城路的夜经济活力。
“这将快速释放市民的消费潜力,推进消费升级,为建设国际消费中心城市提供新动能。”济南市委党校经济学教授吴学军认为,泉城路商业街改造“减”出空间、“加”上摊位、灯光亮化等一系列“让人气聚拢起来、街区热闹起来、消费兴旺起来”的措施,对于济南夜经济发展也将带来示范效果。
“允许限时摊位经济,培育多种夜经济形态,既激发了市民消费需求,扩大了内需,又稳住了市场参与主体,带动了城市经济发展。”吴学军认为,近年来,夜间经济已成为国内各大城市经济发展的新增长点。
4月22日,为稳定和扩大居民消费,促进消费潜力回补和释放,济南市出台《关于促进消费扩容提质进一步激发消费潜力的实施意见》。该《意见》共22条举措,其中含有发放2000万元专项电子惠民消费券、改造提升10条商旅文特色街区等硬核措施。
“一系列促消费的引导性政策,正在逐渐显现效果,激发了市民的消费欲望。”同时,吴学军还认为,随着国内疫情防控形势持续向好,城市生活节奏的日益常态化,市民的消费需求正在逐步释放。
打造“夜泉城”文化IP品牌
序号 聚集区 文化IP定位
1 宽厚里 泉城新夜都
2 融汇老商埠 百年商埠风情文化
3 悦立方 24小时潮不落时尚街区
4 印象济南·泉世界 城市夜游打卡地
5 峪悦里 悦活25小时夜色金谷
6 D17文化创意产业园 趵突泉啤酒文化
7 三庆青年城 文化不夜城
8 泉城路 高品质商业街
9 芙蓉街 济南特色老街
10 马鞍山商业街区 红色文化旅游
11 山师东路 特色商业街
12 万达金街 餐饮步行街
13 绿地中心转角遇到爱 恋爱网红打卡地
14 环联夜市 济南夜市
15 海那城特色商业步行街区 海那·海尚坊消夏啤酒节
16 鲁丰创意1908商业街 文化旅游中心
打造一批夜间经济文化品牌
●“泉城夜宴”秀
构建趵突泉、五龙潭、解放阁、大明湖“夜旅游”发展带。
●首届美食露营节
举办夜探动物城—跑马岭森林音乐帐篷节。
●泉水生活馆-老字号美食文化园
突出泉水和鲁菜特色,举办系列文旅活动。
●曲山艺海文化节
以德云社落户济南为契机,举办戏曲、曲艺、杂技、歌剧、音乐等文化夜场活动。
举办一批夜间经济特色活动
●启动“乐享2020之夏·动感夜泉城2.0版”序幕
5月31日,市中区在绿地中心夜中心率先拉开活动序幕。
●举办第三届“济南制造·天下共享”线上线下展销活动
6月下旬,在泉城广场举办济南制造地产品夜间展览和直播电商带货活动。
●举办夜间文化娱乐促消费活动
在宽厚里举办“热力全开、嗨唱宽厚里”等活动;在悦立方举办“澎湃历城618购物节”。
●开展夜间消费打折活动
组织万象城、印象城、银座商城等延时营业,推出晚间折扣、满减等活动。
商贩有生计市民得便利,青岛这个地摊市场挺暖
“一小时市场”解急海蛎子不再愁卖
从3月份开始,青岛西海岸新区在街头巷尾创新设置的“一小时市场”,在不影响道路交通和周边居民生活的前提下,不仅让特殊需求群众有了生计,也让周边市民得了便利。“一小时市场”的背后不仅是市场供需双方的精准对接,也是疫情防控常态化之下,城市生活味、人情味和烟火气的悄然回归。
文/片 齐鲁晚报·齐鲁壹点
记者 潘旭业
每天16:30至17:30
这里有新鲜蔬菜海鲜
5月30日16时30分,齐鲁晚报·齐鲁壹点记者来到青岛西海岸新区薛家岛街道南岛小区附近广场,此时这里设置的“一小时市场”开始热闹起来。
商贩们自觉沿着广场两旁一字摆开,有卖扁豆、土豆、茄子、黄瓜等新鲜蔬菜的,有卖樱桃等水果的。17时,在薛家岛街道青云山路的“一小时市场”,摊贩们摆出来的则以海蛎子、海虹等养殖类海鲜为主。正值准备晚饭的时间,周边小区前来购物的居民非常多。
薛先生住在薛家岛示范小区,是土生土长的“海边人”,主要从事海蛎子养殖。突如其来的疫情让海蛎子没了销路,这可愁坏了他。
从3月份开始,他发现很多小区附近多了很多“市场”,都是临近晚饭的时候出来摆摊。找不到销路的薛先生便尝试着到这些“临时市场”售卖,由于货物价格低而且新鲜,销量很好。过了一段时间,不少商贩也找到他批发,到小区附近的“临时市场”上卖,竟然把薛先生的难题给解决了。
原来,这些“临时市场”就是青岛西海岸新区推出的“一小时市场”,最多的时候达到了近200处。
据青岛西海岸新区综合执法局城管大队大队长巩振刚介绍,所谓“一小时市场”,就是在小区周边选个合适的位置,让有特殊需求的群众在16:30至17:30能摆摊售卖新鲜的蔬菜、海鲜等产品,也就地就近方便市民采买,但是地点要确保交通安全,商贩收摊后要确保卫生恢复如初。
“一小时市场”的设置,不仅为有特殊需求的群众销售产品解了燃眉之急,也给“窝”在家里的市民带来了方便。
“之前因为疫情,春节后很长时间一直宅在家里,买东西要么网购,要么就匆匆忙忙去大超市,不仅不方便,有些东西还贵,很多蔬菜在冰箱里放久了也不新鲜了。自从楼下有了小市场,要做饭了下楼就能买到,不仅便宜还都是新鲜蔬菜,非常方便。”家住薛家岛示范小区的郑红说。
“互联网+管理”
优先选择特殊群体入市
巩振刚介绍,设置“一小时市场”是针对疫情防控期间,市民生产生活受到影响的特殊情况下设置的临时应急市场。为强化对“一小时市场”的管理,每个市场都设置了公示牌,为确实有特殊需求的群体颁发入市资格证件。
如何确定哪些是确实有特殊需求的商贩?“疫情期间,我们利用新开发的流动业态业主身份信息采集小程序,对全区巡查发现的游商浮贩进行了登记,通过对后台数据的分析研判,我们会优先选择有特殊需求的商贩入市,如疫情防控期间,急需赚取基本生活费用、农副产品滞销的这类生活抗风险能力较差的群体。”巩振刚说。
在设置了“一小时市场”后,青岛西海岸新区综合执法局会同市场监督管理部门,对这个临时应急市场的食品安全加强管理,并结合“互联网+”线上产品“吆呼”,将“一小时市场”纳入全区的公共服务小平台,为有需要的群体提供发展地摊经济的稳定场所。
5月31日16时30分,齐鲁晚报·齐鲁壹点记者来到青岛西海岸新区珠海街道书香泮城小区附近看到,这里设置的“一小时市场”聚集的多是本地菜农,有的摆地摊,有的直接“提篮叫卖”。由于这里大多是“庄户人”售卖自产的新鲜蔬菜,每个商贩的货也都不多,随着来买菜的顾客越来越多,大多数能轻松卖完。
在现场,正在巡查的执法队员会提醒:“大家出来摆摊一定要携带证件、戴口罩”“不能占用盲道、消防通道”“垃圾要即产即清”……据巩振刚介绍,青岛西海岸新区综合执法局正在对“一小时市场”进行规范化管理,目前已对31处市场进行了统一规划,根据不同市场的实际情况对营业时间、市场规格等进行规范化管理。
化解社区供需窘境
也让城市烟火气回归
青岛理工大学社会学系教授于晶利认为,“一小时市场”的设立充满温度,背后不仅是“买卖双方”供需的精准对接,也是回归的生活味儿、人情味儿和烟火气儿。同时,将商贩引入市场统一管理,有效避免了商贩为生计到处摆摊而引发的城市管理问题。
“市民连接着社会治理的细微接口,‘一小时市场’连接着一个很大的城市群体,一个摊点对应的就是一个家庭单位,他们生活状态的好坏,直接关系着这个城市中生活的幸福感。面对‘经济寒冬’,柔性执法,主动服务,让城市回归的步伐变得更快。”于晶利表示,“一小时市场”虽然只有一小时,却无形中化解了商贩到处摆摊卖菜难和市民担心疫情买菜难的供需窘境,更重要的是,这样的社区微市场能够快速助推生产生活常态。
“为百姓排忧解难是综合执法的根本价值追求,面对疫情,我们除了严格防控规定外,更该用心呵护好每一个个体,用心呵护好归来的生活味儿。”青岛西海岸新区综合执法局党组书记、局长肖政说。
山东发布今年首个高温黄色预警
未来一周热浪来袭,7市最高温将突破37℃
6月2日,山东省气象台发布2020年首个高温黄色预警信号,山东即将经历今年首个高温日。根据预报,未来一周,山东大部分地区气温持续较高,中西部地区最高气温在35℃以上,济南、聊城、菏泽等7市部分地区最高温突破37℃,提醒市民及时补水,做好防暑防晒工作。
齐鲁晚报·齐鲁壹点
记者 于民星
集中在鲁西北鲁中鲁南
半岛地区仍在30℃以下
每年到六月份前后,山东的气温都会呈现明显升温的态势,今年也不例外。6月2日16时,山东省气象台发布今年首个高温黄色预警信号。
根据预报,未来一周,山东大部分地区气温持续较高,鲁西北西部、鲁中和鲁南地区的日最高气温可达35℃以上,菏泽、济宁、枣庄、聊城、济南、淄博和潍坊7市的部分地区可达37℃以上。
从高温预警信号来看,山东的高温地区主要集中在鲁西北、鲁中和鲁南地区。半岛地区最高气温仍处于较低水平,最高气温仍在30℃以下。如此不均衡的气温情况,为何省气象台会发布省级高温黄色预警信号呢?
省气象台预报员介绍,当全省122个监测站中,超过30%的监测站连续三天,日最高气温达到35℃以上,省气象台就会发布省级黄色高温预警信号。“高温橙色预警信号则是24小时之内,全省超过30%的监测站气温达到37℃以上。高温红色预警信号,则是超过30%的监测站达到40℃以上。”预报员表示,一般情况,省级气象台很少能够达到高温红色预警信号级别。
“3-5日,山东的中西部地区最高气温都会相对较高,部分地区最高气温达到37℃。”预报员表示,如果山东持续保持晴好天气,高温天气将会持续到6月7日。“照目前预测来看,未来几天之内,山东没有大范围明显降水,气温暂无下降趋势。”
首个高温预警不算早
去年发布于五月下旬
其实,对比往年,6月2日发布夏日首个高温黄色预警信号,并不算早。
“整体来看,山东在6月初连续出现35℃以上的高温天气是正常现象。”山东省气候中心高级工程师孟祥新介绍,6月22日前后,太阳直射北回归线,夏至前后,北半球太阳辐射最充足,“每年的六、七月份都是山东夏季高温日最集中的月份。”
从往年数据来看,山东大部分年份的高温日期均出现在6月前后。2018年,省气象台于6月4日发布了首个高温黄色预警信号。省气象台数据显示,2019年5月22日16时,省气象台发布了首个高温橙色预警信号。
“从整体气候变化角度来说,自2017年开始,山东夏季气温呈现逐年上升的趋势,高温日数也在逐年增加。”孟祥新表示,6-7月,全省平均高温日数常年在3天左右,2018年高温日数是5天,2019年更是多达7天。
省气象台数据显示,2019年6月12日6时到24日16时,省气象台曾连续13天发布高温预警信号。“最初发布的是高温黄色预警信号,后来经历了升级、降级,最后在24日16时解除。”预报员表示,这是山东高温预警发布中相对较长的一次预警过程。
“最美”济泰高速济南段左线贯通
年底开车去泰安仅需半小时
齐鲁晚报·齐鲁壹点记者 刘飞跃
本报济南6月2日讯 6月2日,齐鲁晚报·齐鲁壹点记者在济泰高速锦绣川大桥施工现场了解到,济南段中的锦绣川特大桥左幅箱梁即将架设完成,济南段实现左线全线贯通。截至目前,济泰高速济南段投资完成92%,计划2020年年内建成通车。届时,济南到泰安开车仅需半个小时。
锦绣川特大桥是济泰高速最长桥梁,也是济南段箱梁架设施工的最后一座桥梁,位于济南市南部山区,处于小佛寺隧道和海螺峪隧道中间地段。设计采用左右线分离式桥身,左幅全长1788米、右幅全长1548米,桥宽16.5米。锦绣川特大桥左线贯通后,将为济南段2020年年内建成通车提供坚实保障。
济泰高速是山东省高速公路规划网的“纵六”并行线、济南市“三环十二射”高快一体路网规划中的第十条射线,起点位于济南市绕城高速公路与二环东路南延交叉处,终点位于泰安市徂徕镇东北部,与泰新高速公路相衔接。
其中济南段全长24.6公里,全线采用双向六车道标准,设计行车速度120公里/时。主线设隧道5座,主线桥梁20座,桥隧比高达约68%。
济泰高速建成后,济南到泰安开车仅需半个小时,进一步拉近济南和泰安的距离,为济南、泰安区域经济发展提供新动力;济泰高速将实现与济南市二环东快速路、绕城高速互连互通,对济南市构建“三环十二射”高快一体公路路网具有重要意义;济泰高速沿线自然环境优美,旅游、文化资源丰富,被称为山东“最美高速”,项目在沿线各区镇均设置出口,为沿途的红叶谷、金象山、水帘峡、柳埠国家森林公园、泰山、徂徕山等多个风景区提供便捷的交通条件。
目前,海螺峪隧道右洞正在加紧开挖,预计6月下旬贯通,届时济泰高速济南段将左、右全线贯通。
两位骑车人雨中相撞,他抓起雨伞冲了出去
顶着冰雹路边救人社区医生感动网友
顶着瓢泼大雨和冰雹,仅靠一把黑伞遮挡,在路边对两位车祸伤者进行急救……6月1日,一名热心社区医生“意外”地成了泰安的“网红”。
雨中救人的医生叫韩增峰,在泰安市泰前街道嘉德社区卫生服务站工作。他以为自己只是悄悄做了一件好事,没想到相关视频在众多陌生人的朋友圈传播开来。
齐鲁晚报·齐鲁壹点
记者 侯海燕
路边救人成“网红”
社区医生有点意外
突然变成了“网红”,让韩增峰有些意外。“这场雨太急太大了,说来就来。”韩增峰回忆,1日下午5点47分,他正在卫生站工作,突然接到社区业主的求助电话。在33秒的通话中,韩增峰得知,在小区西门口,两位骑电动车的女士因为这场急雨撞车了。
背上出诊箱,拿了把雨伞,韩增峰骑着电动车就往西门冲去。到了现场他发现,两位女士中年纪大点的面部擦伤,血水夹杂着雨水向下流;另一位年轻点的女士把脚扭伤了。
此时,雨越下越大,冰雹也开始往下砸。韩增峰想起电动车里还有件一次性雨衣,他赶紧拿出来给年长的女士披上,并给她量了血压。风大雨急,路面的积水已经没过了女士大腿的位置,韩增峰立刻把她移到地势稍微高一点的地方。
“就在我给这位女士治疗时,附近向阳小区一名女孩始终陪在一旁,等待救护车到来。”韩增峰说,自己则抓紧跑到附近的超市买雨衣。
“店老板一看我在救人,连钱也没要,让我拿着雨衣赶紧走。”韩增峰说,他一边帮伤者处理伤口,一边在大雨中与120和122的人员沟通位置。
“只有他往雨里冲”
爱心善举被路人拍下
6月2日,齐鲁晚报·齐鲁壹点记者联系到视频的拍摄者李强。当天下午,他正与朋友在附近一家饭店吃饭,巧遇了上述救人一幕。“当时雨特别大,大家都急忙往家赶或者是跑到路边商铺避雨,只有他往雨里冲。”李强说,自己赶紧掏出手机拍下这暖心一幕,当晚回家后发到了抖音平台,没想到有这么多人关注。
随后记者又联系到受伤的刘女士,刘女士说,当时急雨加冰雹,韩医生淋着雨在那帮她们处理伤口,真是太感动了。
从接到求助电话到把伤者送上救护车,韩增峰在雨中忙了近一个小时,回家后才知道自己“出名”了。他觉得这次出名纯属“意外”,而这个“意外”,却温暖了许多泰安市民的心。
韩增峰的一名同事告诉记者,平日里韩增峰也经常热心助人。据了解,2018年暑假,韩增峰带着儿子爬华山,刚到一处景点准备拍照时,旁边一位40多岁的男士突发心跳骤停,韩增峰立即给他做了人工呼吸和心脏按压,直到对方恢复心跳被送上救护车。
除此之外,在泰安齐鲁银座附近救助倒地的老人、在泰山服装学院门口给突发车祸的路人进行急救……这些都是韩增峰生活中的常态。
隐瞒行程致整个村庄被封 莘县男子获刑一年
齐鲁晚报·齐鲁壹点记者 李怀磊通讯员 王希玉 王子强
防控新冠肺炎疫情期间,聊城莘县男子李某隐瞒自己的行程,致使50名接触者被隔离、居住村庄被封。日前,莘县人民法院公开宣判一起妨害传染病防治案,被告人犯妨害传染病防治罪,被判处有期徒刑一年。
法院审理查明,2020年1月20日,国家卫生健康委员会将新型冠状病毒肺炎纳入《中华人民共和国传染病防治法》规定的乙类传染病,并采取甲类传染病的预防、控制措施。1月21日,被告人李某及其妻子刘某驾车从湖北黄石回到莘县居住地某村。1月24日,村委干部排查从湖北返乡人员时,李某为避免夫妻二人被隔离,隐瞒真实返乡日期,谎称系1月6日回到莘县,从而使李某、刘某未被列入重点观察范围。1月25日,夫妻二人外出拜年。1月26日,刘某发烧,李某带刘某到村卫生室就诊,并在村医询问时再次隐瞒二人自湖北返乡日期。1月29日,刘某持续发烧,村委向镇政府报告。后经检测,刘某被确诊感染新型冠状病毒。李某未遵守新冠肺炎防控规定,隐瞒行程日期,致使50名接触者被集中隔离进行医学观察、居住村庄被封闭。
法院审理认为,被告人李某违反传染病防治法的规定,拒绝执行卫生防疫机构依照传染病防治法提出的预防、控制措施,隐瞒自湖北归家日期,不如实报告,致使新冠肺炎有传播的严重危险,其行为已经构成妨害传染病防治罪。据此,法院遂依法作出上述判决。宣判后,被告人李某表示服判不上诉。
第十一届“新华保险杯”少儿书画大赛山东赛区火热开启
在孩子们回归学校的日子里,新华保险山东分公司联合山东省青年美术家协会、山东省青年书法家协会共同启动了第十一届“新华保险杯”全国少儿书画大赛山东赛区赛事。2020年,举国上下共同抗击新冠疫情,中国人民团结一心,众志成城。本次书画大赛以“童绘中国力量”为主题,在未来三个月,将组织全省16家中支机构共同为热爱祖国、敢于追梦的小朋友们打造展示自我风采的大舞台。
据悉,“新华保险杯”全国少儿书画大赛由新华保险联合《中国少年报》及国内权威书画专家共同打造,自2010年创办以来已持续举办十届,累计收集作品300余万幅,作品数量、质量屡创历史新高,成长为参赛人数众多、社会反响强烈的国内知名少儿书画赛事,并荣获“中国保险年度服务创新大奖”和“中国互动营销学院创意金奖”。其中,山东赛区累计收集书画作品55万幅,多次获得全国总评的特等奖、一等奖,通过持续积淀与创新,大赛体系日益丰富完善,影响力与日俱增,成为齐鲁大地众多孩子们暑期活动的首选。
第十一届“新华保险杯”少儿书画大赛以“童绘中国力量”为主题,邀请参赛选手用手中的画笔记录自己所见、所闻、所感到的中国力量,致敬伟大祖国。山东分公司将组织各地市开展现场书画活动,如“环卫工人子女书画专场”、“医护人员子女专场”活动等;山东省级获奖选手将获得证书、画册、精美礼品,更有机会赴北京参加全国颁奖典礼;与省级、全国级书画名家面对面交流;获奖名单将刊载在《齐鲁晚报》、《中国少年报》、《中国书画报》等权威报刊;优秀获奖作品将收入新华保险VR书画殿堂,永久保存流传。广大家长和小朋友可联系当地新华保险分支机构,通过微信小程序上传或现场提交书画作品参与大赛。
少年强则中国强,未来,新华保险将持续关爱少年儿童的成长,致力于客户体验的提升,通过举办更多丰富精彩、新颖时尚的客户增值服务活动,关爱客户,回馈社会。 (赵彬彬)
活动细则
第十一届“新华保险杯”少儿书画大赛奖项设置
山东省级优秀作品奖 奖品名称 山东省级最具人气奖 奖品名称
特等奖(2名) 小米卡丁车套装 一等奖(100名) 库思特·K3循环台立扇
一等奖(20名) 网易有道词典笔2.0 二等奖(200名) 小度智能音箱play
二等奖(100名) 库思特 · K3循环台立扇 三等奖(800名) 冠雅智能小夜灯
三等奖(200名) 小度在家智能屏Air智能音箱 颁发奖品 颁发奖品
优秀奖(800名)
均颁发证书、奖品、纪念画册
●活动主题:“童绘中国力量”
●活动对象:山东地区3—15周岁的少年儿童
●活动分组:学前组(3-6岁)、初小组(7-9岁)、高小组(10-12岁)、初中组(13-15岁)
●作品要求:书法类、绘画类
●活动时间:即日起至2020年7月20日截稿,2020年9月公布评选结果。
●奖项设置:山东赛区根据专家评选结果、线上作品点赞数量分别评选1122名“优秀作品奖”(环卫子女作品将优先参与省级优秀作品评选)及1100名“最具人气奖”,更可参加全国总评奖与城市天使奖的评比。(详见左侧表格)
●参赛方式:参赛选手可将作品报送至当地新华保险客服中心。(扫描下方二维码查看各地市机构地址详情)
全国总评奖 奖品名称 全国城市天使奖 奖品名称
特等奖(2名) ipad绘画套装(ipad air+ipencle) 一等奖(1名) BOSTOTABLET手写绘画屏
一等奖(10名) 德国辉柏嘉水溶彩120色套装 二等奖(3名) 华为儿童手表
二等奖(80名) PAPERANG学生口袋喵喵打印机 三等奖(5名) Touch mark40色软头马克笔
三等奖(160名) 双丰户外写生便携画架 优秀奖(96名) 马利国画颜料套装
均颁发证书、奖品、纪念画册 均颁发证书、奖品、纪念画册 均颁发证书、奖品、纪念画册 均颁发证书、奖品、纪念画册
太平人寿山东分公司公益直播为山东企业带货
为积极响应国家复工、复产、复学号召,充分履行金融央企成员单位的责任和使命,从5月16日开始,太平人寿35家分公司轮番上阵,借助太平乐享直播间和太平惠汇商城,每天带来一场公益直播。
5月21日晚8点,太平人寿山东分公司“齐心‘鲁’力,太平有爱”公益直播火热开启。直播间里,太平人寿威海中支总经理蒋爱民化身风姿卓越、沉着干练的“蒋掌柜”,来自太平人寿威海中支、东营中支的三名内勤员工分别扮演热情好客、快人快语的“胖小二”;老实可爱、好奇心切的“笨丫鬟”;一本正经、怀才不遇的“账房先生”,四人组成“带货天团”全力以“复”为山东企业直播带货。
本次直播带货的产品包括:宏济堂阿胶山楂、日照绿茶、平阴玫瑰花冠茶、乾唐轩活瓷杯、海洋红力量·威海印象海鲜酱、海洋红力量·即食海参、牧渔者路亚竿。直播期间,“胖小二”为观众详细介绍了每一款产品的功效,“蒋掌柜”现场为大家试吃、试用,并分享感受,“账房先生”为大家报出本次直播专属超优惠价格。
太平人寿山东分公司还邀请了产品企业相关负责人来到直播间,以抽奖的形式,为观众送上惊喜大礼。本次直播正值“521”,为表达太平人寿“在线宠粉”的诚意,“蒋掌柜”在直播中“豪横”派送多轮红包,直播间气氛爆棚,最高观看人次突破23万。
疫情冲击下,山东企业受到了不同程度影响,本次公益直播为商家提供了一个直播销售渠道,有效提升了产品销量和知名度。作为中管金融央企的分支机构,太平人寿山东分公司将与山东企业携手共进、共克时艰,用金融力量全力以赴助力企业高效复工,为齐鲁经济发展做出应有贡献。
光大银行农民工金融综合服务新升级
光大银行积极响应国家号召,千方百计服务实体经济,回馈民生,践行社会担当,在民生工程名品“农民工工资保函”的基础上,整合内部资源,为企业和农民工打造了从保函开立、代发工资开户、个人开卡到工资代发的一系列升级版农民工金融综合服务。
据了解,该行通过设立专人专管、绿色通道等措施可实现最快24小时内落地保函;为提高服务效率和解决疫情期间现场办理的不便,企业还可通过签约该行“阳光E结算”服务实现线上申请开立。此外,5月1日起,该行推出了致敬“城市匠人”的“众匠”专属借记卡,并实现了个人工资卡的线上“云开卡”以及企业工资的线上代发。
以服务社会民生为本,光大银行在全国范围内积极推进农民工综合金融服务,助力企业复产复工,保障农民工权益。烟台分行一手为建筑施工企业开立农民工工资保函、办理代发工资专户,一手为企业农民工开卡办卡,现场培训银行卡、手机银行等产品的安全使用。在保函业务办理方面,该行通过建立绿色服务通道,可在24小时内实现农民工工资保函业务的落地。在代发工资方面,该行还成为当地首批“山东省农民工工资支付监管平台”的合作银行,积极通过该平台实现对企业在银行开立的代发工资专户保证金、工资发放情况进行实时监管,确保农民工工资的按时、足额发放。
扩范围提额度,缩短审批降成本
山东加大创业担保贷款贴息力度,全力支持创业就业
今年以来,新冠肺炎疫情给小微企业的生产经营带来严重冲击,进一步加剧了融资难和融资贵。山东省政府新闻办于6月2日上午召开新闻发布会,邀请省财政厅、省人力资源社会保障厅、中国人民银行济南分行负责同志介绍了加大创业担保贷款贴息,全力支持重点群体创业就业的情况。
齐鲁晚报·齐鲁壹点
记者 张頔
扩大支持范围
提高贷款额度
为应对疫情影响,在原有政策的城镇登记失业人员、就业困难人员、复员转业退役军人等14类人员基础上,从文件印发之日至2020年底,将符合贷款条件的个体工商户,贷款购车专用于出租运营的个人,贷款购车加入网约车平台的专职司机,创办出租车、网约车企业或其子公司的个人,平台就业人员以及入驻我省创业孵化基地、创业园区的符合贷款条件的个人纳入支持范围。对已享受创业担保贷款贴息政策且已按时还清贷款的个人,在疫情期间出现经营困难的,可再次申请创业担保贷款。
考虑到个人创业成本明显上升,将个人贷款额度由最高15万元提高至20万元。对创办企业、民办非企业(含教育培训机构)或创办农民专业合作社的,及各类合伙创业或组织起来共同创业的,且合伙人、组织成员均符合借款人条件,按照每个创业企业借款人最多(含)3名合伙人,贷款额度由最高45万元提高至60万元。
为解决个人和小微企业流动性资金问题,对暂时困难的创业担保贷款,可展期至2020年6月30日,展期期间财政给予正常贴息;对患新冠肺炎的借款人,可展期1年。
降低准入门槛
缩短审批时间
考虑到当前小微企业招工难,适当降低小微企业新招工人数占比要求。小微企业当年新招用符合创业担保贷款申请条件的人数与企业现有在职职工人数的占比,由20%下调为15%,超过100人的企业下调为8%,将有更多的小微企业享受政策红利。
为提高贷款效率,统一使用全省创业担保贷款经办系统,逐步推行“一站式”服务。借款人通过山东政务服务网和山东公共就业人才服务网上服务大厅,就可进行贷款登记。实行人社部门审核借款人资格、担保机构尽职调查、金融机构贷前调查“多审合一”,避免重复提交材料。人社部门资格审核压缩在7个工作日内完成,担保机构尽职调查压缩在3个工作日内完成,金融机构贷款受理至发放压缩在5个工作日内完成,确需办理反担保、抵押等手续的可适当延长。对不符合条件的,要在5个工作日内通知申请人并说明原因,一次性告知需补充完善的手续和资料。
免除反担保要求
压减融资成本
对新发放的10万元以下的个人创业担保贷款,以及全国创业孵化示范基地或信用社区(乡村)推荐的创业项目等5类情况,取消反担保要求。鼓励有条件的地方对其他创业担保贷款,逐步降低或免除反担保要求。担保原则上不再要求贷款人资产抵押,提供相应的保证反担保即可。
为进一步降低个人和小微企业融资成本,新发放的创业担保贷款利率,由不超过LPR+100BP下降为不超过LPR+50BP,具体贷款利率,由经办银行根据借款人和借款企业的经营状况、信用情况等,与借款人和借款企业协商确定。其中,低于一年期(含一年)的贷款利率由借贷双方参照一年期LPR确定;超过一年期的贷款,由借贷双方协商选择参照一年期或五年期LPR,并在贷款合同中明确约定。
雪佛兰携全系车型亮相齐鲁车展
6月4日-8日,雪佛兰将携全系车型亮相齐鲁车展!届时,雪佛兰将推出一系列优惠政策以及客户体验活动,让消费者既能深入地了解雪佛兰的造车理念、品牌文化,又能以更实惠的价格购买到心仪的车型。为期五天的齐鲁车展将在山东国际会展中心(西部)盛大开幕,雪佛兰携全系车型强势出击,为广大消费者带来力度空前的钜惠风暴!
此次齐鲁车展上,雪佛兰继续给大家带来更多礼惠和惊喜:上市不久的开拓者纵横登场,购车可享5重上市大礼包;科鲁泽和新一代创酷尊享全套餐一口价3999元开回家;现场参与雪佛兰车展大乐透,赢开拓者一年使用权!以上精彩将在C馆C2雪佛兰展位一一呈现,全系车型超强钜惠政策震撼登场!
高端大7座全境SUV 雪佛兰开拓者
智联驾趣SUV 雪佛兰新一代创酷
时尚运动座驾 雪佛兰科鲁泽
高端大7座全境SUV 雪佛兰开拓者
4月16日,雪佛兰用一场集综艺幽默和实力解读于一身的线上直播宣告了雪佛兰开拓者的正式上市,作为雪佛兰SUV家族的旗舰车型,雪佛兰开拓者拥有高辨识度的纯正美式SUV硬朗造型、强悍高效的动力表现、掌控全境的操控性能以及高端完备的智能科技。
以先导概念版SUV FNR-CarryAll为原型,雪佛兰开拓者采用家族式双格栅设计的X型雷霆前脸,搭配硕大的熏黑蜂窝状中网;硬朗紧绷的肌肉感线条横贯车身,配合经典的D柱“回旋镖”造型;极具辨识度的双Y型LED尾灯、全系标配的星辉LED头灯组采用分体式设计,完美结合“高性能”与“全功能”双元设计内涵,展现出纯正美式SUV充满力量感的造型。
相对于刚毅的外表,雪佛兰开拓者的内饰则呈现出全然不同的运动科技氛围。雪佛兰开拓者采用与雪佛兰传奇跑车科迈罗同源的内饰设计,承袭了科迈罗经典的双炮筒运动仪表盘及涡轮旋控一体式空调出风口设计。大面积软包覆的中控面板、顶级头层牛皮的皮质方向盘以及法式双缝线等细节考究的工艺,搭配宁静的皓月白氛围灯,赋予运动风内饰以高档质感。
考虑到新中产家庭二胎或三代同堂的家庭用车需求,雪佛兰开拓者拥有近5米车身和2863mm超长轴距,营造出宽阔舒适的大7座空间。此外,雪佛兰开拓者在车内还提供了多达37处的储物空间,让每一排乘客的随身物品都能各安其位。同时,雪佛兰还拥有一个大大的后备箱,容积最高可达1970L,轻松容纳山地自行车、婴儿车等大件物品。
动力方面,雪佛兰开拓者采用行业领先的Smart Propulsion智驱科技,集成高效动力和先进的节能减排技术,满足严苛的国六b排放标准,兼顾家用的同时更能唤醒驾驶者深埋心中的运动激情。此外,雪佛兰开拓者还提供两套智能四驱系统及多种驾驶模式,配合媲美豪华车系的后五连杆独立悬架以及耐世特EPS转向系统,助力驾驶者轻松征服各种路况。
雪佛兰开拓者智能科技随时在线,雪佛兰开拓者拥有多达70项全系标配,如:空气温度湿度感应、ANC主动降噪科技、无钥匙进入及一键启动、带加热功能的电子外后视镜等,带来“入门即高配”的高品质用车体验。坐进雪佛兰开拓者车内,采用合理屏幕倾角的10吋悬浮式中控屏幕、方向盘加热功能、驾驶座记忆功能、前排座椅可十向调节并带加热通风功能、二排座椅加热功能、负离子净化三区独立全自动空调系统以及BOSE剧院级8扬声器高级音响系统等这些触手可及的舒适性配置,令视觉、触觉、嗅觉、听觉体验全面升级。6月30日前购买雪佛兰开拓者即可享受内容丰富的“上市五重礼”,有七座车刚需的消费者不如趁此机会抓紧入手。
时尚运动座驾 雪佛兰科鲁泽
近日,时尚运动座驾雪佛兰科鲁泽新增两款车型,售价分别为11.19万元和11.79万元。新车搭载满足国六b排放标准的1.5L DVVT新型四缸发动机,并为广大车主提供8年或16万公里的发动机、变速箱等动力总成核心部件原厂质保服务。两款新车将搭载全新一代MyLink+智能车载互联系统和全新一代Onstar安吉星智能车联系统,并提供每年100G车载APP免费流量,以更丰富实用的车载智联科技,为车主提供高品质的智慧用车生活。
此次齐鲁车展上,购雪佛兰科鲁泽可尊享全套餐政策,0首付、0杂费、0套路,一口价3999元开回家,买车你还等什么!
智联驾趣SUV 雪佛兰新一代创酷
近日,新一代创酷新增325T自动趣版车型,售价125,900元。新车搭载通用汽车Smart Propulsion智驱科技,“第二引擎”全新一代MyLink智联系统以及先进的智能安全科技配置,满足国六排放标准,并享受发动机、变速箱等动力总成主要零部件8年或16万公里原厂质保服务。目前,新一代创酷325T自动趣版已全面到店,它将以实用的配置和更具竞争力的售价,满足互联网新生代消费群体兼顾实用与个性的用车需求。
购雪佛兰新一代创酷可尊享全套餐政策,0首付、0杂费、0套路,一口价3999元开回家!
齐鲁车展放大招 超值钜惠等你抢!雪佛兰携全系车型亮相齐鲁车展,带来超值的钜惠政策,更多精彩将在山东国际会展中心(西部)C馆C2雪佛兰展位一一呈现,全年购车最佳时刻就在雪佛兰齐鲁车展!
因“投毒杀人”含冤入狱16年无罪释放
他申请1800万国家赔偿
6月2日下午,河南省商丘市民权县人吴春红在家人和律师陪同下,带着1800余万元的国家赔偿申请书,走进了河南省高级人民法院。
因“投毒杀人”被羁押近16年后,今年4月1日,已经50岁的吴春红改判无罪。
被羁押前,他是村里的一名木匠,手底下有七八名工人,还拥有村里最好的一台摩托车。被羁押期间,他坚持申诉,右眼不知何时失明了。回到家后,他说的第一句话是,“总算清清白白地出来了。”
齐鲁晚报·齐鲁壹点记者 陈晨
“你要相信爸爸,
我没有害人家”
吴春红的这16年,得从一次交电费说起。
2004年11月14日一早,村里的喇叭响起,提醒村民该交电费了。
吴春红的女儿吴莉莉说,父亲去电工家交电费时,遇到电工的一个亲戚,二人一起进了电工家,又一前一后离开。第二天,电工的小儿子和大儿子分别在早上和中午出现中毒症状,后来小儿子不幸身亡,大儿子抢救了过来。两个孩子出事的原因是中了“毒鼠强”。
几天后的一个晚上,几名警察来到吴春红家,说要了解一下情况。吴春红跟警察走了之后,就没再回来。那天晚上吴莉莉发现母亲在床头坐了一宿,一夜未眠。
又过了一天,12岁的吴莉莉放学回家,发现家中来了几个亲戚,正在跟母亲一起流泪。一个亲戚告诉吴莉莉,电工说是吴春红害死了他家的儿子。
之后吴莉莉和比自己小三岁的弟弟被母亲送到了三姨家。“从2004年到2012年,一直是我爷爷在找人为父亲申诉。”吴莉莉说,父亲被带走,母亲只好出门打工。爷爷不识字,只能找识字的人带着,从商丘找到郑州,一趟又一趟。
2005年6月23日至2007年10月30日,商丘市中级人民法院三次以故意杀人罪,判处吴春红死刑缓期执行。河南省高级人民法院三次以“事实不清”为由,发回重审。2008年10月15日,商丘中院以故意杀人罪,判处吴春红无期徒刑;2009年7月6日,河南省高院驳回吴春红上诉,维持原判。服刑期间,吴春红坚决不认罪,拒绝减刑,并多次递交申诉材料。
2010年,吴春红被关押到商丘的监狱。在这之前,他一直无法与家人见面。
这一年,已经辍学陪母亲到无锡打工的吴莉莉接到爷爷电话,说可以跟父亲见面了。吴莉莉赶回河南,时隔6年后第一次见到父亲,“半个小时的时间,基本上一直在哭。”吴莉莉说,她看到父亲的背直不起来了,“颓废,沮丧,老态,再也不像从前意气风发的样子了。”
吴莉莉说,当时父亲对自己说,“女儿你要相信爸爸,我没有害人家……”
女儿从爷爷手中接过
为父伸冤的接力棒
“2012年递交的申诉材料再次被驳回,那时候全家都绝望了。”吴莉莉说,当时在狱中服刑的父亲曾对自己说,“不要再管我了,照顾好爷爷奶奶,我这辈子就这样了。”但是吴莉莉并没有放弃,当时她已经开始工作,她从爷爷手里接过了为父申诉的接力棒。
2014年,吴莉莉看到了“念斌投毒案”,“他也是在被冤多年后无罪释放的。”吴莉莉开始联系律师,决心为父翻案。
2018年9月29日,最高人民法院做出再审决定,认定吴春红犯故意杀人罪的证据不确实、不充分,指令河南高院进行再审。2019年10月24日,该案在吴春红服刑的浙江省金华监狱再审开庭。
终于在今年4月1日,好消息传来。2020年4月1日,吴春红“投毒杀人”案再审宣判,河南高院认为,原审认定吴春红犯故意杀人罪事实不清、证据不足,改判无罪。收到律师发来的父亲无罪的短信后,吴莉莉正跟奶奶在一起,“知道这个消息我们都激动坏了。”吴莉莉说,当时奶奶一个劲儿地拍手,一直在说“太好了,太好了……”
4月2日一早,吴春红在儿子陪同下,从浙江金华监狱回到了老家河南民权县。“这些年我们一直在县城租房住,村里的房子漏雨,没让父亲回去。”吴莉莉说,父亲那天由母亲和弟弟搀扶着进了家门。等父亲躺在床上后,吴莉莉上前抱住了父亲,开始大哭。
唯一爱好是写毛笔字
但是右眼失明了
回到河南老家已经两个月了。吴莉莉说,父亲一直在家和医院之间来回跑。
“父亲的右眼看不见了,还有皮肤病。”吴莉莉曾问过父亲右眼失明的原因,“具体时间他也说不清。当时在监狱中,有人递给他一个苹果,他接不到,把左眼捂起来,这才发现眼睛看不见了。”吴莉莉说,父亲这些年在监狱中一直坚持写诉状,初中文化的父亲,不会的字就查字典,“晚上睡不着觉,常常哭,用手揉眼睛,可能导致眼睛出现了问题。”
现在吴春红已经进行了一次眼部手术,医生说需要继续观察,“还得做手术。”吴莉莉说。
现在家人24小时陪在吴春红身边。吴莉莉有三个孩子,成日陪着吴春红嬉闹,他的心情好了很多。
这些年背负着“投毒杀人”的罪名,吴春红的家人也常常受人白眼。吴莉莉说,今年26岁的弟弟跟自己一样初中就辍了学,他总是沉默寡言,不爱说话,更不愿意交女朋友。“我们村里同龄人早都结婚了,很多人在这个年纪已经有两个孩子了。”吴莉莉说,父亲回家后也总是念叨弟弟的婚事。
被羁押了近16年,外面的世界发生了翻天覆地的变化。当时吴春红家里有辆摩托车,那在村里算是最好的,没想到现在出门到处都是小汽车……
6月2日下午,吴春红带着一份《国家赔偿申请书》,由四个家人和两名律师陪着,走进了河南省高级人民法院。吴春红申请了18728071.25元的国家赔偿,其中包括人身自由赔偿金972万余元、精神损失赔偿500万元、误工费和补偿费200万元,相关医疗费用200万元,以及伤残赔偿金(具体金额待伤残等级鉴定后计算)。同时,吴春红要求河南高院在商丘范围内为他消除影响、恢复名誉,赔礼道歉。
6月2日下午,吴春红的代理律师李长青告诉齐鲁晚报·齐鲁壹点记者,法院已经受理了赔偿申请,“法律规定,法院要在两个月内做出赔偿决定。”
吴莉莉说,她希望接下来的过程能够顺顺利利,“毕竟已经折腾了这么多年。”吴莉莉还表示,拿到国家赔偿后,会先去为父亲治疗眼睛,“父亲唯一的爱好就是写毛笔字,眼睛太重要了。”
清场,出门,摆拍
骚乱第七天特朗普首次讲话威胁动用军队
当地时间6月1日,在美国全境蔓延的反种族歧视抗议、骚乱和暴力冲突进入第七天。美国总统特朗普当天首次就此发表讲话,称暴力抗议活动是“国内恐怖行为”,并向各州州长发出威胁,如果各州无法平息暴力示威活动,他将向各州部署军队。
据美媒统计,截至当天,全美至少5600人在骚乱和暴力冲突中被捕;包括华盛顿在内至少40个城市实施宵禁;至少23个州和华盛顿特区动用国民警卫队协同警方维持秩序。
两次躲进地堡,如今走出白宫
白宫外的示威者连日抗议,白宫内的特朗普继5月29日晚之后,又在5月31日再次被护送至白宫地堡。美国有线电视新闻网6月1日援引消息人士的话报道,特朗普对媒体有关地堡的报道非常生气,告知助手将在白宫大门外公开亮相。
6月1日,他在白宫玫瑰园发表讲话,要求各州终结当前的示威活动,誓言动用更多力量达成目标。他说,如果各州州长不能部署足够的国民警卫队队员“掌控街道”,美军将介入“迅速为他们解决问题”。
在不足7分钟的全国讲话中,特朗普称自己是“法律和秩序的总统”、和平抗议者的“盟友”。特朗普讲话前,警察和国民警卫队队员开始强势驱散白宫对面拉斐特公园的上千名和平示威者。特朗普讲话时,还能听到催泪瓦斯爆炸声。
“一场总统的真人秀……丢人”
特朗普讲话结束后,拉斐特公园的示威者已被驱散,他步行穿越公园前往此前曾在示威活动中起火的圣约翰圣公会教堂。在教堂前,媒体记者拍到特朗普手持《圣经》与部分内阁成员合影的照片。这座有204年历史的教堂被称为“总统教堂”,从前总统詹姆斯·麦迪逊开始,每位美国总统均出席过这里的活动。
纽约州州长科莫在社交媒体“推特”发文批评说,这名总统“动用军队驱散一场和平示威,就为了能让他去教堂拍照”“这完全是一场总统的真人秀……丢人”。华盛顿市长鲍泽在社交媒体“推特”上写道:“我宣布了宵禁从(6月1日)晚上7时开始。在距离宵禁还有整整25分钟时,联邦警察在没有受到挑衅的情况下向白宫前的和平示威者动用武器。这一做法将让(华盛顿警察局)官员执法更为困难。简直是丢脸!”
美联社报道,当天早些时候,特朗普在视频会议中称各州州长就像“傻瓜”,不会部署更多国民警卫队队员。“你们当中大多数太软弱,”他说,“你得抓人,追捕人,把他们送进监狱关上10年,你就不会再见到这些家伙。”华盛顿州州长、民主党人英斯利就特朗普的言论称,这是“一个把整个政治生涯建立在种族主义之上、缺乏安全感的人试图让自己看上去强大”的咆哮。
伊利诺伊州州长普利兹克拒绝“联邦政府向伊利诺伊州派兵”,他接受美国有线电视新闻网采访时说:“事实是,总统创造了煽动性的时刻。”“他想从疫情应对失败上转移话题,这是他悲惨的失败。现在,因为乔治·弗洛伊德遭受不公而出现动荡,他想抛出另一个话题,转身成为‘法律和秩序的总统’。”普利兹克称,特朗普与示威者打交道的方式是错误的。
两份尸检报告:死于“他杀”
明尼苏达州亨内平县法医办公室6月1日发布声明说,非洲裔美国人乔治·弗洛伊德在遭警方拘押过程中死于“他杀”,关联“颈部压迫”。声明说,弗洛伊德死于“执法当中抑制、限制行为和颈部压迫并发的心肺功能停顿”,死亡方式系“他杀”。声明同时列出他有“动脉硬化与高血压性心脏病、芬太尼(镇痛药)中毒以及脱氧麻黄碱的近期服用史”。
声明提及,亨内平县法医办公室对于“死因的判定不具判罚或相似意图的法律效力”,强调依据明尼苏达州法律,“法医办公室是中立、独立机构,与任何司法或执法机构没有关联”。路透社报道,这一声明与法医办公室最初发布的结论有出入。在对参与拘捕并用膝盖跪压弗洛伊德颈部的白人警察德雷克·肖万的起诉书中,检方援引尸检初步结果称,没有证据显示死者遭创伤性勒制,并称心血管疾病和高血压也可能是致死原因。
弗洛伊德的家属还委托两名法医做独立尸检,6月1日发布的结果认定弗洛伊德死于窒息,死亡方式系“他杀”。实施独立尸检的法医说,弗洛伊德没有严重可致死亡的健康问题,而事发当天他被送上救护车前可能已经死亡。密歇根大学法医威尔逊告诉路透社:“证据显示死因与机械性窒息一致,死亡方式是他杀。”
目击者拍摄的现场视频显示,警员德雷克·肖万跪压弗洛伊德颈部长达近9分钟,另两名警员同时跪压弗洛伊德背部。参与独立尸检的另一名法医巴登说,两名警员跪压弗洛伊德背部的行为也导致他无法呼吸。“我们能够看到,不到4分钟,弗洛伊德已经没有动静、没有生命迹象。”巴登同时澄清一个误解,“许多警员认为,如果你能说话,那就意味着你正在呼吸,这不对。”
“停止暴力,用选票行使权利”
弗洛伊德家属的首席代理律师克伦普说,独立尸检和视频证据清晰显示,警员当街跪压在弗洛伊德身上时,他已经死亡,“救护车只是他的灵车”。另一名律师罗马努奇说,弗洛伊德的死因不止跪压颈部,两名跪压在他背部警员的体重不仅阻止血液流向大脑,同时阻碍空气进入他的肺部,“这一点令所有在场警员都应担负刑事责任”。
克伦普说,弗洛伊德家属希望检方起诉所有在场警员,对肖万控以一级谋杀罪。这名律师说,弗洛伊德的葬礼定于9日举行。他的家属4日将在明尼阿波利斯市举行追思会,6日在他的出生地北卡罗来纳州举行另一场追思会,9日上午在得克萨斯州休斯敦下葬。此外,弗洛伊德的兄弟特伦斯·弗洛伊德6月1日向示威者发出请求:“请用和平的方式,求你们!”他敦促人们停止暴力活动,通过选票行使权利。 综合新华社消息
美军万吨巨舰暴发疫情保密为由拒透感染人数
本报讯 继“罗斯福”号航母和“基德”号驱逐舰后,美国海军又有一艘部署中的军舰出现疫情。据美国《海军时报》6月2日报道,美国海军的“卡特霍尔”号两栖船坞登陆舰多名舰员的新冠病毒检测结果呈阳性。
美国海军发言人乌玛亚姆说,在5月23日收到检测结果报告时,这艘母港位于弗吉尼亚州的军舰正在港口停靠,为作为飓风季节备用增援部队做准备。美国海军官员没有公布具体感染人数的情况,根据美国国防部的相关规定,乌玛亚姆也没有透露有多少舰员被感染。乌玛亚姆说:“舰员在接受新冠病毒检测后进入预防性隔离程序”,“部分舰员仍留在舰上,按要求进行清洁和维护”。
乌玛亚姆表示,那些被转移到岸上并被隔离的人“每天都要接受检查”,“那些留在舰上的舰员和海军陆战队队员正在加强与外界的隔离措施,尽量减少群体聚集,佩戴个人防护装备,开展大量的清洁和消毒工作,并与上级指挥部门保持联系”。
报道称,美国海军目前仍有831例新冠肺炎病例,其中两人入院治疗,累计已有1645人康复。报道称,“卡特霍尔”号是第三艘出现疫情的美国海军作战舰船。“卡特霍尔”号属于“惠德贝岛”级船坞登陆舰的改进型,满载排水量1.6万吨,其宽大的货舱可装运两栖战车或气垫登陆艇,用于执行两栖登陆作战任务。该舰舰员配置为340人,另外还能搭载约500名执行两栖作战任务的士兵。
美国海军的“罗斯福”号航母和“基德”号驱逐舰都曾暴发疫情,但从4月30日起美国海军停止报告这两艘军舰的感染人数。美国国防部在一份声明中称,出于对战备状态下行动安全的考虑,不会公开单个单位、指挥系统或基本部门的具体感染人数。 据环球网
疫情或致美国经济损失7.9万亿美元
据新华社华盛顿6月1日电 美国国会预算办公室当地时间6月1日发布的数据显示,即使所有救助资金都得以用来缓解新冠疫情影响,疫情未来10年仍可能导致美国经济损失7.9万亿美元。
数据显示,经通货膨胀调整后,2020年至2030年美国累计实际国内生产总值(GDP)将比国会预算办公室今年1月的预估值减少7.9万亿美元,相当于这10年累计GDP总量的3%。美国国会预算办公室表示,随着疫情发展以及经济损失得到全面评估,将进一步调整这一预估值。
美国国会预算办公室主任斯瓦格尔表示,此前出台的经济纾困法案将部分缓解美国经济恶化的程度,与此同时,“为防控疫情而出台的关停企业以及社交隔离措施将减少消费者支出,且近期能源价格下滑则将导致美国能源领域投资严重减少”。
为应对疫情冲击,美国国会已经出台了总额达2.2万亿美元的经济纾困法案,为低收入美国民众发放现金支票,并为受疫情影响严重的中小企业增设贷款项目。同时,美联储将联邦基金利率目标区间下调至0至0.25%的超低水平,并开启无上限量化宽松。
美国商务部的数据显示,今年第一季度美国经济下滑5%,是2008年国际金融危机最严重时期以来的最大季度降幅。由于疫情持续发酵和经济大面积停摆延续,预计第二季度美国经济仍可能出现历史性下降。
美国劳工部的数据显示,4月份美国失业率达到14.7%,是上世纪30年代经济大萧条以来新高。美国劳工部即将于6月5日公布5月份就业报告,市场普遍预计当月失业率可能接近20%。
经超:进入角色才不会做出“行活”
未来他最想演皇帝和卧底
英姿挺拔的身形,剑眉星目的五官,让经超在影视剧中的亮相总是让人印象深刻。而且凭借着不俗的演技,经超正在成为中生代男演员中的佼佼者,不但有了越来越多的代表作,还能够驾驭越来越复杂多样的角色:《如懿传》中重情重义的御前侍卫凌云彻,《温暖的弦》中体贴细腻的暖男富二代朱临路,《法医秦明3》中智商卓群的秦明……最近在刑侦剧《燃烧》中,经超又演绎了一个不同寻常的警察形象。2日,经超接受了齐鲁晚报·齐鲁壹点记者的采访。谈到表演心得,经超说,“只有全身心投入,才可能做到进入角色,要不然出来的绝对是‘行活’。”
齐鲁晚报·齐鲁壹点记者 刘雨涵
表演新尝试:内外状态切换
在刑侦剧《燃烧》中,经超不是第一次扮演警察角色。之前在网剧《暗黑者》中,那个又帅又猥琐的痕迹学达人尹剑的扮演者正是经超。而在《法医秦明3》中,经超又挑战了高能法医秦明。这次在《燃烧》中饰演高风,经超说这个角色吸引他的地方在于高风的身上有着心路成长的历程。“之前我演过的那些警察也好、当兵的也好,都是一上来就积极阳光、精神面貌十佳的状态。而高风最开始对警察职业还有一些抗拒,后来才在案件侦破的过程中,逐渐了解了这身警服的意义。”高风这个角色对于经超来说,是一种全新的尝试。“他有着外化的开朗圆滑,又有着内化的心思缜密,需要在两种状态之间来回切换。他的严谨可以用漫不经心、谈笑风生来诠释,这是我在表演上的一个新搭配。”
这次经超与张佳宁在剧中挑大梁,两个人可以说是识于微时,早年间有过多次合作,如今经超有了更多的代表作,张佳宁也在《知否知否应是绿肥红瘦》等热播剧中崭露头角。对于这位搭档兼好友,经超评价说张佳宁非常有可塑性,“既可以是可爱型的,也可以拿捏住霸道女总裁。”经超说两人虽然熟得很,但是也不会在拍摄现场开玩笑,聚在一块的时候总是在聊关于剧本人物的事情,哪怕私下聚会吃饭也是如此。“对于哪些地方需要修改,我们俩的建议会出奇的统一,一个眼神基本上就知道是什么意思,不用再多说,特别有默契。”
《燃烧》的主线是一桩涉及高风家族的陈年旧案,经超觉得这样的设置安排有着特别的社会意义。“我们公安系统现在的破案率不断提高,一些城市已经达到100%的破案率。我们需要向广大观众传递公安系统办案的信念和决心,我觉得这就是我们这个戏存在的价值和意义。”
表演新方法:角色都是聊出来的
《燃烧》的导演兼编剧陈育新,正是去年火到出圈的缉毒大剧《破冰行动》的编剧。经超说与陈导的合作方式是与以往非常不同的。“导演给了一个非常好的结构框架,提供了很好的创作空间。第一次跟导演见面我们就直奔主题,打了个招呼就开始聊一场场的戏,很少寒暄。之前拍戏基本都是听导演讲,这次跟导演讨论的很多,我会按照场次把自己的疑问和想法记录下来,所以能在创作当中产生更多的火花。”
这次的表演经验也让经超感觉到,通读剧本和与他人反复讨论对于进入角色的重要性。“跟导演聊,再跟主创聊,自己回去琢磨完之后再不断地去聊。哪怕是在拍摄过程当中,也要每天揣摩讨论角色。”虽然牺牲了与家人沟通的时间和发展自己兴趣爱好的时间,但是经超获得了对于角色前所未有的理解深度。“只有全身心地投入才可能做到进入角色,要不然的话是绝对不可能的,做出来的只能是‘行活’。”
经超合作过的实力派戏骨不少,《燃烧》中有奚美娟、谭凯、张志坚、邬君梅、刘敏涛等,《如懿传》中有周迅、张丰毅等,经超说跟每一位老师的合作都让他收获颇丰。“迅姐那种表演方式的松弛感、准确度,张丰毅老师演戏的气场很稳、很强大。这部剧里的谭凯老师,虽然有观众说他是扑克脸,但是他内心特别饱满,爆发能力很强。”
近年来经超也注意向比自己年轻的新演员学习,这是他取师陈道明的片场经验。“陈道明老师曾经说,他会去现场看年轻演员演戏,向年轻演员学习。因为时代在变,每个时代的表演风格和方法都是不一样的。观众的审美和喜好也都在改变,要让观众接受,那你就要不断学习新的表演方法,再结合老的表演经验,才会有比较好的状态。我会去揣摩他们的心理和他们接受的新东西,年轻演员的那种积极度和兴奋度是很值得我去学习的。”
表演新愿望:想挑战历史正剧
1986年生人的经超,如今正处于一个男演员的黄金时期。更广阔的人生经验,更深刻的人生感悟,更丰富的表演经验,都让他能够为新角色带去更多的精华和滋养。2008年还在北京电影学院读书的经超就出演了自己的首部作品,至今已经出道12年。让经超感到欣慰的是,这些年来他对于角色的塑造能力和对于分寸感的拿捏,越来越有掌控感。
“因为影视剧都是跳拍的,以前刚出道的时候,遇到比较复杂的戏份,虽然每场演得都很爽,但是剪出来拼在一起看,就会发现很跳脱,人物表演得神经分裂,喜怒哀乐无常。现在再演复杂的戏份,我的脑海中对于前后场会有个大致的印象,我有能力让最后剪辑出来的成片情感是连贯的。”
经超至今已经出演过近三十部影视作品,他说自己在未来最想演绎的有两种角色,一个是皇帝,一个是卧底。“就像陈道明老师那样,是通过历史正剧去正经地诉说一段皇帝的历史。还有一个就是卧底,警方在毒窝的卧底也好,或是贩毒集团在警队中的卧底也好,这种双重身份很有挑战性。”
经超其实还是演艺圈内“英年早婚”的代表,早在2014年,28岁的经超便和同为演员的小李琳结婚,太太正是当年那部《上错花轿嫁对郎》中的女主角杜冰雁。如今经超早已升级成为超级奶爸,有着两个可爱的女儿,让许多网友既惊讶又称羡。谈及如何平衡工作与家庭的关系,经超坦言,两者是无法平衡的。“鱼和熊掌不可兼得,只能说哪个偏重、哪个偏轻。在我工作的时候,除非是小朋友探班时住在剧组,我可能有机会一天见一面,因为拍戏要早出晚归,也有可能几天才见一面。平时基本上就是视频或者语音聊天一下。”
疫情宅家期间,经超在微博上分享了自己烹饪的美食,简直成了一位美食博主,据说当年经超就是靠他的炖猪蹄追到太太的。“如果不做演员的话,我想做一家餐厅,也不是很昂贵的那种高档餐厅,但是东西一定好吃,我比较喜欢这个东西。”
不够聪明的人,要够笨
曾经,我以为普通人的辛苦不过是指柴米油盐,是更紧缺的经济、更匮乏的人脉、更短浅的见识——我错了,那可能还包含了被优秀者遮挡视线的茫然感、意识到自己平凡的无力感,以及“这一生不过如此”的心灰意懒。
□叶倾城
少年时看过一部电影《她比烟花寂寞》。天才大提琴手杜普蕾从小绽放出惊人的音乐天分,拥有巨大的光环与无数的掌声,但困于不懂生活、不懂得爱。有一个情节我至今记得,她大约是在俄罗斯演出,日子久了,衣服总要换洗。洗衣这种粗活会伤害音乐人赖以维生的双手,她试着去街头的洗衣房,但她不懂俄语,店家不懂英语,比手划脚,鸡同鸭讲——最后,她把衣服寄回老家,让姐姐洗完了给她寄过去。
这样的她,注定不是平凡人,因此更渴望平凡的幸福。有一天她对姐姐说:“你知道吗?做天才是很辛苦的。”姐姐答:“做普通人也是很辛苦的。”
曾经,我以为普通人的辛苦不过是指柴米油盐,是更紧缺的经济、更匮乏的人脉、更短浅的见识——我错了,那可能还包含了被优秀者遮挡视线的茫然感、意识到自己平凡的无力感,以及“这一生不过如此”的心灰意懒。
我终于知道,是因为——女儿小年说起她的同学时,差一点哭了出来。
小年在小升初后的那个暑假上了一期托福基础班。开学后,她发现新认识的同学间,有几位上的是高级班。
小年前排的女生比她矮半个头,不显山不露水的清秀文静,但钢琴十级,小提琴十级,父母正在考虑为她选择第三种乐器学习。女生能拉《雷鸣电闪波尔卡》,还多次参加世界级的合唱比赛。
小年后排的男生很闹腾,上课如果没抢着说话就是在睡觉,不然就是玩游戏。但老师从来不批评他。很快小年知道了,男生是名闻全校乃至全市的大神,参加过国际奥数大赛,得过金银牌。
元旦晚会上,好几位同学都吹笛子——可怜小年到后来才知道那分别是竹笛、长笛及单簧管;有许多人会我们闻所未闻的运动,比如攀岩、击剑、冰球、马术、潜水、花样滑冰……她拿一位同学的朋友圈给我看,那位同学的高尔夫同学是她的小学同桌,而她竟然全不知道。我与她都不作声,我默默感谢那位同桌的只字不提。
起初,我这样开导她:“咱们不比那些,和人家比学习。”
然而,上述这些同学,大部分都是年级前五十名。有一位稳居年级第一,除了成绩优秀,还写一笔娟秀的字,围棋据说有入段的水平。
而我,在养育小年的过程中已经精疲力竭,一路该培的优、该练的技能,一个不落。小年也学过跳舞、钢琴、游泳、网球,拿过四五六七……级证书。但此刻,我与她都清清楚楚看到了:不错、好、优秀、优异之间,是一道一道的天堑,不可逾越,无法抗衡。我想鼓励她笨鸟先飞,但,飞到哪里去?这不是勤学苦练就能解决的事儿。
受挫的人,不止她一个。
小年认真地问我:“妈妈,你够钱送我去学马术吗?”她最好的朋友在学。
我小心翼翼地答:“不是钱的事儿,马场肯定都很远,我不会开车……”这就是钱的事儿,但我没法承认。
什么叫全面辗压?这就是。
要教育她吗?少年时的骄傲,来自童年的苦练;相应的,成年时的骄傲,也来自少年时的辛苦。所谓因果不虚,就是如此。很多东西不是那么难,只是被我们轻易放弃的东西,有人还在默默往前走。到我们看见时,他们已经走到前面了。现在还只是望其项背,很快,就有些人让我们望尘莫及,最后一定有人对我们来说是神龙首尾皆不见。
或者安慰她?三人行必有我师,其实就是指:每个人都有比你出色的一面。相应的,你必有地方胜过其他人。有人比你更懂艺术,你也许比他们更懂生活;你羡慕人家的专注精进,人家希望能像你一样拿得起放得下。非得接受自己的庸常,才有可能发掘出自己的美。
良久良久,我对小年说:这世界上绝大多数人都是平凡的,取决于哪个级别的平凡。总有一处是你的失利场,就算一直打到奥运会,也不能保持次次冠军。独步天下的一代宗师,亦有黯然退场的时刻。
笑傲江湖,只说明你身处的江湖太普通;独孤求败,只证明你还是鲤鱼,在浅水里游斗。哪一天附近全是虎鲸、抹香鲸与鲨鱼了,恭喜你,你终于到了那深不可测的大海。能输,是荣幸,能早早地知晓自己不是超人,放弃很多不着边际的幻想,未必不是好事。
术业有专攻,受业有先后,若不能触类旁通,何不挑选一个自己的最爱,一路深耕?人家一目十行,你十目一行,但没关系,正如龟兔赛跑,你只要在他睡觉的时候继续向前就行。
从前有个人,喜欢历史,年轻时想拜在一位老师门下,那老师拒绝了,说:“你太笨。”笨人于是下笨功夫,有10年时间,他每天在业余时间只做一件事:通读《明史》。到最后,他成为一代明史专家,写下了《万历十五年》,他叫黄仁宇。
给我讲这个故事的人,自己曾经是高考状元,到现在年过五十,亦算一事无成。他的感慨就是:“聪明人做学问、做事情,会自然地挑最容易的,事事通,事事都是半吊子。而做大事的人,需要一点钝感力,需要死心眼,需要对外界关上眼耳口鼻。”他的结论是:我不够聪明,也不够笨。
大部分人都不够聪明,但只有极少的人,“够笨”。
笔耕不辍的卖菜叔
□天真的老姜
一个多星期前的某个晚上,去三环边上那个公园散步。转过那片迎春花丛,发现在公园北边中间的路边摆了一个窄窄长长的菜摊,菜都是一袋一袋装好了的,是论袋卖的,不用称,旁边放着两个收钱的二维码。卖菜人是个大约50岁的男人,后背靠着路灯坐着。
摊前一对中年夫妻中的男人正在和卖菜人讨价还价:“14块钱,我拿走这两袋。”说着就拿起了两袋瓜。是一袋墨绿黄条相间的甜瓜和一袋白玉色的甜瓜,共4个瓜。
“不卖!不行!”卖菜人的语气没有商量,“你要就15块钱。”
男人仍说:“14块我就拿走。”
卖菜的从灯柱那里站起来,“你走吧,把瓜放下!”
女人身材苗条,穿了条很漂亮的连衣裙,在一旁帮腔:“14块就14块啦,和15块有什么区别?”
卖菜人针对男人说:“你走吧,一个大老爷们儿,磨磨叽叽的。”
我也正想买瓜,看他们说得热闹,忍不住就插了嘴:“你们两个大老爷们儿都够磨叽的。”然后对那个买瓜的说:“没见过这么想买瓜的,人家三番五次地撵您走,您还是要买,您不会生气就走吗?”
那男人说:“我不生气。我要买瓜。”
说得我们都乐了。
“我也没见过这么牛的卖菜的。哪有这么没商没量的,还老撵人?”我又笑着对卖菜人说,“说说,您为什么这么豪横呀?”
“15块钱4个瓜,我真赚不了几分钱,他们在这里跟我磨叽半天了……”他也笑着解释,言外之意是他没闲工夫跟他们磨叽。
我这才注意到卖菜人靠着灯柱坐着,两腿并在一起当了“写字台”。这随身携带的“写字台”上摊放着一个打开的笔记本,厚厚的。他的右手握着一支笔,就着昏暗的灯光,跟我们说话时,时不时低头写点什么。
“您在写什么?”我凑过去看他的笔记,看他本子上写了密密麻麻的小字,不好看,但很整洁。
“我在写日记。”
“写卖菜日记?今天的日记里会不会写上他们俩?”我看看那对夫妻。
“会写,会写。”
那漂亮的中年女子连忙说:“写他写他,可别写我!”于是,在笑声里,夫妻俩用15块钱买了那两袋瓜,心满意足地走了。
公园这边的人本来就少,加上快晚上9点了,来往的人就更少了。虽然为他不能赚几个钱而不安,却不用担心跟他聊天影响买卖。他也很健谈,主动向我介绍自己。
实际上我是遇到了藏在民间的奇人。他属鼠,今年是他的本命年,来自安徽,小学四年级的学历。早在2013年他就成了“网红”,被称为“卖菜叔”,因为他在那一年出版了一本书,书名是《卖菜叔日记》,豆瓣评分7.6分,不低了。
“在北京西城区天陶菜市场,每天都重复着这样一幕:在嘈杂的叫卖声中,一个卖生姜、大蒜的中年男子在专注地一笔一画码字。他叫姚启中,今年40岁,1997年从安徽阜阳来北京打工。他靠卖生姜、大蒜维持一家人的生活并供儿女读书……从2009年底开始,他一边卖菜一边写作,三年时间,陆陆续续写了20万字。《卖菜叔日记:写给孩子们的奋斗史》即由卖菜叔日记整理而成,原汁原味地记录了卖菜叔曾经的苦难、16年的北漂生涯以及他成功教育孩子的方法。”这段文字摘自豆瓣对书和他的介绍。“日子难过,更要认真地过。一辈子总要有值得去纪念的经历……”这是副标题,应该是他生存信念的写照吧。
我买了他的瓜后回家,也读了一部分他写的书。瓜很甜,文字也质朴生动,难得的是大量鲜活独特的生活细节……
又一个晚上,散步去寻他。
依然是在那个灯底下,他抱着一个笔记本写着字,卖着菜。
问他上本书赚了多少稿费,回说:10万。哦,七八年过去了,看来这10万块钱也没改善多少他的物质生活,他还在卖菜,而且是夜里摆摊的这种方式。但也许正好相反,他已经不用特别费力地去卖菜了,只不过是用卖菜的方式来寄身,或者寻找写作素材吧。
问他现在在写些什么,回说:在准备出第二本日记,写了好几个笔记本了。上次那本主要写自己的童年和孩子的情况,“这次写的是我们的社会、我们的国家。国家和人一样不容易。”说编辑在等着呢。
“祝你写作顺利,出书也顺利呀!”我由衷地祝福他。临别又买了他两捆小葱,他说:“谢谢您呀!”
“再见!”我已经走出几步了,他还在跟我道别。
昨晚去散步,看见灯光下的卖菜人还是那样的蹲坐姿势,写着字,卖着菜……
没有问他写作的事,我走过去,买了一捆大葱、一袋青椒、一袋细长茄子,每袋五块钱,他给找了一个几乎可以把菜摊上的菜都装进去的大袋子。转身离开时,卖菜人说:“谢谢您呀!”又追一句:“菜很新鲜!”又加一句:“再见!”
其实,我心里想,真不知道我和卖菜人之间到底谁该谢谁呢?
从第一次见到他,到现在,我一直在思考写作的意义。
好像没意义,他不是还在卖菜吗?他不是还在因为区区一块钱而生气,或者因为十几块钱而诚恳地道谢吗?
为什么还笔耕不辍呢?也许是生活在那里的缘故吧!
意甲官宣复赛时间表,球队每周双赛,联赛几乎天天有比赛
赛程压力大,尤文冲冠不容易
北京时间6月2日凌晨,意甲官方宣布了联赛复赛的具体时间表,这标志着意甲联赛复赛进入到了倒计时阶段。从复赛到赛季结束,各支球队都将会面临非常严酷的赛程考验。本赛季剩余比赛将会从6月20日开始,持续到8月2日结束。在44天时间里,意甲球队要进行124场比赛。
复赛后赛程紧
尤文夺冠压力大
根据意甲公布的时间表,从6月20日到8月2日,短短6周多时间里要踢完剩下12轮,几乎每天都有比赛。大多数周末比赛日从周六持续到周一,周中比赛日则从周二持续到周四。开球时间将是当地时间19:30或21:45,尽管球员工会抗议下午的高温,但仍有比赛在17:15开球。
重启后首先进行4场补赛。当地时间6月20日19:00,都灵对帕尔马将成为重启首战。随后维罗纳对阵卡利亚里。次日晚,排名第三的国际米兰迎战桑普多利亚,亚特兰大迎战萨索洛。首个完整比赛日将于22日开始,3场比赛包括领头羊尤文图斯对阵博洛尼亚。两天后,仅落后尤文1分的拉齐奥对阵排名第4位的亚特兰大。7月20日尤文图斯对决拉齐奥,或许将左右冠军归属。
意大利足协同时还发布了长达40页的指引文件,规定了意甲重启之后的严格措施。文件规定交战双方必须在不同的时间出场和下场,球场内人数限制在300人以内,包括球员、工作人员和记者。
从复赛之后尤文图斯队的赛程来看,他们需要在42天时间里,完成12场比赛的较量,此外在意甲复赛之前,他们还可能需要进行两场意大利杯的比赛。如此繁重的赛程,对于平均年龄偏大的尤文图斯来说是很大的考验,他们的争冠将会面临巨大的压力。
意大利杯半决赛和决赛,将会在意甲复赛之前进行争夺,此外意甲最后三轮的比赛时间安排仍未出炉,如果不出意外的话,最后三轮比赛将会同时开赛。对于各支球队来说,这个赛程都非常的残酷,但是对于球迷们来说,他们可以不间断地欣赏精彩的足球赛事了。
休赛不停练
C罗期待上场表现
目前尤文全队正在进行恢复集训以迎接本月20日联赛的重启,意大利媒体表示,目前C罗的身体状态非常棒,各项指标甚至要比三月份的数据更好,并且葡萄牙人还在研究如何适应空场的比赛环境。
休赛期间,C罗丝毫没有放松,一直坚持体能训练保持状态。从尤文俱乐部的技术人员每天搜集的数据显示:C罗目前在身体强度测试上的数据要稍稍高于三月份数据,这是因为他在隔离期都一直在健身房进行着严格的训练,而在速度上他也比此前意甲停摆时更快,这也得益于他在隔离期间能够使用当地球队的训练场进行训练。
意大利媒体表示,疫情导致的停摆某种意义上对C罗来说是有好处的,从技术角度上来说,C罗花了三个月时间进行训练,却没有经过一场比赛的消耗。尽管缺少赛场上的对抗不能满足C罗的好胜心,但这同时给他提供了休养身体的好机会,以往那些小伤也有了恢复的时间。
据称,C罗也在为联赛恢复而进行着特殊的心理准备,他和其他人一样对于空场比赛也有顾虑,没有球迷的球场让他很不自在。因此C罗目前正在试图找到集中注意力的技巧,以保持自己的取胜欲望。
布冯准备再战
渴望随尤文捧杯
除了当家球星状态甚佳,尤文老将布冯也有可能继续推迟自己的退役计划。意大利媒体爆出,尤文图斯希望与今夏合同到期的布冯签下为期1年的新约,而双方已经达成了一致。
在为尤文图斯效力了17个年头之后,布冯在2018年夏天免签加盟了巴黎圣日耳曼。2019年夏天时,合同到期的布冯选择重返尤文图斯,双方签下了为期1年的合约。截至目前,布冯代表尤文图斯共计参加了667场赛事,说他是这支意甲豪门的“活化石”一点也不为过。尤文图斯目前的一号门将是什琴斯尼,布冯则以二号门将的身份在本赛季参加了11场比赛,这位2006年世界杯冠军成员的竞技状态依然出色。
6月12日,意大利杯会重启,布冯希望可以代表球队晋级到决赛,然后在6月17日夺得冠军。截至目前,布冯一共夺得了5次意大利杯冠军,其中4次是在尤文赢得的,1次是在帕尔马获得的,如果布冯再度捧杯,那么他将追平曼奇尼在球员时代6次夺冠的纪录。
同时,布冯渴望再度帮助球队赢得意甲冠军,加盟斑马军团以来,布冯夺得的冠军数是19个,如果再度夺冠,布冯将达到新的里程碑。意大利媒体《新闻报》称,布冯的最大梦想是跟随尤文在这个赛季夺得意甲、意大利杯和欧冠的三冠王荣誉,如果可以做到,那么布冯的职业生涯就堪称完美了。
(宗文)
武汉核酸检测近千万人未发现确诊病例
6月2日下午,湖北省新型冠状病毒肺炎疫情防控工作指挥部召开新闻发布会,通报集中核酸检测结果:从5月14日0时至6月1日24时,武汉市集中核酸检测9899828人,没有发现确诊病例,检出无症状感染者300名,追踪密切接触者1174名。 中新
黑龙江省牡丹江市开展全市核酸检测
6月1日,牡丹江发布《市卫生健康委扩充全市核酸检测》,信息显示,牡丹江市卫生健康委员会进一步扩充核酸检测标本采样队伍,由11家三级医疗机构和12家二级医疗机构共1196人组成。为开展全市核酸检测工作做好各项充足的准备。 新京
南方多省份大暴雨启动四级应急响应
中国气象局2日启动重大气象灾害(暴雨)四级应急响应。记者当天从中国气象局获悉,未来约一周时间,南方多个省份将经历持续强降雨过程。据中央气象台预报,未来三天,强降雨将集中“火力”主攻江南及广西、贵州等地。 中新
5月百城住宅均价同环比小幅上涨
6月1日,中国指数研究院发布的数据显示,5月份全国百城住宅均价同环比均呈现小幅上涨态势。
2020年5月,全国100个城市(新建)住宅平均价格为15280元/平方米,环比上涨0.31%。同比来看,百城住宅均价较去年同期上涨2.99%,涨幅较上月扩大0.06个百分点。 新华
独臂篮球少年爆红网络
近日,一则独臂少年打篮球的视频在网上迅速走红。视频中,他仅用独臂完成转身过人、胯下运球等高难度动作,精湛的球技让人惊叹不已。
这名少年叫张家城,年仅14岁,是广东省云浮市一名初一学生。广东男篮总经理朱芳雨评价称:“这是我见过篮球打得最好的孩子。”随后易建联转发了这名独臂少年打球的视频,并在个人社交媒体上写道:“心,永远都会是身体里最强壮的部位。” 南都
川航“5·14”事件报告机长缺氧飞行19分54秒
6月2日,川航“5·14”事件调查报告公布。报告披露,事发时机长刘传健曾试图用右手取出氧气面罩,但由于左手操纵侧杆,氧气面罩位于身体左后侧,且飞机抖动剧烈,未能成功取出氧气面罩。从风挡爆裂脱落至飞机落地,机长刘传健未佩戴氧气面罩。其暴露在座舱高度10000英尺以上高空缺氧环境的时间为19分54秒。 央视
“黑脸医生”胡卫锋抢救无效不幸去世
记者从武汉市相关部门获悉,武汉中心医院医生胡卫锋于6月2日5点45分抢救无效不幸离世。
胡卫锋生前因感染新冠肺炎并引发基础性疾病,进行了长达四个多月的治疗。此前他曾因药物治疗导致“面容变黑”。 央视
连云港“药神案”二审宣判刑罚减轻,改判为非法经营
6月2日,连云港“药神案”二审宣判,一审的15名被告人均被改判。一审法院认定的销售假药罪被改为非法经营罪,14名原审被告人的刑罚均有所减轻,另有1人被判无罪。这起刑案因与电影《我不是药神》情节相似,被称之为连云港“药神案”。
中新
火车站抢2岁女童案开庭被告人获刑一年半
6月2日,上海市静安区人民法院公开开庭审理一起拐骗儿童案件。一名中年妇女于去年12月16日在上海火车站强行抱起2岁女童后欲逃离被当场制止,现获刑一年零六个月。
澎湃
消防员对待遇不满放火毁林被判刑10年半
海南省昌江黎族自治县男子文某原是一名森林消防员,本应防火救火,却因对待遇不满心生怨念,两个多月内放火8次,火烧林地上千亩,烧毁林木7万余株,经济损失近370万元。近日,海南省第二中级人民法院以放火罪一审判处文某有期徒刑十年六个月。 新华
北京实施“史上最严”野生动物保护法规
6月1日,新版《北京市野生动物保护管理条例》(简称《条例》)正式实施。《条例》将野生动物保护管理工作纳入生态文明建设考核体系,规定北京全域全年禁猎,加大对违法行为的处罚力度,被称为“史上最严”京版野生动物保护法规。 新华
多部门鼓励科研项目吸纳高校毕业生
近日,科技部、教育部等部委联合下发通知,鼓励承担国家科技计划、专项、基金等科研项目的高校、科研院所、企业等单位开发科研助理岗位,从事科研项目辅助研究、实验(工程)设施运行维护和实验技术等工作,吸纳高校毕业生就业。 央视
外语专业四、八级考试上半年不再举行
2日,高校外语专业教学测试办公室网站发布公告称,经研究决定,英语、俄语等全国高等学校外语专业四、八级考试2020年上半年不再举行。公告称,各语种测试组与所有考点完成信息确认工作后,将退还各考点已缴纳的考试费用。 中新
专科生参军退役完成学业将可免试入读本科
日前,教育部、中央军委国防动员部联合下发通知,通知明确,从2021年起,将扩大“退役大学生士兵”专项硕士研究生招生规模,由目前的每年5000人扩大到8000人,重点向“双一流”建设高校倾斜。专科学历学生参军退役并完成专科学业后,从2022年起,可免试入读普通本科或成人本科。 新华
新城控股原董事长被撤销全国劳模称号
近日,新城控股原董事长王振华被撤销“全国劳动模范”称号,收回奖章、证书等。2019年7月,时任新城控股董事长王振华因涉嫌猥亵9岁儿童,被公安机关采取强制措施,7月10日被逮捕。 中新
俄罗斯修宪全民公投7月1日举行
俄罗斯总统普京6月1日宣布,俄罗斯将于7月1日举行宪法修正案全民公投。据克里姆林宫网站发布的公告,普京当天与中央选举委员会领导层和宪法修正案起草工作组成员举行工作会议时表示,俄罗斯新冠疫情日趋稳定,“因此,我们应再次回到宪法修正案的工作中”。
新华
爱尔兰男子把双层公交改造为“豪宅”
爱尔兰一名男子把一辆废旧双层公交车改造为“豪宅”,内部铺设木地板,不仅设有3间卧室、洗手间、厨房、浴室,还带露台和花园。理查德·巴顿现年61岁,3年前花费2000英镑(约合1.8万元人民币)买下它。
新华
日本大和市欲规定边走路边看手机违法
日本神奈川县大和市打算制定防止走路看手机条例,如果在市议会获得通过,在城市街道、人行道及包括车站前广场在内的共享公共空间等区域边走路边看手机或其他电子设备的行为将属违法。 新华
澳大利亚警告国民不要去美国旅行
澳大利亚外交贸易部当地时间6月1日发布旅行安全提示公告,警告国民不要去美国旅行,包括阿拉斯加、波多黎各和夏威夷群岛。公告同时强调,如果要离开美国,需要尽快行动。目前,美国与澳大利亚之间仍有少量航班。 央视
买奔驰就等齐鲁国际车展19款车型即将盛装亮相
2020年6月4-8日,奔驰全系车型即将登陆第四十一届齐鲁汽车展示交易会·2020齐鲁国际车展,包含梅赛德斯-奔驰、梅赛德斯-AMG、梅赛德斯-奔驰MPV车型及全新腾势X,以19款车型的强大阵容参展第四十一届齐鲁国际车展,欢迎您莅临山东国际会展中心奔驰展台。
AMG GT C
GLC SUV
SUV家族
AMG A35
第四十一届齐鲁国际车展即将于6月4日正式拉开帷幕,本次车展梅赛德斯-奔驰参展车型包括潮流新生代梅赛德斯-奔驰A级车,“爱,无所不载”自由掌控驭风追逐的梅赛德斯-奔驰B级旅行车,无可阻挡锐意进取的梅赛德斯-奔驰C级车,高谋远见、智慧风范的梅赛德斯-奔驰E级车,与先行同行,领时代之先的梅赛德斯-奔驰S级车。
奔驰SUV家族也将在此次车展隆重登场:作为新生代家族的最新成员,梅赛德斯-奔驰GLB SUV以硬朗大气的造型和宽敞实用的5+2座空间满足多种出行用途。
英雄格局,目光如炬的梅赛德斯-奔驰长轴距GLC SUV,卓群品质,当为英雄所尊享。
动感之姿,势不可挡。无论崇山峻岭,还是戈壁险滩,梅赛德斯-奔驰GLE SUV亦可一马平川。
梅赛德斯-奔驰GLS SUV拥有别具一格的卓然风范、豪华驾乘体验和领先智能科技,成为名副其实的“豪华SUV中的S级”,重新定义了大型豪华SUV细分市场的标准。
作为享誉全球的高性能汽车及跑车品牌,梅赛德斯-AMG也将携多款激动人心的车型驾临展台。
全新梅赛德斯-AMG A 35 4MATIC,锋芒外放,生势非凡。独有的AMG美学基因,一眼就锁定你的目光。紧凑精悍,力量感十足,目光所及处处令人难忘。
迅猛轻灵,逐风而行新一代梅赛德斯-AMG GT C中国特别版,AMG 4.0升V8双涡轮增压发动机,贲张410千瓦最大功率,带来3.7秒百公里加速度,澎湃动力让速度成为信仰,每一程快意驰骋,皆由心而动。
全新腾势X在本次车展中也将登台亮相,以梅赛德斯-奔驰广受认可的设计DNA和造车美学,与比亚迪先进的平台技术与三电科技完美融合,带来独特的电动驾驭乐趣。
6月4-8日,山东齐鲁国际车展奔驰展台将以多种车型的强大阵容,恭迎您的莅临!
■详询:
全新腾势X
GLB SUV
济南之星汽车服务有限公司
0531-55696666
济南市高新区凤凰路3969号
济南万帮之星汽车有限公司
0531-55735000
济南市槐荫区济齐路匡山汽车大世界中石油第七十加油站东临
济南广汇星顺汽车销售服务有限公司
0531-88816777
济南市槐荫区经十西路3333号
济南中升瑞星汽车销售服务有限公司
0531-87258888
济南经十西路9193号(中升汽车园)
济南利之星汽车有限公司
0531-81306666
济南市市中区二环西路11272号
山东永驰汽车销售服务有限公司
0531-88828666
济南市高新区世纪大道西首路北
孙立成在泉城路调研时指出,为“金街”环境整治腾出更多空间
科学合理设置非机动车停车区域
本报6月2日讯 6月1日晚上,省委常委、济南市委书记孙立成到泉城路调研商业街打造工作时强调,充分利用寸土寸金的空间,做好环境整治提升的“加减法”,进一步丰富整条商业街的业态,让人气聚拢起来、街区热闹起来、消费兴旺起来。
全长1500米的泉城路商业街是济南的“金街”,也是夜经济的重要承载地。孙立成自东往西步行察看沿街商铺经营、基础设施配套、环境营造、街区管理等情况。当看到街道两侧非机动车停车区占用大量宝贵空间资源时,孙立成说,抓好环境提升首先要科学合理利用空间资源。有关方面要统筹考虑、善做“减法”,科学合理设置非机动车停车区域,拆除有损形象的临时建筑,为“金街”环境整治提升腾出更多空间。要抓好沿街广告牌的规范和整治,打造通透清朗的街区视觉廊道。
孙立成一边察看泉城路两侧店铺的人流聚集情况,一边对沿街的商业业态和布局进行了解分析。他说,要想让泉城路真正热闹起来,就要做好培育丰富业态这篇文章。在做好非机动车停车空间“减法”的基础上,要注意把腾出的空间资源用在丰富业态上,通过设置咖啡座等体现时尚元素和文化特色的摊位来做好“加法”,吸引更多人气、人流聚集,让整个街区热闹起来。
治理占路非机动车,基层难点在哪
天天盯守和联合执法难成常态,专家建议系统设置停放区并健全管理体系
连日来,齐鲁晚报·齐鲁壹点关注了非机动车停放挤占人行道的问题。在实际治理中不少基层工作者表示,平时以城管和网格员日常巡查为主,有时候多部门联合执法,他们认为靠盯守不是长久之计。
文/片 齐鲁晚报·齐鲁壹点
记者 刘飞跃
平时有城管巡查
有时多部门联合执法
记者发现,5月下旬辛祝路和辛甸南路交叉口附近非机动车侵占人行道严重,但是到了6月1日再次探访时,发现情况好了很多。那么,非机动车停放到底如何管理?谁来管理?
2日,该路口所在的东风街道城管科相关工作人员说,现在城管队员都是按照道路进行巡查,如果发现了乱停乱放的问题,队员们就会及时摆正或者清理一下。
此前,记者在华能路南侧汇隆广场处看到,有些非机动车把人行道侵占了,但在汇隆广场内侧,车辆相对而言停放比较整齐。
汇隆广场所在的居委会相关工作人员告诉记者,去年居委会联合交警及城管部门专门对广场上非机动车停放进行了现场察看和协商。“协商了好几次,居委会协调广场管理方,一些非机动车可以在商场内停,公共道路上我们就没法协调了。”
该工作人员的说法也解释了为何汇隆广场内外非机动车停放秩序不同的原因。记者了解到,作为居委会一方来说,他们没有执法权,平时就是网格员进行巡查。对于那些不自觉的市民多数以劝导为主,而且网格员也兼职多项工作,整治非机动车停放秩序仅仅是其中一项。
“不可能天天盯守,不可能天天联合执法。市民骑车过来办业务,人家得停车,还有一些外卖小哥,人家临时停车你也不能直接清理。原因是没有明确的法律条文规定,非机动车该如何停放。”省城某街道基层管理人员直言不讳。
山东大学交通规划设计研究中心主任张汝华认为,有时候基层管理者为了应对检查而采取一些强制措施,都是临时性的,治理非机动车侵占人行道的问题需要有长效机制。
非机动车越来越多
给停放管理带来难度
在老城区,因为道路资源有限,非机动车道侵占人行道的现象比较严重。在山东商会大厦及大观园附近,不少本来就不宽的人行道几乎没有了空间。
记者了解到,前年市中区大观园街道专门对经五纬二商会大厦附近及大观园商区的电动车、自行车占用盲道、人行道乱停放等违法行为进行过专门整治。整治期间,工作人员对电动车乱停乱放行为当场纠正、劝阻,引导驾驶人将车辆停放在指定地点,安排专人蹲守并利用隔离墩拉起“警戒线”。
大观园街道办相关工作人员说,当时在大观园商场内还设置了非机动车停车区,也设置了警示牌,当时联合交警还清理了一部分非机动车,但是来此办事和消费的市民很多,电动车和自行车也越来越多。
不能一“堵”了之
2018年济南市规划局曾经针对老商埠出台了《商埠区街道设计导则》,要求底商的台阶不占用人行道,严格控制边界;集约利用道路空间,鼓励设置非机动车道,采取地面标识、标线、硬质隔离等提醒避让非机动车。
按照研究者的统计,城市居民出行目前步行、非机动车、小汽车以及公交车基本上是四等分,各自占到25%左右,小汽车要多一些,公交比例略低一些。“步行是主要出行方式,是第一位的,要保证的,这是理念、规划设计问题。”山东大学交通规划设计研究中心主任张汝华说,“以泉城路为例,按照空间利用的优先顺序,泉城路比较热闹,寸土寸金,先给人用,先给经营活动用。不过,还有个问题就是要处理好非机动车的停放问题。”
张汝华建议,政府应该科学合理地进行系统设置,明确各自职责,健全管理体系,还要尽可能建设非机动车停车点,更好地发挥共享单车的作用。“让出可供行走的通道,才能做到绿色交通为本。”
省城某街道办基层管理人员同时提到,市民对非机动车确实有需求,不能一“堵”了之。“基层做了一些治理的探索,非机动车停放管理虽然是难点,尤其是在老城区,但是随着社会发展,相信会慢慢解决的。”
用了八年自备井“浑水”啥时喝到头
申请并入市政供水卡在材料提交上,开发商承诺尽快办
家住福地街1099号汇中居沁东园的业主、“壹粉06346625”说,小区自2012年交房至今,八年时间一直使用租用的自备井,经常停水不说,水质还浑浊,眼看着周边小区一个个即将加入市政供水管网,自家小区却迟迟没消息,这“浑水”不知道啥时候才能喝到头。
齐鲁晚报·齐鲁壹点记者 王杰
自备井供水
常停水还有杂质
“我们小区一直用自备井供水,而且时常会停水。停水后再来水,有时要流一天多还是黄色的,根本不敢食用。”近日,福地街1099号汇中居沁东园的业主、“壹粉06346625”说。
“昨晚又停水,今早的自来水就特别黄。”6月1日,刘先生起床后打开水龙头,流出的黄水吓了他一跳。“你看看!”刘先生特意拍了照片,整桶水的颜色明显呈现土黄色,“用这水,冲马桶也得冲四五遍,更别提做饭、洗衣服了。”
1日中午,记者来到该小区。刘先生拧开了小区门口的一处水龙头,接了满满一脸盆水。尽管经过一上午的流通,但肉眼依然能清晰可见水色偏黄。
“这是从北面牧牛山蓄水池下来的水,杂质多、结垢厉害。”刘先生等业主说,自打入住以来,小区一直使用自备井供水,而小区频繁停水、水质经常变黄发浑。“现在我们是家家户户都用净水机,要么直接买纯净水用。”
“周边小区即将并网
偏偏为啥没我们?”
用水问题得不到妥善解决,汇中居沁东园的业主们近两年几乎月月都去小区物业、开发商处咨询,“他们都承诺,尽快帮我们接入市政自来水,可迟迟不见行动。”
“本以为有了希望,可开发商却没给我们报上。”汇中居沁东园分东西两个区,东区毗邻福地街,西区挨着洪山路。五月份,得知西区的自来水管网即将接入市政管网的消息,刘先生等业主们原本以为东区也会相应纳入改造计划,可并非如此。
“开发商此前一再承诺,已经向济南水务集团上报了材料,但事实并不是如此。”5月28日,刘先生等业主接到“小白热线”的回访电话,被告知相关系统中并未查询到小区接入市政管网的相关申请材料,“也就是说,开发商一直没上报”。
“为啥偏偏就没有我们小区?”刘先生等业主想不通,同在福地街的隆景苑南区、原山九号、伴山苑等小区也即将接入市政自来水网,为啥就剩下了自家小区没有动静。
开发商回应
将尽快上报申请材料
“我们已将相关情况上报至开发商。”6月1日,小区物业管理方——山东明英物业服务有限公司相关负责人介绍,汇中居沁东园小区东、西两个区目前均采用自备井供水,其中东区是小区开发商租用的自备井,西区则为小区开发商自己开发的自备井。
据介绍,小区用水接入市政管网相关申请材料和配套费用都需要开发商提供,那么,开发商什么态度呢?
随后,记者又来到小区开发商——济南汇中新实业有限公司办公处。“西区的相关材料已经上报水务集团,正在等待审批结果。”该负责人介绍,东区、西区并未有区别对待,而是因为东区一直未能成功递交相关的申请材料,“因为包括东区在内的整个福地街片区的供水管网等硬件设施尚不达标。”
当得知周边几个小区已在进行市政自来水改造后,该负责人表示,将落实相关情况,然后尽快将申请材料上报,并积极跟进此事。
办卡刚一个月理发店就关门
监管部门已介入调查
齐鲁晚报·齐鲁壹点记者 赵卓琪
“刚在理发店办的会员卡,一个月后竟然关门了。”近日,市民邵女士遇到了一件糟心事儿。今年的四月份,她在槐荫区阳光100美乐汇商场1楼的名汇造型办了一张1200元的会员卡,其间仅用过一次。然而等五月份邵女士再想去理发时,却发现店已经关门了。
四月办卡,五月“人去楼空”
谈起自己的经历,邵女士是既生气又后悔。“这家店在美乐汇一楼开的时间也不短了,考虑到离家近,我就办了一张会员卡。”
据邵女士回忆,她是在今年四月中旬办的卡,等到五月中旬她再带孩子去理发时就发现早已“人去楼空”。“这期间我就消费过一次,理发店就关门了,也没给任何通知。”邵女士说,之后她曾尝试电话联系商家,但是均无人接听,直到上周,理发店门口突然贴出通知,表示店面不再经营,会员可到马路对面的墨提斯护肤造型继续享受服务。
“结果我去墨提斯一问,还需要另外支付费用才能享受服务,并不能直接使用会员卡。”这让邵女士非常气愤,认为商家有欺骗、跑路的嫌疑。
监管部门:正与商家协调
1日上午,齐鲁晚报·齐鲁壹点记者来到名汇造型。此时这里已是大门紧闭,店内也已基本清空。在门口处,商家于5月26日贴出了一张通知,记者拨打通知下方留的电话,发现已停机。
随后,记者在美乐汇商场对面,找到了通知中提到的墨提斯护肤造型。工作人员表示,名汇造型并未转交卡金或支付任何服务费,与墨提斯护肤造型无合作关系。
随后记者联系到了济南市槐荫区市场监督管理局振兴街市场监督管理所相关工作人员。“目前我们正在与美乐汇商场、名汇造型积极协调处理当中,会尽快给予市民答复。”工作人员表示,“如果商家的确存在欺骗、跑路行为,我们将把其列入企业经营异常名录。”
开拓路燃气管线5日起开建
往来车辆注意行驶安全
本报6月2日讯(记者 张晓燕) 2日,齐鲁晚报·齐鲁壹点记者了解到,开拓路部分燃气管线将于5日重新建设,来往车辆请注意行驶安全。
据介绍,开拓路部分燃气管线一直用于输送焦炉煤气,内部腐蚀较严重,同时本区域内现有燃气管线输气能力已达到饱和状态,无法满足济南市未来发展需求,结合城市发展及规划布局,为保证济南市发展及城市居民、工商客户的用气需求,济南港华燃气决定新建开拓路(工业南路至花园路东延)中压燃气管线。
其中,项目起点为工业南路已建DN500中压天然气管道,终点与花园庄东路现状DN300中压天然气管道相接,主管线全长约942米。工期为:2020年6月5日至2020年7月15日,总工期40天。施工期间需临时封闭中间两幅机动车道,车辆分流至两侧机动车道,人行道正常通行。施工在夜间进行,施工时间为晚10点至次日凌晨5点,早上6点之前恢复交通。
“施工期间过往车辆及行人按照道路指示标识及施工现场交通疏导人员指挥行驶,注意行驶安全。”济南港华燃气相关负责人提醒。
历阳湖环湖步道月底投用
拱桥完成吊装,届时亲水休闲将添好去处
本报6月2日讯(记者 于悦 实习生 董一扬) 近日,位于历阳大街北侧的历阳湖环湖步道工程有了突破性进展,工程重要节点——拱桥完成了吊装,自此整个工程实现了桥梁与景观步道的连通,到6月底左右整体工程将全部完工,届时济南市民又多一处亲水休闲的打卡地。
5月30日,记者在桥梁吊装的施工现场看到,周边已经开始实施交通管控,有工作人员在路口疏导交通。一切准备妥当后,三台吊车共同作业将淡绿色的桥梁下拱吊起,平稳地坐落在承台上。在多个部门的配合下,桥梁下拱吊装工作顺利完成。
据了解,景观拱桥长45.8米、宽4.5米,上部为钢桁拱桥,下部结构桥台为钢筋混凝土。在吊装之前拱桥两侧承台已经完成了第一次混凝土浇筑,桥梁下拱钢支架已经安装完成。
市中区水务局相关负责人告诉记者,为了保证施工顺利进行,在吊装之前他们进行了充分的准备工作,并组织了专项论证会,在水务局、桥梁设计专家、施工队伍代表的共同参与下,对施工中存在的重难点问题进行汇总讨论。同时,针对施工期间的交通问题,与交管部门的人员进行实地考察后制订出一套详细的交通组织方案。
据了解,历阳湖环湖步道共分为两段,一段位于湖边,一段位于金鸡岭山林中。在工作人员的带领下,记者进入了正在施工的林间步道。林间步道置身于山林之间,两旁是高大的树木,白色的石板与青色的树影相映成趣。据介绍,林间步道路基已基本完成,完工后将实现长约550米、净宽2米的景观步道。除此之外,还有两座景观平台正在建设中。
历阳湖湖面约4万平方米,蓄水9万立方米,2014年3月建成,是济南泉水补源的重要组成部分。历阳湖环湖步道工程于2019年底完成招标,因疫情影响,施工单位于3月9日开始进场施工。预计到6月底整体工程将全部完工,届时济南市民又多一处亲水休闲打卡地。
慈心仁术是习惯 微创成就典范
——记山东省立医院西院妇科大咖刘国红教授
在山东省立医院西院妇产科手术室门外,广受社会各界关注的智残母亲王宝珍的家属来回踱着步,紧张等待着。“滴滴滴”红灯闪烁,手术门骤然开启,一个略显消瘦的女性面带倦容快步走向王宝珍家属,兴奋地说:“手术做完了,瘤子是良性的。手术非常成功。”听到手术结果,家属绷紧的面容瞬间释放,两行泪潸然流下。
这个被成功切除的子宫+肌瘤重达966g,是一项个人手术生涯中单孔腹腔镜下切除子宫的“新纪录”。而执行这项手术纪录的人就是山东省立医院西院妇产科主任、妇科主任、硕士生导师——刘国红教授。
齐鲁晚报·齐鲁壹点
记 者 王小蒙
实习生 龚含章 谢婧雯
倔强邻家妹
成妇科“拼命三郎”
1986年刘国红考上了潍坊医学院,成了众邻居眼里的金凤凰。本科毕业后分配到山东铝业公司医院工作,她踏实肯干,很快成为科里的技术骨干。工作之余,她没有停止学习与探索,1999年在齐鲁医院进修并考上青岛医学院硕士研究生。2003年考取山东大学妇产科学的博士研究生。2006年博士毕业后应聘烟台毓璜顶医院。在这里她不分昼夜地学习,微创手术技艺精进。
2014年滨州医学院烟台附属医院在烟台牟平区成立,刘国红作为医院引进人才使妇科的微创手术蓬勃发展,开展了所有腹腔镜四级手术,科室微创手术率达80%。2017年妇科腹腔镜手术经历由多孔向单孔发展的阶段,使得腹腔镜手术更微创,但也要求手术医生有更娴熟的腹腔镜手术技巧。始终秉承患者利益至上的刘国红,又一次在技术更迭中站在了前列。她凭借精湛的技艺,不断拓展单孔腹腔镜手术的范围:从巨大卵巢巧克力囊肿到多发子宫肌瘤剥除术,到大子宫切除术……越来越多的患者享受到她的单孔腹腔镜手术带来的便利。
2019年11月,刘国红作为引进专家来到山东省立医院西院,并被任命为妇产科主任、妇科主任。
超大子宫
3小时手术上演生死时速
虽然刘国红在腔镜手术方面经验已很丰富,在面对广受社会各界关注的智残母亲王宝珍时,她还是感到有些“棘手”。检查结果显示,王宝珍宫腔内有一个巨大的黏膜下肌瘤,导致她的下腹部隆起,像怀孕五个月的模样。而快速生长的肌瘤造成严重的月经失血,患者呈现重度贫血症状,最重时患者血色素只有35g/L,心慌、乏力,连说话都是有气无力的。
因为肌瘤过于巨大,王宝珍之前曾在多家医院就诊,均建议她开腹手术将子宫切除。然而,开腹手术创伤大出血多,对于贫血、免疫力低下并有智力障碍的王宝珍来说,是否能顺利完成手术,以及术后十几公分的伤口愈合,术后面临的感染风险管控等都是难题。
可是王宝珍的身体已不能再等待,术前检查还发现王宝珍的宫颈还有癌前病变存在,经与患者家属沟通,在纠正贫血后,刘国红教授决定为其进行单孔腹腔镜微创手术,可以最大限度地减少她的手术创伤和出血量。超大子宫的单孔腹腔镜微创切除术,对医生的技术和水平,提出了非常高要求。“如果是进行普通腹腔镜手术,器械根本无法绕过这么大的子宫切断对侧子宫血管,手术很难完成。单孔腹腔镜手术,手术器械从脐部正中进入,处理两侧子宫血管的难度降低,最终顺利完成了手术。”
手术进行了三个小时,切除的巨大肌瘤和病变子宫,总重达到966克。刘教授说这是她做过的单孔腹腔镜下切除的重量最大的一个子宫,再次创下个人手术生涯的新纪录。手术只在患者脐部留下三公分的伤口,由于创伤小,出血量少,伤口愈合好,术后恢复迅速,第四天一早王宝珍就顺利出院了。
10年解一“难”
宫颈机能不全者终得一子
一位知名妇科教授为“解”一个普通患者病情之难,可以花费10年之久,在当今这个浮躁的时代可谓闻所未闻。2009年,经历了3年内4次流产史的曲晓暖首次见到刘国红教授时,印象极其深刻。连续大月份流产史引起了刘教授的高度重视,她第一次了解到自己的病因原来是宫颈机能不全的“怪”病,发病率在女性只有1%,像曲晓暖这种重度宫颈机能不全患者更是少见,刘教授并没有因为这种高难度病例而区别对待,反而是耐心讲解,无微不至的关怀。由于无法避免的手术风险,6年间2次环扎术都未能保住孩子,这更加令这个家庭几近崩溃的心理雪上加霜。
曲晓暖他们已准备放弃了,因为他们再也承受不了任何打击了。刘教授鼓励他们要相信科学,医疗科技的发展和进步一定会带来新的希望。必须排除一切不利因素,并配合进行相关治疗。随后刘教授再次为她进行了巧克力囊肿和子宫腺肌症合并子宫肌瘤的手术治疗。并通过电话不间断叮嘱曲晓暖调养好身体,放松心情。这一跟踪服务就是10年。而电话的另一端刘教授并未放弃,利用不多的空闲时间查阅文献,并利用学术交流机会与同行讨论这种少见病例的技术处理方式。
2016年7月的一个下午,当刘国红教授兴奋地电话告知曲晓暖,有一种腹腔镜下宫颈环扎的手术方式,治疗效果明显好于经阴环扎,具有显著优势和很高的成功率时。放下电话的曲晓暖半响没说话,偷偷跑到空旷的田野里嚎啕大哭,这个脆弱的家庭重新燃起了新的希望。
2017年,经过漫长的7个小时的等待,曲晓暖被缓缓推出手术间,各种孕前不利因素都顺利的排除,并成功进行了宫颈慕斯带环扎术。2018年8月曲晓暖再次怀孕,并于2019年6月4日在烟台附院顺利诞下一名男婴。曲晓暖说这是一个长达10年的医患情感故事,这是刘教授和患者一个长达10年来的苦尽甘来的喜悦。“这是一个医生的幸福,是医患之间的信任才有今天这么美好的结局,在漫长的过程中,我要做的就是竭尽我的智慧和技术帮助他们要到一个可爱的孩子,今天我们一起成功了。”刘教授动情地说。
微创是理念
慈心是习惯
每一次手术之前,刘国红团队往往会花很大精力充分完善术前评估,并与患者和家属充分沟通,为患者量身定制个体化手术方案。“应该做腹腔镜,咱就做腹腔镜,指南要求或病情需要开腹手术,那么我们就做一个开腹规范的手术,作为医生我们要尽最大可能减少每一个患者的手术创伤。”
在刘国红看来,微创不仅仅是一种手术方式,也并不是只有小切口手术才是微创手术,真正的微创是一种科学理念,不仅针对手术刀口局部的创伤,还包括手术中的无瘤原则、无菌原则、手术器械的正确应用减少副损伤、术后正确的康复指导等等。
刘国红说,作为医生,要不断学习,不断探索,让自己的知识紧跟本领域医学发展的前沿,“我们要有能力为患者提供专业的、高水平的治疗。面对不同的患者,还要有好的沟通能力,多为病人着想,从病人的角度出发,让病人充分了解你的治疗理念和方法,从而积极配合并参与到治疗过程中。患者的配合,也是治疗的一个重要组成部分”。作为医生,刘国红用自己的精湛技术和温暖心灵为患者铺就健康之路;作为妇产科主任,她正用自己的言传身教带领科室大步向前。
名医推荐
刘国红·主任医师,教授,省立西院妇产科主任、硕士生导师
专业方向:妇科肿瘤。擅长各种妇科常见病、多发病的规范化诊断及治疗。对妇科疑难杂症有较强的处理能力。擅长妇科各种良恶性肿瘤的腹腔镜手术治疗,如腹腔镜下多发子宫肌瘤剥除、腹腔镜下子宫全切、腹腔镜下卵巢肿瘤剥除、腹腔镜下子宫内膜癌分期手术、腹腔镜下卵巢癌分期手术、腹腔镜下宫颈癌根治术、腹腔镜下盆底功能障碍手术等。特别是近几年开展了单孔腹腔镜手术,已形成科室微创手术特色,深受患者欢迎。熟练进行宫腔镜及阴道镜的手术操作。熟悉妇科恶性肿瘤的化疗、放疗等综合治疗。1998年至齐鲁医院妇产科进修一年,2010年至中国医科院北京协和医科大学肿瘤医院进修半年,对妇科恶性肿瘤的综合治疗有较深入的认识。在国内外杂志发表论文10余篇,其中SCI收录论著一篇。
关注山东省立医院西院
妇产科微信公众号
了解更多女性健康知识
今日本报B叠4版 本版编辑:李璇 组版:郑文
“齐鲁巾帼美 出彩新时代”全国漫画大赛征稿啦
8项创作选题展现水城巾帼风采
本报聊城6月2日讯(记者 李璇) 2020年是中华人民共和国成立71周年,也是全面建成小康社会、实现“十三五”规划收官之年。为充分展现近年来全省妇女事业的发展,展现广大女性的巾帼风采,由山东省妇女联合会、山东省漫画家协会主办,中共聊城市委宣传部、聊城市妇女联合会、聊城市妇女儿童活动中心、聊城市漫画家协会承办,聊城市文化馆协办的“齐鲁巾帼美 出彩新时代”全国漫画大赛即日起开始征稿,大赛产生的优秀作品将作为庆祝国庆的系列活动之一,在十一前举办展览进行展出。
参赛作品创作选题包括:巾帼战“疫”篇。反映在疫情防控和复工复产中聊城市各级妇联、广大妇女积极作为的作品。
巾帼建功篇。反映乡村振兴巾帼行动、巾帼脱贫行动、巾帼创业创新行动等方面工作的作品。巾帼维权篇。反映促进男女平等、反对家庭暴力、推动源头治理、社会化维权、婚姻家庭辅导、家事纠纷化解等方面工作的作品。文明创建篇。反映巾帼志愿服务、家庭家风家教、美丽庭院创建等方面工作的作品。家庭助廉篇。反映家庭成员弘扬和践行社会主义核心价值观,涵养清正廉洁的政治生态,营造崇德尚廉、崇廉拒腐的良好社会风尚的作品。巾帼关爱篇。“两癌”筛查、贫困妇女救助、为妇女儿童办实事、关爱、救助留守困境儿童等方面工作的作品。巾帼成才篇。培养优秀女性人才、开展技能培训、搭建各类平台、争取各项政策等方面工作的作品。组织建设篇。妇女之家、妇女儿童家园、妇女微家、两新组织妇联、妇委会建设等工作的作品。
参赛作品要求,主题鲜明,画面生动,构思巧妙,具有较高的思想性和艺术性,作品风格不限,创作手法不限。参赛作品必须为原创作品。严禁使用高仿、抄袭、复制他人作品,未侵犯他人的任何专利、著作权、商标权及其他知识产权。
征稿时间为2020年6月至2020年7月30日。大赛设一等奖1名,奖金5000元及获奖证书;二等奖3名,奖金3000元及获奖证书;三等奖6名,奖金1000元及获奖证书;优秀奖80名,奖金300元及获奖证书。优秀组织奖若干,颁发证书或奖牌。举办“齐鲁巾帼美 出彩新时代”优秀漫画作品展。优秀参赛作品结集出版。
组委会将成立大赛评审委员会,评委会成员由漫画家和相关专家学者构成,评委会成员作品不参加评奖。
作品报送方式:参赛电子版作品为JPG格式,分辨率不低于300dpi,图片不小于1MB,不大于5MB,文件名统一为“姓名+作品名---水城巾帼美作品征集”,邮件中填写作品题目、作者姓名(以身份证为准)、年龄、单位、详细联系地址和通讯方式,无相关信息将被视为无效投稿。参赛纸质作品尺寸50公分以下(水墨作品四尺斗方以下),横竖不限,宣纸由组委会统一装裱。
投稿邮箱:scjgmmhds@163.com
邮寄地址:山东省聊城市柳园南路20号妇女儿童活动中心院内
邮政编码:252000
联系人:赵老师
联系电话:0635-2112016 15506355157
“聊!动心弦——2020年聊城人游聊城”活动启动
一卡在手游遍全市所有景区景点
本报聊城6月2日讯(记者 谢晓丽 通讯员 李宁) 为整合全市文化和旅游资源,活跃文化和旅游市场,尽快恢复聊城市文化和旅游市场活力,5月29日,“聊城人 游聊城”全市文化旅游资源整合工作座谈会召开。记者从会议上了解到,为激发群众旅游发展潜力,自2020年6月至12月,聊城将开展“聊!动心弦——2020年聊城人游聊城”活动。全市统筹、上下联动,整合资源、集成政策,集中发力,推出一批具有当地特色的旅游产品和活动,提高市民出行性价比。
主要内容包括,鼓励节庆假日旅游,充分发挥假期文化和旅游节庆活动丰富的优势,切实扩大节庆影响,实行优惠办节庆、开放办节庆、互动办节庆。鼓励各县(市、区)旅游企业举办富有特色的节庆活动,积极组织引导全市群众参与本地以及临近地区的文化和旅游节庆活动。
积极开发夜游业态。加强夜间旅游景区打造,延长重点景区的闭园时间,推动夜间开放,支持景区通过夜景打造、旅游演艺、特色活动、商街夜市等形式丰富夜间游览内容。具备条件地区要依托主要景区、主题公园、特色街区、文体广场等,整合人文和自然景观资源,优化夜景布置,开发富有创意的夜间旅游产品,开展灯光秀、音乐节、露营节等多种形式的夜间旅游活动。
实施一卡通游聊城。推出聊城“旅游交通一卡通”,统筹全市所有收费景区景点,实现“一次购买,全年不限次入园”、“一部手机,畅游聊城”,打通全市各区县间的旅游通道。鼓励、支持市内各县(市、区)相互结对,互为客源地和目的地、外地游客互相享受本地市民待遇,实行门票互通或优惠政策共同制定、共同享有,促进县域之间在更大范围内开展旅游互动交流。
鼓励支持有条件的县(市、区)举办现场推介活动。组织各县(市、区)在现场推介活动中开展“聊!表寸心”--聊城旅游产品(文创产品)特卖会,引导参加特卖活动所涉及的景区、酒店、旅行社等单位让利营销,优惠政策对本地游客先行实施,提升本地旅游的吸引力。
支持非遗主题旅游等新旅游业态的发展。结合六月份“文化和自然遗产日”鼓励各类旅游景区等开展非遗小吃、非遗演艺、非遗文创旅游商品等进驻,开展展演活动,鼓励和支持非遗项目、传承人走进景区,进行展示体验活动。鼓励旅游与体育运动赛事相结合。各县(市、区)文化和旅游部门与当地教体部门协作联动,共同组织实施丰富多样的群众性体育旅游活动,打造一批“体育+旅游”精品路线,包装一批契合群众需求的“聊城人游聊城·全民健康行”产品。
同时,聊城还将组织实施聊城市民最喜欢的网红打卡地评选活动,评选市民最喜欢的网红打卡地。加强线上文化旅游消费内容建设,开展线下营销活动,倡导旅游景区、文化产业园区、商业综合体等文化旅游单位举办促销活动,发放“活动消费券”,提升文化旅游消费的吸引力。
聊城市生态环境局举行2020年首场新闻发布会
前4月,环境空气质量综合指数同比改善18.8%
齐鲁晚报·齐鲁壹点 记者 李军
6月2日上午,聊城市生态环境局举行2020年第一场新闻发布会,市生态环境局副局长吴广海介绍全市环境质量状况和重点工作开展情况等。并公布“水城最美环保人”评选活动结果,向获奖者颁发纪念奖杯。
四个省控以上重点河流
断面消除劣V类水体
环境空气质量方面,2019年,全市环境空气质量综合指数及PM2.5、PM10、O3年均值浓度同比改善率在全省分别排名第2名、第2名、第1名、第2名,SO2、NO2年均值浓度均达到了国家环境空气质量一级标准。2020年1-4月份,聊城市综合指数、PM2.5、PM10、SO2、NO2、CO、O3分别为5.87、68微克/立方米、113微克/立方米、12微克/立方米、33微克/立方米、1.9毫克/立方米、131微克/立方米,同比分别改善18.8%、17.1%、24.2%、33.3%、25.0%、0.0%、7.1%,改善率分别居全省第9、11、9、5、6、13、2位;空气优良天数78天,同比增加14天;重污染天数13天,同比减少3天。
水环境质量方面,2020年1-4月份,四个省控以上重点河流断面年均值均消除了劣V类水体,其中高唐北湖达到III类水体,阶段性完成了省政府确定的考核目标。但徒骇河前油坊、卫运河油坊桥、马颊河董姑桥个别月份出现超标情况,水质稳定达标和持续改善任务仍然艰巨。
土壤环境质量方面,聊城市完成了5个污染地块土壤修复工作,开展911个农用地污染状况详查点位布设与核实,进行284家重点行业企业用地土壤调查信息采集工作,全市66家土壤重点监管企业建立隐患排查制度并开展自行监测。
全市非道路移动机械
已基本完成登记工作
大气污染防治方面,由相关市直部门牵头实施工业企业综合治理及重污染天气应急管控、燃煤污染防治、机动车污染防治等十大专项行动。
市生态环境局积极做好工业企业综合治理工作,开展挥发性有机物深度治理,目前重点行业1556家涉挥发性有机物企业除31家企业因长期停产或治理设施施工时间较长未完成治理任务外,其余1525家已全部完成整治。省挥发性有机物系统平台共填报录入企业1572家,居全省第二位。建立了54家重点工业企业无组织排放整治清单,目前53家已经完成整治。对14家淘汰类炉窑企业的28台炉窑已经全部淘汰完毕。公布了第一批4家重污染天气应急绿色标杆企业。深入推进非道路移动机械污染防治专项行动,截至5月28日,全市共申报登记非道路移动机械11372台,生成环保编码11218台,其中已喷码5624台,已超额完成1万台的编码登记任务,全市非道路移动机械已基本完成登记工作。
百名干部定点帮扶
助力企业复工复产
在水污染防治方面,市政府印发了《聊城市打好碧水保卫战2020年行动计划》,强化对工业企业的监督管理,保障饮用水安全,提升城镇生活污水、农村生活污水治理水平,统筹抓好河道综合治理。建立了水质考核生态赔偿机制,每月通报全市重点河流断面水质超标情况,对于重点河流断面超标的征收生态赔偿金,传导压力,推动重点河流断面水质持续改善。
在土壤污染防治方面,严格落实“土十条”要求,开展污染土壤治理和修复,强化再开发利用地块的准入管理,切实做好建设用地安全利用工作。全面推进重点行业企业用地调查,已完成全市35个地块布点方案专家论证及12个重点行业企业地块初步采样工作。
在开展企业复工复产帮扶指导方面,组织开展了“百名干部定点帮扶”活动,帮助企业解决环评、验收、污染治理、排污许可等方面的困难和问题。对省、市重点项目,提前介入,及时向省生态环境厅汇报、沟通,通过预支“十四五”排放总量等方式,推进项目早日开工建设。对于轻微环境违法行为,在帮扶中予以指出并指导整改,解决环境执法与服务脱节问题,赢得了企业的广泛好评。
答对六道题抽现金红包,聊城人快参与!
聊城市疾控中心送健康福利啦
本报聊城6月2日讯(记者 孙霞) 烟草中的成瘾性物质主要是什么( )A、尼古丁B、焦油C、一氧化碳?D、苯并芘。聊城市民注意啦,您只需答对6道题,就有机会领取现金红包一份。还等什么,赶快关注聊城市疾病预防控制中心官方微信(lccdc536279820),在微信平台菜单栏中点击“有奖竞答”链接答题吧。
齐鲁晚报·齐鲁壹点记者了解到,由聊城市疾控中心主办的聊城市“控烟知识知多少”有奖竞答活动于5月30日中午12时上线。本次“控烟知识知多少”有奖竞答活动时间为2020年5月30日—6月10日。
有奖竞答活动题库、题型分为:单选题(40道)和判断题(20道)。答题过程中随机抽取6道题,全部答对有机会获得现金红包。活动规则为:活动参与者每次随机从题库中抽取6道题,全部答对者有机会抽取红包;活动期间,每个微信用户每天答题有一次抽奖机会。
控烟对健康至关重要,控烟与你我息息相关,吸烟有害健康人人都知道,那么吸烟到底有哪些危害呢?2020年5月31日是第33个世界无烟日,今年世界无烟日的主题为“保护青少年远离传统烟草产品和电子烟”,为传播烟草危害健康知识,加强烟草危害和控烟政策宣传,维护人民群众健康,打造健康聊城,聊城市疾病预防控制中心以世界无烟日为契机,结合《聊城市文明行为促进条例》,开展“控烟知识知多少”有奖竞答活动,普及控烟知识,倡导健康生活,鼓励公众拒绝吸烟、远离二手烟,全面推动聊城市控烟工作的深入开展。
参与活动请关注聊城市疾病预防控制中心官方微信
切实发挥好“两代表一委员”在打赢脱贫攻坚战中的作用,根据市、县要求,东阿县铜城街道对照《东阿县脱贫攻坚自查评估工作方案》确定的目标任务,开展“两代表一委员”评价脱贫攻坚工作,全面系统地调研核查和评价脱贫攻坚成效。
街道采取座谈交流、问卷调查的方式,征求对脱贫攻坚工作的意见建议。通过入户核实、现场查看、查阅资料等形式,对政策落实情况及脱贫攻坚工作成效进行评估。铜城街道积极引导“两代表一委员”
投身脱贫攻坚“主战场”,把“两代表一委员”评价作为进一步提升、巩固脱贫成效的机会,周密部署、细化措施、压实责任、全面推进,接下来将对评估验收组发现的问题及建议,逐项逐条整改提升,全力以赴坚决打好打赢脱贫攻坚收官之战。
(许银环)
“两代表一委员”联合“把脉会诊” 脱贫攻坚工作
陈飞,因小时候患有婴儿瘫,导致下肢肢体残疾三级。她没有自暴自弃,自2017年嫁到东阿县刘集镇任庄村,始终秉承着中国的优良传统,孝敬公婆,爱护子女,用残疾身体撑起了一个家。
公公听力二级残疾,婆婆智力低下,因此丈夫家被上报纳入了建档立卡贫困户。为了让丈夫外出打工挣钱养家,她自嫁进门,便承担起照顾公婆的任务。
随着孩子逐渐长大一点,陈飞又主动向村委会申请,找到了一份照顾贫困家庭的公益岗位,每天打扫村大队部里的卫生,这样既能回报村里对她家的照顾,家里也多了一份生活来源。陈飞的心里一直有一个愿望,早日脱离贫困,不给政府添负担。
身残志坚是陈飞最好的写照,2019年她被评为村里的“好媳妇”,荣登四德榜,她的平凡事迹也在刘集镇广泛传颂。 (许银环)
东阿县刘集镇: 身残志坚的“好媳妇”陈飞
答对六道题抽现金红包,聊城人快参与!
聊城市疾控中心送健康福利啦

本报聊城6月2日讯(记者 孙霞) 烟草中的成瘾性物质主要是什么( )A、尼古丁B、焦油C、一氧化碳?D、苯并芘。聊城市民注意啦,您只需答对6道题,就有机会领取现金红包一份。还等什么,赶快关注聊城市疾病预防控制中心官方微信(lccdc536279820),在微信平台菜单栏中点击“有奖竞答”链接答题吧。
齐鲁晚报·齐鲁壹点记者了解到,由聊城市疾控中心主办的聊城市“控烟知识知多少”有奖竞答活动于5月30日中午12时上线。本次“控烟知识知多少”有奖竞答活动时间为2020年5月30日—6月10日。
有奖竞答活动题库、题型分为:单选题(40道)和判断题(20道)。答题过程中随机抽取6道题,全部答对有机会获得现金红包。活动规则为:活动参与者每次随机从题库中抽取6道题,全部答对者有机会抽取红包;活动期间,每个微信用户每天答题有一次抽奖机会。
控烟对健康至关重要,控烟与你我息息相关,吸烟有害健康人人都知道,那么吸烟到底有哪些危害呢?2020年5月31日是第33个世界无烟日,今年世界无烟日的主题为“保护青少年远离传统烟草产品和电子烟”,为传播烟草危害健康知识,加强烟草危害和控烟政策宣传,维护人民群众健康,打造健康聊城,聊城市疾病预防控制中心以世界无烟日为契机,结合《聊城市文明行为促进条例》,开展“控烟知识知多少”有奖竞答活动,普及控烟知识,倡导健康生活,鼓励公众拒绝吸烟、远离二手烟,全面推动聊城市控烟工作的深入开展。
参与活动请关注聊城市疾病预防控制中心官方微信
茌平区乐平铺镇对区脱贫攻坚大调研问题整改促进会议召开
6月1日,聊城市茌平区乐平铺镇针对区脱贫攻坚大调研问题整改促进会议召开。通报区脱贫攻坚大调研发现的问题清单,安排部署整改工作任务。会议对档案袋所装资料及危房改造、扶贫日志、扶贫政策等进行解读和剖析,具有很强的针对性和实用性,督促帮扶责任人对扶贫政策的学习,提高扶贫业务能力,努力培养造就一支懂扶贫、会帮扶、作风硬的扶贫干部队伍。
会议强调,要提高思想认识,站在讲政治、讲大局的高度,深化问题意识;要聚焦问题清单,强化整改措施,落实帮扶责任,确保整改到位;要加强督查,建立健全脱贫攻坚工作督查长效机制,加大工作问责力度,抓实、抓细脱贫攻坚工作。
茌平区乐平铺镇积极改善贫困残疾人生活质量
近日,茌平区乐平铺镇开展免费为贫困残疾人发放辅助器具活动,共为全镇59名贫困残疾人发放辅助器具。为做好发放工作,该镇根据各村摸底上报情况,并结合符合条件的家庭上报资料申请辅助器具,真正帮助残疾人解决生活中的不便和困难。据了解,此次免费为59名贫困残疾人发放了坐便椅、四脚杖、助听器、护理床、定位呼叫手环、轮椅等辅助器具。“残疾人作为社会的弱势群体,应该得到帮助,此次发放的器具都是他们生活所必须用品,下一步我们会努力争取更多的辅助器具,多为残疾人谋福祉,这是我们义不容辞的责任。”乐平铺镇副镇长王俊静说道。
茌平区乐平铺镇召开决战决胜脱贫攻坚工作推进会
5月7日下午,山东省茌平区乐平铺镇召开决战决胜脱贫攻坚工作推进会。
会议要求各帮扶责任人深入贫困户家中,依据“双提升”的要求,按照“缺什么买什么的原则”,做到量力而行,提升他们的生活质量和水平。要强化责任意识,针对每次检查反馈的问题清单,举一反三,抓好整改落实。同时,对扶贫日志的书写及扶贫档案中易出现问题进行了具体安排部署。
临清市大辛庄街道“三步走”推进脱贫攻坚自查评估工作
近日,临清大辛庄街道集中开展脱贫攻坚自查评估工作,凝聚攻坚合力,为如期高质量打赢脱贫攻坚战夯实基础。
精心组织,全方位谋划部署。配备扶贫办业务指导员进行全程跟踪服务,确保扶贫工作开展措施落实到位、工作稳步推进。
深入走访,多角度把脉问诊。对照业务手册逐户逐项细核实,重点排查“两不愁三保障”落实情况、资金补贴发放情况、饮水安全保障情况等,做到自查评估全覆盖。
靶向推进,立体化整改落实。针对排查问题,召集相关业务部门集中开会、集中交办,上下联动,逐项整改,确保问题件件有落实,条条有回音。
(刘克硕)
莘县妹冢镇巾帼齐行动,为贫困儿童送温暖
在六一儿童节这天,莘县妹冢镇党委书记孔红霞安排全镇女机关干部当一次“爱心妈妈”,在管区领导的带领下按村庄组成志愿小组分别为全镇26名贫困儿童送去火腿、面包等节日礼物。
扶贫先扶志,志愿者们每到一户便会同孩子进行亲切交谈,询问他们最近的学习情况,叮嘱因疫情延期开学的小学生在家也要好好学习,鼓励他们要用学习为自己创造机会、改变命运,并为他们送去六一儿童节快乐的节日祝福,让节日的美好祝福和社会的无私关爱温润贫困学生心田,促其快乐学习生活、健康茁壮成长。
开展此次庆“六一”关爱贫困儿童送温暖的志愿活动,不仅为贫困孩子们带去节日礼物,借此机会带给他们精神上的关爱和鼓舞,让他们切实感受到社会大家庭的温暖,并在社会大家庭的关爱帮助下自强不息、奋发向上、努力成才,希望他们将来也能够心存感恩、回报社会,而且对“爱心妈妈”们也是一次历练的机会,让年轻的女同志看到贫困家庭的不易,从而更加珍惜自己的工作和生活。
(秦晓丹)
阳谷县残联开展建档立卡贫困残疾人遍访活动
阳谷县残联结合脱贫攻坚活动组织开展建档立卡残疾人遍访活动,工作人员对全县5219名持证建档立卡贫困残疾人逐一入户,逐人见面,实地走访,摸清状况,分类施策。每到一户,工作人员都会仔细询问惠残政策发放清单发放,精准康复服务,贫困重度残疾人无障碍等各项惠残政策落实情况,切实全面掌握建档立卡贫困残疾人的实际情况。同时,在入户走访过程中,工作人员又对救助政策进行了广泛宣传,向残疾群众详细讲解惠残助残政策,让他们足不出户就能知晓了解国家最新残疾人政策,对残疾人政策进行全面宣传,让残疾人对国家政策进行全面了解。通过此次大遍访活动,进一步和建档立卡残疾人“聊家常”,“交朋友”,增强了同残疾人朋友的感情,缩短了与残疾人朋友的距离,提升了工作服务质量,进一步筑牢全县残疾人脱贫攻坚工作。
阳谷全力做好贫困户入户走访工作
聊城市阳谷县金斗营镇驻村帮扶第一书记、驻村帮扶干部等在入户走访调研中,不走形式,坚决把脱贫攻坚政策落到实处。
镇第一书记、驻村帮扶干部等在对贫困户走访中严格走访调研范围、内容和“六不”(不吃饭、不乱问、不表态、不盲从、不急躁、不参和)工作要求。先后入户走访党员、群众1131户(次),慰问党员及贫困户539户(次),召开各种座谈会150余次,发放调查问卷500余份,不仅摸清了各村的整体情况,也与群众拉近了距离、增进了感情,亮起来“第一书记”品牌。同时各村制定《两年帮扶工作规划》,得到广大村民的一致认可。
(武琦 周长忠)
阳谷密切联系贫困户提升贫困户生活质量
聊城市阳谷县寿张镇按照市、县关于脱贫攻坚双提升活动要求,强化措施,扎实开展脱贫攻坚双提升活动。
为深入推进脱贫攻坚工作,改善贫困户的生活环境,该镇党委、政府充分发动党员、积极分子、群众代表,分组帮包到户,对贫困户家庭居室庭院进行彻底清理,清扫贫困家庭房前屋后、庭院和室内卫生,清理积存垃圾和杂物,清除道路杂草,确保院内外干净整洁,物品摆放规范。在行动中,镇驻村帮扶与贫困户亲切交流,引导贫困户养成文明健康的生活习惯,提升贫困户生活质量,密切党和政府与贫困户的关系。 (张中良)
东阿县刘集镇:身残志坚的“好媳妇”陈飞
陈飞,因小时候患有婴儿瘫,导致下肢肢体残疾三级。她没有自暴自弃,自2017年嫁到东阿县刘集镇任庄村,始终秉承着中国的优良传统,孝敬公婆,爱护子女,用残疾身体撑起了一个家。
公公听力二级残疾,婆婆智力低下,因此丈夫家被上报纳入了建档立卡贫困户。为了让丈夫外出打工挣钱养家,她自嫁进门,便承担起照顾公婆的任务。
随着孩子逐渐长大一点,陈飞又主动向村委会申请,找到了一份照顾贫困家庭的公益岗位,每天打扫村大队部里的卫生,这样既能回报村里对她家的照顾,家里也多了一份生活来源。陈飞的心里一直有一个愿望,早日脱离贫困,不给政府添负担。
身残志坚是陈飞最好的写照,2019年她被评为村里的“好媳妇”,荣登四德榜,她的平凡事迹也在刘集镇广泛传颂。 (许银环)
“两代表一委员”联合“把脉会诊”脱贫攻坚工作
切实发挥好“两代表一委员”在打赢脱贫攻坚战中的作用,根据市、县要求,东阿县铜城街道对照《东阿县脱贫攻坚自查评估工作方案》确定的目标任务,开展“两代表一委员”评价脱贫攻坚工作,全面系统地调研核查和评价脱贫攻坚成效。
街道采取座谈交流、问卷调查的方式,征求对脱贫攻坚工作的意见建议。通过入户核实、现场查看、查阅资料等形式,对政策落实情况及脱贫攻坚工作成效进行评估。铜城街道积极引导“两代表一委员”
投身脱贫攻坚“主战场”,把“两代表一委员”评价作为进一步提升、巩固脱贫成效的机会,周密部署、细化措施、压实责任、全面推进,接下来将对评估验收组发现的问题及建议,逐项逐条整改提升,全力以赴坚决打好打赢脱贫攻坚收官之战。
(许银环)
东阿发布全省首个“楼长制”管理标准
有效整合小区队伍资源,实现城市基层治理向小区楼宇延伸
本报聊城6月2日讯(记者 张超 通讯员 侯昌明) 5月28日,东阿县召开《城市社区楼长管理与服务规范》管理标准(G/DEZZ001-2020)新闻发布会,对“楼长”工作内容、服务质量、服务评价等给出了明确规定,楼长制管理标准的发布是标准化与社区治理的有机融合,是推进社区治理改革的重要成果,在全省尚属首例,该标准的实施将推动全县社区管理迈上一个新的台阶。
“东阿县《城市社区楼长管理与服务规范》管理标准从专业的角度、系统的角度、实践的角度,对城市社区楼长的定义、人选要求、推选程序、服务内容和形式、服务质量、服务评价与改进、日常管理、激励奖励措施等进行了明确,使东阿县的楼长工作走上了标准化、规范化的轨道。”东阿县委常委、组织部部长葛春刚介绍,这一制度的实施,有效整合了小区离退休党员、热心居民、党员志愿者等队伍资源,使他们在疫情防控、矛盾调解、信息采集和为民服务等工作中发挥独特作用,营造了“用身边人管身边事”、“一个人带动一群人”的生动局面,实现了城市基层治理向小区楼宇延伸。
据了解,该标准的制定与实施,是东阿县深入推动标准化综合改革,开展“标准化+”行动,实现标准化在社会公共服务领域深度融合的成果,是深化基层治理,解决突出矛盾的一个有益探索。东阿县委组织部为加强社区治理,解决服务群众“最后一公里”问题,出台了《关于在城区居民小区推行“楼长制”管理的意见(试行)》,在意见落实过程中,在聊城市派东阿“四进”攻坚行动第四工作组的指导下,东阿县委组织部、东阿县市场监管局结合东阿县新城街道办事处阿胶社区推行“楼长制”的工作经验及典型做法,制定《城市社区楼长工作管理与服务规范》管理标准,将楼长服务内容、服务形式、服务评价进行量化,并在全县范围内推行。该标准围绕社会治理方式,紧扣社会发展需要,把标准化的理念和方法融合到社会治理之中,走出了一条基层治理新路子。下一步,聊城市市场监管局将积极推动该标准升级为市级地方标准,将东阿县的经验在全市推广。
相关链接>> 规定“楼长”人员要求等多项内容
《城市社区楼长工作管理与服务规范》标准规定了城市社区楼长的术语和定义、人员要求、推选程序、服务内容、服务形式、服务质量、服务评价与改进、日常管理、激励奖励措施等内容。标准适用于协助社区党组织、社区居委会、社区社会组织,从事社区公共事务管理和服务的楼长人员。
楼长定义为在城市社区范围内,以楼宇为单位设置,协助社区组织从事社区公共事务管理和服务的人员。人员要求思想觉悟高,热心和支持社区公益事务,有较广泛的群众基础,威信高;身体健康,有充足的时间从事此项工作的社区居民;年龄原则上不超过65周岁,身体健康、积极热心参与社区工作的,年龄可适当放宽。优先推选本楼宇离退休老干部、老党员和常住居民优先。服务内容为传达党的方针政策、协助处理楼宇事务、调解矛盾纠纷、反映社情民意、维护平安稳定等。
同时该标准对楼长日常服务形式、服务质量、服务评价与改进、日常管理和激励奖励等内容都作出明确要求。在居民走访一项,做出对每位楼长走访负责楼宇的居民家庭,年度覆盖率为100 %。对负责楼宇内的鳏寡孤独、老加残、长期空巢等特殊家庭可增加走访频次,每月走访或联系不少于1次等具体要求。
聊城高新区教育局为贫困儿童搭起家校共育“暖心桥”
为深入贯彻落实党中央关于扶贫攻坚的重要指示精神,按照扶贫先扶智、彻底斩断贫困链条的总体思路,深入推进行业扶贫工作。聊城高新区教育局对全区建档立卡贫困家庭组织开展了“万名教师送温暖,教育扶贫访万家”等一系列活动,确保扶贫路上不漏掉一人。
教育过程中要充满爱和期待,如果把一份爱心放在家访中,就会取得意想不到的效果。为真正关爱残疾儿童的学习,促进其健康成长。聊城市高新区韩集镇前姜中心小学采取送教方式,将教师分成两队,每周分别前往季古棚村和蒋庄村为残疾贫困儿童送教,再次搭建家校共育的“暖心桥”。
为了将每周两位贫困生的送教活动做到完美,老师们做足了功课。因为是两位“特殊”的孩子,老师们在原有课程教案上做了一些“个性化”的修改,增添了课程的趣味性。由于患有多重残疾,所以刚开始的送教之路并不平坦,在讲授过程中孩子经常会有易怒甚至暴力倾向,老师尽量安抚他的情绪,循序善诱的鼓励,和他聊一些他感兴趣的话题,在孩子情绪平复后老师再慢慢地教他读生字词,看图说话,经过几星期的努力,这位小同学小脾气不见了,父母说在送教的前一天孩子就会期待老师的到来。
(冯辉 雷玉芳)
聊城开发区北城街道:帮包干部当好贫困群众贴心人
聊城开发区北城李中楼村共有四户贫困户,如何帮助这四户贫困户更好的改善生活、早日实现脱贫成了帮包干部王晓彪的心中头等大事。为了帮助贫困户有一个安稳的生活环境,义务为贫困户修缮房子、搭建院墙,特别是疫情防控期间,他主动承担起贫困户的生活保障任务,对贫困户挨家挨户宣传防疫知识,每天深入贫困户家中进行消毒,真正成为扶贫路上贫困户的“守护者”。在北城街道脱贫攻坚的战场上,像这样的扶贫干部比比皆是。他们不仅是扶贫“宣传员”、“参谋员”、“服务员”,久之也成为了贫困户的“贴心人”,用自己的实际行动书写扶贫路上的壮丽篇章。
阳谷县残联完成贫困重度残疾人家庭无障碍改造
残疾人家庭无障碍改造涉及具体内容繁、专业技术性强,困难多、耗费大。面对这一情况,阳谷县残联提出了“三步走”的推进战略。加强宣传、营造氛围,整合人力,专门成立阳谷县残联贫困重度残疾人家庭无障碍改造领导小组,形成残疾人无障碍改造的“集团军”作战模式;就改造项目的具体实施,订立了时间进度表,明确提出“保质、保量、保时、保效”的“四保”工作目标。同时,积极协调、多方联动,筹措财力,使100余万元的无障碍改造项目资金逐步落实到位,为1910户贫困重度残疾人家庭实施了无障碍改造,完成了工作任务。面对全县残疾人这一庞大群体,从各个方面严格要求,确保这一无障碍改造项目顺利实施,发挥其应有的作用。仔细检查工程质量,确保残疾人改造工程顺利推进。
东阿县大桥镇麻庄村的脱贫攻坚路
东阿县大桥镇麻庄村,人均收入较少,属省定重点贫困村。十九大以来,麻庄村通过开展主题党日系列活动,增强脱贫攻坚战斗堡垒作用,更好的发挥党员干部先锋作用。
今年已经80岁高龄的张绪清,既是一名党员,同时也是村里的贫困户。精准识别时,仅靠流转的2亩地为主要经济来源,年人均收入不到3000块钱,近两年通过大棚收益及光伏收益分红,生活条件有了明显改善。为感恩党的扶贫好政策,耄耋之年手书十九大报告全文及党章,展现一名老共产党员的党性光辉。
村里建设扶贫加工点,吸纳部分有劳动能力贫困人口就业,解决无法外出打工的贫困人口就业问题。通过设置邻里互助公益岗位、扶贫特惠保险等,多种举措靶向治疗,真正实现精准施策。通过两年努力,麻庄村贫困户全部实现脱贫,群众生活质量大幅改善。
(许银环)
莘县倡导土地流转助力脱贫攻坚
连日来,莘县朝城镇就农村土地预流转工作进行了强调,要求进一步做好土地经营权规范有序流转,发展适度规模经济;同时,要加大宣传,努力营造促进土地流转和发展适度规模经营的浓厚氛围,为加快推进镇农村土地流转工作实现大幅度提升。进行土地流转,发展现代化高效农业,提高土地利用效率,是莘县朝城镇当前面临的一项重大任务。仅能够有效利用农村土地,带动村经济发展,而且能为农村富余劳动力提供更多的就业机会,为每户农户每年带来收入,更能为脱贫攻坚打下坚实的基础。
在土地流转过程中,农民不仅可以稳定收取土地租金,还可以在合作社打工赚钱,土地流转为土地大面积集中连片经营创造了条件,进一步发展农业规模化经营,提高耕地集约化水平,发挥土地最大效益,让企业收益的同时提高农户的幸福指数,为脱贫攻坚打下坚实的基础。 (狄国敬)
阳谷县巩固脱贫成果
2020年是脱贫攻坚收官之年,为决战决胜脱贫攻坚,聊城市阳谷县寿张镇创新扶贫形式,通过开展脱贫攻坚电话访谈活动,不断巩固脱贫攻坚成果。
镇党委、政府组织镇纪委、扶贫办、审计所等单位业务骨干组成访谈人员,不定期通过电话访谈各驻村帮扶责任人、县直帮包责任人和村支部书记、扶贫专职、贫困户等,详细询问脱贫攻坚业务常识和村情民情等,促使各驻村帮扶责任人和村扶贫干部时刻绷紧学习提升的弦,推动脱贫攻坚业务知识学习形成常态化,努力营造脱贫攻坚、干事创业的良好氛围。
(张中良)
轿车高速停车后备厢竟钻出两人
本报聊城6月2日讯(记者 李怀磊 通讯员 武英杰) 5月31日上午11点左右,聊城高速交警高唐大队民警开展日常路面巡逻工作,当巡逻至青银高速421公里处,发现一辆黑色小轿车在应急车道上停车,执勤民警立即做好防护措施后下车询问。驾驶员称孩子想上厕所,所以停在了应急车道上让孩子方便一下。细心的民警一走到车前,就发现该车存在超员违法行为。于是,民警决定带驾驶员到高唐执法站进行下一步处理。
民警到达高唐执法站后,通过视频监控看到了戏剧性的一幕:黑色轿车竟然停在了行车道上,后面的大车纷纷躲避,情况十分危险,这时后备厢里竟然跑下来两个人,车后座下来一个人,三人跑向护栏外。经公安交通管理综合应用平台核实,该车核载5人,实载8人。违法驾驶员到达执法站后,看到监控上的一幕,承认了自己的违法行为。民警向驾驶员进行耐心教育讲解后对其违法行为进行处理,因非紧急情况下占用应急车道,进行罚款200元记6分的处罚;对其超员违法行为进行罚款200元记6分的处罚。因驾驶证记满12分,民警对其进行扣留驾驶证的处罚。
聊城高速交警提醒:车辆超员违法行为存在严重的交通安全隐患,极易造成群死群伤的交通事故,希望广大驾驶员朋友,不要因图方便和眼前的利益,抱着少跑多载的心理违法驾驶车辆,以免酿成大祸后悔莫及。
莘县扶贫车间助力脱贫攻坚
近年来,莘县魏庄镇开拓思路,多渠道吸引外来投资,鼓励动员当地经济能人、外出务工人员等回乡建设“扶贫车间”,实现建设多元化。魏庄镇扶贫车间开拓脱贫新路。同时,莘县魏庄镇通过广泛发动,通过人力、物力、财力资源,利用专项扶贫资金,撬动工商社会资金投入,魏庄镇建设1处扶贫车间项目,分别为食用菌车间、汽车坐垫等,共占地总规模1000多平方米,解决了贫困户不出村就能赚钱的事情,在家照顾家人的同时,自己也能就近工作的实际难题。受到广大人民群众的一致好评。目前,已经全部投入使用并取得显著成效。实现了贫困劳动力就地就近就业,稳定增收脱贫。 (王涛)
聊城开发区北城街道开展扶贫自查
为了进一步提升扶贫工作整改成效,进一步举一反三,查找问题、整改问题,近日,聊城开发区北城街道再次开展了自查工作。本次自查聚焦两种手册、两不愁三保障、饮水安全、双提升和扶贫产业项目等工作落实开展,各社区书记、主任对本社区内的全部贫困户进行了实地再走访,聚焦基层一线,深剖问题实质,确保政策全落实、工作全到位。
阳谷县精准扶贫因地制宜
为真正打赢脱贫攻坚战,聊城市阳谷县金斗营镇党委、政府在推进精准扶贫、精准脱贫工作中,注重因地制宜,取得良好效果。
东金村双胞菇种植基地东金一、二村为一个自然村,两个行政村,经济收入以农业为主。东金一村位于阳谷县西南端,距离县城20公里,全村贫困户40户,贫困人口91人。东金二村位于阳谷县西南端,贫困户63户,138人。
针对该村产业单一,经济以小麦、粮食等农作物为主的实际,东金一、二村利用上级扶贫资金建设双孢菇恒温式大棚和蔬菜大棚,承租给北京绿安行有限公司,东金一二村劳动力充足且成本较低,发展食用菌项目,既可充分利用农村闲置土地,为村集体增加收入,采取分红和带动劳动力的方式进行帮扶贫困户。 (武琦 周长忠)
轿车高速上轧线变道,逼停两辆大货车

本报聊城6月2日讯(记者 李怀磊 通讯员 王芳) 高速公路上不能随意停车,否则不但会给自己造成风险,也会对其他车辆造成安全威胁,甚至造成整条高速公路的拥堵。
5月29日上午9时30分,聊城高速交警临清大队通过视频监控发现一辆白色冀D牌照的小车在快车道上停车,轧实线变道,险些酿成车祸。
由于快车道车速相对较快,车辆停在快车道和行车道中间,后面多辆车停在车道上,车辆只能缓慢绕行,后方频频出现紧急制动和变道的情况,高速公路险象环生。民警赶到后,迅速指挥车辆进行分流,恢复现场的交通,防止二次事故的发生。据现场调查,是因为小车司机路况不熟,由于没看清楚路标没有提前变更车道,行驶到事故地点时才发现要开过头了,就在小车准备变道时,行车道上刚好有一辆大货车开过来,于是他就停了下来,等待变道,导致后方车辆采取紧急制动逼停了两个车道的车辆,所幸没有造成人员伤亡。民警对其违法行为进行了极为严厉的批评教育,并根据《中华人民共和国道路交通法》相关规定,依法对驾驶员进行了处罚,该驾驶员接受处罚后表示下次绝不再犯。
聊城高速交警提醒广大驾驶员:高速行车,路况不熟的情况下,行车前务必将路线合理规划,不可拿生命开玩笑,确保出行安全。

轿车在高速上轧实线变道,险些酿成车祸。
茌平区菜屯镇:责任人和贫困户坐在一条板凳上
茌平区菜屯镇扶贫办主任宋佳说,菜屯镇帮包长效机制已经坚持了一年多,目的就是提升帮包责任人的政治站位和政治意识,拉近帮包责任人和贫困户的距离。
要让贫困户认可干部,干部必须扑下身子。菜屯村扶贫专干刘庆保说,贫困户王建军是二级精神残疾人,之前经常犯病,一年中有半年在聊城四院度过。自从精准扶贫开展以来,帮包责任人经常自费买纸、笔、墨送给他,鼓励、支持王建军练字。现在,王建军已经3年多没住过院了,全村的红白事对联都被他承包了。
茌平区洪官屯镇:文艺演出送下乡,文化惠民悦人心
5月27日,聊城市民政局“双联共建”工作组走进茌平洪官屯镇姜庄村,开展了“决胜脱贫攻坚 助力乡村振兴”文艺演出活动,为洪官屯镇群众送来形式多样的文艺节目。演出现场,由各行各业的志愿者组成的20余人的文化团带来了歌曲、舞蹈、乐器弹唱等群众喜闻乐见的节目,让洪官屯镇群众沉浸在欢乐的氛围中,感受到别具特色的文化视听盛宴。
洪官屯镇党委副书记、镇长潘金红观看节目并表示,“送文化下乡”的活动非常好,以后要多搭建这样的文化舞台送上“精神食粮”,坚信一定会赢得脱贫攻坚战的最后胜利。
茌平区洪官屯镇召开扶贫攻坚政策落实推进会
5月26日上午八点,茌平洪官屯镇召开扶贫攻坚政策落实推进会,全体帮包责任人参加。洪官屯镇党委书记刘勇在会上安排了当前的扶贫工作,强调扶贫工作是当前的头等大事,要求帮包责任人一定要保持高度的政治责任感,按照上级要求不折不扣的落实扶贫政策,利用周六周日两天的时间做到问题清零。要求一个月至少要有2次帮扶日志。日志内容一定要与扶贫政策相关。保持好贫困户家卫生情况。贫困户的卫生一定要达到“三净四美”要求,即庭院净、居家净、厕所净;居室美、庭院美、厨厕美、家风美。新建房屋后原危房未拆除的必须拆除。门楼院墙存在安全隐患的必须整修到位。
聊城高新区“四到位”确保残疾人两项补贴政策落地
一是政策宣传到位。积极运用微信、学习强国、宣传版、村务公开栏、村喇叭等多种媒体手段,对享受对象、补贴标准、申报流程进行广泛宣传,并印制了3000余份宣传单张贴至全区每一户残疾人家中,真正做到了家喻户晓,人人皆知,提高了人民群众的政策知晓率。
二是信息共享到位。残联与民政加强协作,做好信息共享工作,残联将每月新办残疾人证信息共享至民政部门,确保将所有符合条件的残疾人及时纳入到发放名单中来,做到不错报、不漏报。
三是动态管理到位。每月逐一对补贴对象进行资格审核,与火化表、低保花名册对比,对死亡、退出低保等不符合条件的人员及时终止补贴发放。同时将所有享受残疾人两项补贴人员名单全部录入全省“金民工程残疾人两项补贴”系统中,全省联网,动态管理。
四是资金发放到位。“残疾人两项补贴”资金以社会化发放的形式,采取银行代发的形式按月发放至补贴对象账户中,做到及时、足额、准确发放到位。
截至目前,聊城高新区共有享受残疾人两项补贴人数为2105人,今年累计发放两项补贴资金70.93万元。
阳谷县寿张镇:确保问题整改到位 坚决打赢脱贫攻坚战
聊城市阳谷县寿张镇高度扶贫问题整改工作,镇党委、政府立足实际,强化措施,确保扶贫问题整改到位,坚决打赢脱贫攻坚战。
近日,寿张镇召开由镇机关驻村帮扶责任人、县直帮包干部、村支部书记、村扶贫专职参加的会议,镇党委主要领导要求:要着力解决脱贫质量不高、工作推进不平衡、落实不力、帮扶不实、扶贫队伍建设不强、群众满意度不高以及扶贫资金中存在的问题,将“精准”落实到整改的全过程。同时,按照立说立行的过硬要求,做到件件问题整改有着落。此外,要加强力度,限时完成整改。
(张中良)
聊城高新区深圳路小学为患病儿童捐款送爱心
汇涓涓细流,成汪洋大海。为把精准扶贫工作落到实处,把党和学校的关怀及时送到贫困家庭,6月1日,聊城高新区深圳路小学开展教育扶贫工作,为学校身患急性淋巴细胞白血病的学生举办捐款活动。
再获悉情况的第一时间,校长宋德敏迅速找到学生班主任交流具体情况,并决定尽学校之所能对学生及其家庭提供帮助。深圳路小学全体教职工以及学生家长了解到学生的情况后,纷纷伸出援手,为帮助这个优秀的孩子战胜病魔贡献自己的力量。在汇总全体教师及学生家长善款后,宋德敏及中层领导代表全体爱心人士将善款托付给班主任代为转交。
教育扶贫,温暖你我。深圳路小学将继续认真开展家庭经济困难儿童资助工作,切实把温暖送到家庭和孩子心中,让每位学子真实感受到教育的关怀。 (冯辉 宋德敏)
临清大辛庄街道贫困户经济生活“双提升”
“感谢党和政府的扶贫政策,很感谢一致挂念着自己。”刘振刚家中现有2口人,自己是四级肢体残疾,媳妇为一级听力残疾。
刘振刚发自内心的感恩,不仅反映了临清大辛庄街道精准扶贫帮扶措施见成效,贫困户得到真正的实惠,更体现了街道党工委的真情关怀及干部的辛苦付出得到了贫困群众的认可。经济上脱贫不算完,街道还注重贫困户生活质量的提升和居住环境的改善。街道召集全体机关干部,按照“两清四净一规范”的标准,为所有已脱贫享受政策贫困户打扫卫生、清理庭院,以实际行动对贫困户进行帮扶。 (刘克硕)
开展自查自纠
为响应学院学风作风建设,提高国防生整体素质,聊城大学后备军官学院模拟营组织全体国防生开展自查自纠活动。此次自查自纠活动包括五个方面:查思想;查学习;查训练;查作风;查纪律。会上,国防生自我剖析、阐述问题、总结原因、他人建议、提出整改措施,将自查自纠活动意义落到实处。
(葛辉锋)
阳谷:增强第一书记扶贫能力
聊城市阳谷县金斗营镇党委、政府采取三项措施,增强做好“第一书记”工作的能力。
充分准备。认真学习上级文件精神,深入了解政策规定,学习与群众交流的技巧及方法。设计制作“第一书记”工作胸牌和“第一书记”为民服务联系卡,制定《第一书记首次入户访谈工作方案》和《入户调查表》等。
主动对接。集中时间,先后与镇领导、管区书记、包村干部及镇组织办、扶贫办等部门进行沟通与对接,对帮扶村整体情况有了初步印象,对各项扶贫政策有了基本了解。
外出学习。7位“第一书记”村先后组织村“两委”、党员和群众代表赴阳谷县寿张镇闫集村、德州市临邑林子镇小庞村、阳谷电缆厂等地参观学习,先后赴外地学习达68次,考察脱贫攻坚做法及乡村振兴经验。
(武琦 周长忠)
阳谷县石佛镇妇联实施女性安康工程
为切实解决贫困妇女因疾病造成的实际困难和后顾之忧,提高贫困妇女幸福指数,全面完成精准脱贫工作任务,阳谷县石佛镇妇联近期启动了“关爱女性健康、助力精准扶贫”女性安康工程。首先协调县卫健局,为35-64岁妇女特别是贫困妇女开展“两癌”免费检查,并建立检查档案,及时跟踪服务。第二,做好摸排,为患病的贫困妇女申请“两癌”救助基金,确保政策应享尽享。第三,印制发放“关爱女性健康 助力精准扶贫”女性安康明白纸,利用微信群等方式多方位宣传“关爱女性生殖健康重大疾病保险”惠民政策,并为重点贫困村贫困妇女免费投保。
聊城开发区北城持续做好贫困户“双提升”工作
“谢谢!真是太感谢你们了!”近日,聊城开发区北城街道常楼村贫困户收到了一份由北城街道办事处送给他们的特别礼物。为使贫困户的居住环境得到提升,北城街道办事处为他们送来了新衣柜、新沙发、新床等家具。为全面提升贫困户生活水平、居住环境,助推精准扶贫,引导贫困户养成良好的生活习惯,北城街道办事处开展了贫困户“双提升”工作,由扶贫干部帮助贫困户打扫卫生,归纳整理生活物品,让贫困群众生活、居住环境实现大改观。
聊城开发区北城街道组织开展文化惠民演出
近日,聊城开发区北城街道办事处文化站按照上级要求,优先组织在省定贫困村开展“一村一年一场戏”文化演出准备工作,确保文化演出顺利开展。文化惠民演出作为文化扶贫的重要组成部分往往能用最少的钱,收到最大的效果。近年来,北城街道紧抓文化扶贫的契机,已经在省定贫困村组织开展了多场惠民演出,从文化和精神层面给予贫困户以帮助,从而提高贫困群众素质,使其尽快摆脱贫困。
投身“抗疫”志愿服务
自一月下旬以来,新冠肺炎疫情来势汹汹,聊城大学后备军官学院全体师生严格遵循党和国家的号召,自觉留守在家或按照政府统一安排组织复工和抗击疫情。在抗击疫情的战场上,涌现出了先进志愿者唐礼呼、邢志谦、龚世强、张佳旭、李长昊、耿航等几位同学,为各地疫情防护做出了无私贡献。
(刘浩鹏)
师生午餐会
日前,聊城大学后备军官学院团委书记,国防生、预科生辅导员吴俊美老师与模拟营、学生会、社团联合会、预科连等骨干举办了一场别开生面的午餐会。国防生骨干们纷纷表示“零距离”与老师交流谈心和聊天,进一步拉近了与老师的距离,亲切感受到了学院领导、老师对学生的关心和关爱。
(刘浩鹏)
志愿逆行 “疫”往直前
李志伟、张海钰、唐礼呼、龚世强、张佳旭、李长昊、耿航等等,类似于这几名同学的聊城大学国防生还有很多,他们主动请战,奔赴抗疫一线,积极参加防疫知识宣传、防疫检查站执勤等工作。尽管地域不同、岗位不同,但那一颗颗炽热的爱国心是相同的、那种坚毅执著的军人精神是一致的。
(岳润之)
“激辩风云”辩论赛
为进一步丰富国防生课外生活,提高思辨和语言表达能力,聊城大学后备军官学院“激辩风云”辩论赛决赛在东校区如期举行。“激辩风云”辩论赛是后备军官学院学风作风建设月专项活动之一。通过比赛,选手们了解了国防生这个特殊身份所具备的素质,完善了语言组织和技巧表达,提高思维敏捷性和全面性。 (葛辉锋)
开展拓展训练
为锤炼新招收国防生心理素质,促进国防生身心健康发展,聊城大学后备军官学院国防生展开为期一天的拓展训练。此次拓展训练紧紧围绕“挑战自我,增进团结”的主题展开,精心设计了“信任背摔”、“高空挑战”和“盲人方阵”等活动环节。在学院老师的指导下,国防生依次体验每一个项目。
(葛辉锋)
河口采油厂党委坚持把绿色发展理念引领贯穿到油气生产过程
为百日攻坚创效开辟“绿色通道”
每天,胜利油田河口采油管理一区飞雁滩油田员工都会拿着垃圾夹沿着拦潮坝走上一趟,坝北是渤海、坝南是油区,他们要确保没有杂物才安心。
地面上的安全环保行为随时可见,地下安全高效的开发工艺措施也无时无刻地涵养着油藏。面对义55-斜13井的常规补孔手段可能无法高效沟通地层的问题,工艺技术人员大胆攻关,采用封隔器负压射孔后,该井自喷日产油10吨以上,既提质增效,又保护油层不受污染。
事实上,在河口采油厂,绿色发展理念已经生动体现在油藏经营的全过程全方位。近年来,围绕践行绿色低碳发展战略,河口采油厂党委坚持把绿色发展理念引领贯穿到油气生产过程,让“奉献清洁能源,践行绿色发展”等理念成为干部员工的共同价值追求,全力打造“井中有景、景中有井”的发展环境,为绿色发展注入新动能。
本报记者 顾松 通讯员 包正伟
绿色理念融入战略 年初,河口采油厂印发了《绿色基层提升工作方案》,总体要求、绿色发展、环保、节能和专业等5个部分的指标内容,把全厂所有基层单位和九部四中心涵盖其中。
“绿色发展不是哪一个单位、部门就能完成的,而是采油厂的一项全面性的重点工作。”河口采油厂党委一直将绿色理念作为发展的应有之义,把“绿水青山就是金山银山”“奉献清洁能源,践行绿色发展”等绿色理念融入决策、融入日常,并将绿色发展纳入采油厂“三大发展目标”,充分体现用绿色发展理念引领高质量发展。
绿色理念融入战略的重要体现就是,以绿色低碳为着力点,开展机制优化工作。围绕提升绿色发展质量效益,河口采油厂构建采油管理区与集输大队权责清晰的市场化运行体系,形成“异品异价、优质优价”的内部市场化机制,督促集输系统提升水处理质量、采油管理区科学调配优化产液结构。自从去年9月至今,集输大队水质综合达标率提升近2个百分点,采油管理七区对低效无效井采取间开或停井措施月节约水处理成本4万余元。
绿色理念融入战略,带来的是对油藏经营工作的长远考虑和系统思维。为了既稳定产量又降本减费,这个厂在埕东东区实施“井网重组、调流线、高含水井实施卡封换层”产液结构调整组合拳后,液量每天减少676吨,电费每天同比降低0.54万元,且日增油11吨,综合含水下降0.1%,自然递减变为-0.8%。尤其是对埕四南块实施关停高液量井和高耗水层、拉大注采井距等措施后,该区块日液下降942吨,日油上升11.7吨,综合含水下降2%。
不仅如此,科研单位也把绿色发展理念融入新技术的应用推广之中,竭力实现绿色低碳生产。工艺自动化团队研制错峰调频经济运行模块,根据电价设定8个尖峰谷平期运行频率,实现抽油机谷期自动增频,峰期自动降频运行。目前,已试验的5口油井在产量维持不变的情况下,吨液耗电量减少0.9千瓦时,相当于一口井每天省电费近30元。
为减少抽油机每个冲次过程中的馈能损失,技术人员研究超级电容模块,平均单井每小时回收馈能2千瓦时,待做功时再释放利用,实现单井年节约电费1万元。针对义一注工频高压注水泵耗电量大、泵干压差大的问题,技术人员也已经拿出了对其实施高压变频改造的方案,争取在消除泵干压差的同时,实现降低注水单耗和节约电费双赢。
绿色理念融入人心 员工外出必须随身带垃圾袋、油井光杆套上毛毡“围脖”、取样闸门戴上塑料瓶“口罩”……飞雁滩油田的绿色环保风景,只是绿色理念融入河口采油厂全体干部员工内心的缩影。理念之所以能转化为行动,在于绿色理念得到了大家的认可,形成了价值认同,得益于行之有效的绿色理念引导方式和机制。
近年来,河口采油厂党委坚持“讲清深化改革的重大意义、讲清企业与员工的关系、讲清市场规律、讲清突出问题、讲清发展方向和发展潜力、讲清‘石油精神石化传统’的内涵和重要意义”“六个讲清”原则,以覆盖全员的宣讲机制、灵活多样的解读方式、紧扣工作生活实际的内容表达,让绿色理念在大众化的思想教育过程中入脑入心,见到实际效果。
为引导大家认识绿色发展的重要意义,河口采油厂党委围绕绿色发展理念、方式和机制等重点内容,利用中心组学习、停工停产学习、业务培训学习以及“学习强国”“奋进石化-绿色石化”平台,组织全员学习绿色发展理念,广泛开展绿色文化专题培训教育和群众性绿色创建活动,实现绿色发展理念、绿色企业建设宣传的全覆盖,有效提升了全员绿色发展意识。
大众化、平民化的引导方式,营造了浓厚的绿色发展氛围。按照宣传与引导并重的原则,河口采油厂党委一方面采取喜闻乐见的方式,组织开展了“绿宝下基层”“绿色宣传进校园、进社区”“绿色志愿服务一线行”等特色活动,引领干部员工在参与中增强绿色发展意识;一方面发挥内外媒体阵地作用,广泛宣传绿色发展理念、绿色发展成效,树立良好的绿色发展形象。其中,以征文、漫画、公益广告、抖音、微视频等为主要内容的绿色文化作品创作活动,传递出了绿色低碳、勤俭节约、文明健康的生活理念,影响着干部员工一言一行。
如今,绿色发展理念已经成为干部员工共同的行为规范。在飞雁滩油田,安全环保警示教育和海洋气象、海上救生、应急常识等内容,已经成为广大干部员工的必学内容。每年,飞雁滩油区还组织开展“环保飞雁行”活动,让绿色理念飞进油区岗位。
植入内心的绿色文化理念,催生的是绿色低碳发展妙招。针对涉海环境、据海远近、流程状况等差异情况,采油管理一区实施滩海油田ABC清洁等级管理,让油不落地、水不外排、气不上天,实现临海、滩海、湿地共存共建、互促互享。
绿色理念融入实践 什么是绿色发展?回答这个问题的方式有很多种。
在科研技术人员看来,快速建产能,产能方案有效益,就是绿色发展。前不久,通过优化复杂油藏开发方式、优化钻井工程、合理选择钻机型号、优化泥浆保护等措施,河口采油厂5个新区产能建设方案得到全面优化,实现案案有效益,产能项目高质高效运行。其中,陈371-P106区块的平衡油价下降近7美元。
在生产管理人员看来,提高生产运行效率,为基层提供优质服务就是绿色发展。针对采油管理七区提出的协调解决铺设清水管线到井口的需求,生产管理部当天办理,一周内完成了管网铺设。现在部分区块注汽用水已不用罐车拉运,年节约运费100多万元。
绿色发展不是刷上绿色油漆、喊出绿色口号,而是要在油藏经营全过程实现节能、低碳、环保、创效,才是真的绿色发展。基于此认识,河口采油厂党委把绿色理念植入制度规范、管理标准、生产流程,贯穿经营管理全过程,用绿色文化引领规范各类生产经营行为,形成采油厂绿色发展、绿色工作、绿色生活方式。
油气主业的绿色发展行动,集中体现在多算效益账、多干效益活、多产效益油。通过勘探开发一体化运行,在罗家沙四下油层完钻的罗斜177、罗176-1井在目的层系都钻遇多套油层,既降低了油藏评价成本,又加快了建产节奏;技术人员反复优化陈319块3口新井设计方案,平衡油价从37美元/桶降至29美元/桶;针对陈371西扩多轮次注汽开采效果变差的实际,技术人员在30余口井上创新实施冷热采交替一体化增效技术后,既降低了开发成本又保证了开发效果,投入产出比从不足1:2上升到了1:3.4。
树立“一切成本均可降”“能省一分钱、就增一分利”的理念,河口采油厂所有系统、各个业务流都在以实际行动和显著效益,践行绿色发展理念。例如,该厂通过与护卫管理中心建立联责、联力、联智的“一体化替套”运行模式,实现替套作业过程监护、动态监控、效果监督的闭环管理,近两个月来已回收套管油2500多方;作业方面,他们对20类措施施工和8类维护施工进行额定周期标定,每周进行周期统计和超周期原因分析,助力“百日攻坚创效”行动上水平。

把时间抢回来,把效益挣回来
海洋钻井公司以形势任务教育凝聚全员攻坚创效共识
面对疫情防控和油价暴跌带来的经营压力,胜利石油工程公司海洋钻井公司以形势任务教育凝聚全员创效共识,打造高素质队伍、高标准管理、高质量服务优势,夯实钻井主业和外闯市场质效提升基础。“只要坚定信心、痛下决心,把井打成打好打快打出效益,才能彻底扭转被动局面。”谈及打赢“百日攻坚创效”攻坚战和完成全年生产经营目标,海洋钻井公司经理许军富信心十足。
本报记者 邵芳
通讯员 王为
坚持价值引领
凝聚创效共识
“现在感觉很踏实,眼前有方向,心中有目标。”在海洋钻井公司青工“五四”座谈会上,外部市场生活服务项目部固井生活服务班杨莲莲分享了她的转岗心得。
杨莲莲曾是海洋钻井公司运输公司员工,去年年底,在人力资源优化和专业化改革中,她来到服务保障中心待岗。今年4月,外闯市场项目一经发布,杨莲莲等30名员工主动应聘到固井技术服务中心食堂工作。虽然一日三餐让大家忙得团团转,但是杨莲莲非常珍惜这个机会。
曾经不愿意干、干不了的岗位,如今却成为许多人眼中的“香饽饽”,归根结底在于严峻形势下的思想转变。今年年初,受疫情防控和国际油价暴跌双重因素影响,石油石化企业面临严峻的生产经营形势,中国石化集团公司董事长、党组书记张玉卓向全系统发出了“百日攻坚创效”动员令:以超常决心、超常举措、超常力度,坚决夺取疫情防控和生产经营“双胜利”。
海洋钻井公司党委第一时间召开专题会议,制定行动实施方案、目标任务,并将形势任务教育带动思想转变作为打好攻坚创效行动重中之重,汇聚“把失去的时间补回来、把落下的效益挣回来”强大动力。
公司党委书记张居峰带头开讲形势任务教育专题党课,领导班子成员下沉到承包部门和单位开展调研、宣讲形势,面对面答疑解惑,稳定员工情绪,化解思想困惑,提振可持续发展信心;各钻井平台、井队、机关和后勤保障部门通过党员大会、职工大会、班前班后会等多种形式,迅速学习贯彻会议精神,形成了“党委重点统筹、宣传部门牵头、党群部门联动、业务部门主导、基层单位落实主体责任”的观念引导齐抓共管格局。
此外,海洋钻井公司利用“两微一端一群”平台,采编公司新闻上百条,微信微博上百条,让观念引导融入日常工作生活;制作形势任务教育专题片、目视化大屏、宣传栏、《胜利海洋》、形势任务教育简报等,推动观念引导进食堂、进班车、进广场、进宿舍;通过“今天我来讲+”、“五分钟小课堂”、形势任务教育APP答题竞赛等形式,实现观念引导进外部市场、进班组、进岗位、到个人。
坚持统筹优化
提高发展质效
埕北30A-4侧B井,是胜利油田海洋采油厂部署的一口开窗侧钻井,受多个断层、高压水层、下古生界灰岩发育易发裂缝性漏失等复杂地质情况影响,施工难度较大。
负责这口井施工任务的新胜利五钻井平台,在全面做好施工设计、风险点管控的同时,科学制定疫情防控期间生产运行计划,提前22天高质高效完工,收到甲方的表扬信。
无独有偶。胜利六号钻井平台高效实施埕北306-3井钻井任务,获得甲方书面表扬;胜利七号、胜利九号钻井平台在烟台完成坞修,加入到打井行列;尼日利亚项目人员努力克服境外疫情防控难度大、倒班推迟时间长等困难,平稳运行壳牌和ELCREST项目,两条平台一季度日费获取率均为100%,壳牌公司对项目部和新胜利一号平台提出表扬……
高质高效施工,离不开海洋钻井公司党委对当前生产经营形势的判断,更离不开科学有效的举措。两个月来,海洋钻井公司以“百日攻坚创效”行动为抓手,进一步实施专家驻井制度,把技术措施传递到生产一线,为实现快速钻井提供有力技术保障;通过推行参数提效,在钻井生产中采用大排量、高泵压的参数进行钻井施工,提高水力破岩能力和清洗携砂效率,并与甲方协商改良了井径考核标准的要求,提升钻井效率。胜利八号平台在承钻的埕北353井中,实现单日进尺1012米,全井平均机械钻速62.06米/小时,两项数据均创今年胜利海上钻井新纪录。
今年以来,胜利石油工程公司专门制定外委项目公式管理办法,要求各单位拟实施的单个5000元以上的外委项目,必须首先在平台上公示,由内部单位抢单承揽,这无疑拓宽了海洋钻井公司外闯市场空间。
“公司各级领导非常关心我们,这更加坚定了我们站好岗执好勤的使命感和责任感。”再次上岗后,从没上过夜班的护卫女队员毛晓梅工作起来一丝不苟,她所在的服务保障中心近日又承揽了测井公司护卫项目,38名员工实现了价值增值。截至5月30日,海洋钻井公司在胜利石油工程公司内部已经先后承揽生活服务、运输、护卫、视频制作等15个项目,合同额达2300多万元。
与此同时,海洋钻井公司坚持胜利内外部市场齐头并进,最大限度提高人力资源价值创造力。今年3月,海洋钻井公司综合录井部首批5名仪器队长和地质师以专车直达方式前往浙江舟山,承揽上海海洋石油局综合录井服务,年创效能力预计超百万元。
按照胜利石油工程公司人力资源价值增值工作要求,海洋钻井公司持续做好外委转自营工作,并加大对外委转自营项目的奖励力度。目前,他们通过集中经验丰富的平台员工组建设备维修站,先后完成20多个修理项目,节约维修费用100多万元。
配备督导表立下“军令状”
4月份以来,胜利油田鲁明公司济北采油管理区推行生产经营督导表制度,不仅有效提升了干部员工对时间的管理能力,还让工作量从计划到运行、收尾的量化考核更加精准。“督导表更像是一张‘军令状’,起初大家并没有意识到其严重性,但是让有的班站成为负面典型后,大家责任心更强了。”济北采油管理区党支部书记初启龙说,为提升油藏经营管理水平,管理区运行方案均配备了“督导表”,明确每个环节的责任人和运行时间,让工作完成情况或未完成原因一目了然,实现各项目标高效运行。
本报记者 邵芳 通讯员 赵军 芦朋 摄影报道
地面工程维修中心:
瞄准甲方需求攻坚创效
本报6月2日讯(记者 邵芳 通讯员 崔洪颖) 胜利油田启动“百日攻坚创效”行动以来,地面工程维修中心突出“干效益活,算效益账”理念,充分发挥抢维修和设备维保技术优势,瞄准甲方需求全力攻坚难题,提升保障支撑主业和经营创效能力。
围绕保障生产、增收创效、合作共赢,孤东维修服务部从提高设备创效能力入手,经过多次探讨、测算、与甲方对接,对较大土方的工作量作业,采取将施工机械设备固定“驻扎”在井场的方式,既提高了工作效率又降低了运输成本。
“花同样的钱多干出一倍的活,成本还减少近一半,用你们的设备很合算。”甲方管理人员对孤东维修服务部推行的“设备驻站式”服务效果给予高度评价。
事实上,在地面工程维修中心,施工效率和服务保障力有效提高的同时,还降低甲方成本的故事并不少见。前不久,滩海维修服务部针对滩海油区抽油机底盘使用及维修问题,应用现场底盘焊接修复工艺,与甲方联手开展抽油机修复项目,仅用1天就完成了过去3天的工作量,既实现增收创效,又减少了甲方停井时间,助力原油上产。
如今,组织技术骨干到管理区、泵站等甲方单位上门服务,最大限度为甲方排忧解难,成为地面工程维修中心基层服务部强化服务保障的重要措施。前两天,为提高“保姆式”机泵服务质量,德滨机泵维修服务部泵修一站到甲方单位开展质量回访,期间不仅全面了解甲方设备的运行特点、参数指标,还详细反馈泵修维保中发现的问题,为甲方提出了管理建议。
此外,这个中心还把推进质量提升作为强化服务保障的关键,遵循“甲方满意就是工作标准”的原则,深化“责任岗号”管理,推进“规范管理提升年”活动,并采取对标管理、查漏补缺、动态督查、严格问责等措施,抓实操作质量和施工质量。他们加强质量回访,及时了解甲方生产需求和服务需求,有针对性地优化管理、改进方法,不断提高维修及时率和服务满意率,为“百日攻坚创效”注入强大动能。
天然气销售公司:
“内堵外拓”创效增盈
本报6月2日讯(记者 邵芳 通讯员 方亮) “百日攻坚创效”行动启动以来,胜利油田天然气销售公司突出价值引领,以内堵效益流失点、外拓效益增长极为抓手,多维度、立体化推进天然气创效增盈。同时,该公司进一步完善内部劳务和内部市场,让人人头上有指标、有考核、有压力、有动力,提高岗位员工价值创造力。
近日,爱琢磨的LNG岗位员工田延祥受食品袋中干燥剂的启发,用大袋的防潮包进行实验,不仅有效解决了水浴复热器运行过程中存在水汽的生产瓶颈,避免了因短路造成的装置电子元件频繁更换难题,还挽回了因供气中断造成的效益损失。
为鼓励广大干部员工投身创新创效,天然气销售公司以主题劳动竞赛为平台,面向全员开展“绝技绝活”“生产小窍门”征集等活动,解决一线生产难题,助力公司创效增盈。近两个月来,已经有来自基层的3项技术小革新、5项安全建议应用到实际生产中。
“管输气是我们的基本业务,也是公司内堵效益流失点的主阵地。”天然气销售公司副经理明传政说,按照“每一方气都是效益”的理念,天然气销售公司在长输管道日常管理中创新实施“分管段考核”模式,将输差指标细化分解到班组、线路和个人,加大奖惩激励力度,确保年度输差管控在2%以内。
为进一步加大科技创新力度,天然气销售公司持续加大对天然气发电、分布式能源、套管气回收、余压利用、冷量回收、二氧化碳气提纯等天然气利用技术研究力度,形成一套科学高效的零散气综合利用技术,有效激发创新创效潜能。
目前,除管道气降耗增效、新项目开发创效外,天然气销售公司还在天然气销售、LNG点供、计量校验维修以及工程施工等方面按下“快进键”,为可持续高质量发展奠定坚实基础。
纯梁采油厂党员干部在百日攻坚创效中发挥先锋带头作用
党建引领跑出攻坚创效“加速度”
胜利油田启动“百日攻坚创效”行动以来,纯梁采油厂各级党组织和广大党员积极行动,充分发挥先锋模范带头作用,切实把党的政治优势、组织优势转化为推动攻坚创效的强大力量,以“大干、苦干、快干、实干一百天”的实际行动引领采油厂提质、提速、提效、提产“加速跑”。
本报记者 邵芳
通讯员 王蕊仙
思想引领创效益
“当前,油田绩效考核的导向非常明确,就是激励全员全过程全要素创效。对于‘依靠捡芝麻凑西瓜’来挣收益的采油厂来说,土地资源作为主要的创效潜力点,是收益成长地里的一只‘西瓜’,尽管很难摘,我们也不该忽略和绕开。”这是近期纯梁采油厂主页发布的观念引导教育材料。
思想是行动的先导。为了进一步抓实思想观念引导,切实将创效落到实处,纯梁采油厂编发了《攻坚突破点,创效着力点》《采油厂的利益,就是我们的收益》等多期形势任务教育材料。采油厂机关部门和地质、工艺研究所深入基层单位和一线岗位,以解读采油厂职代会精神为切入点,向干部员工面对面宣讲采油厂年度工作任务、勘探开发形势、新型采油管理区建设、人力资源优化、百日攻坚创效等各项工作新要求新进展,及时进行释疑解惑。目前,该厂已开展11场宣讲,200余名基层骨干参加现场交流。
通过思想观念引领,广大干部员工从思想、管理、运行等各个方面找对策、定措施,切实把提质增效、夯基固本等工作做细做实。据了解,樊21-720井是一口日产油0.6吨的低产井,纯梁采油厂充分发挥地质、工艺与管理区一体化技术决策优势,对该井实施分层压裂后连续自喷25天,实现日增油8吨的良好效果。
与此同时,纯梁采油厂还进一步优化源头设计,由“压减投入”向“优化成本”转变,取得显著的经济效益。其中,针对老区滚动扩边的纯42块储层物性特点,该厂将酸化投产优化为小规模解堵压裂,使区块平衡油价由54.9美元/桶下降到35.7美元/桶。
专班服务解难题
机关职能优化后,如何发挥好“引领统筹、指导服务、监督监控”职能,更好地协助采油管理区压实油藏经营主体责任,帮助基层理清各项工作流程,快速做好各项工作的承接,成为纯梁采油厂党委关注的重点。
“百日攻坚创效”行动启动以来,纯梁采油厂机关部门充分发挥职能作用,由生产管理部、企业管理部等9个机关部门及地质研究所、工艺研究所组成专班工作组,计划利用7个月的时间对采油厂所属7家采油管理区完成指导服务,进一步压实管理区油藏经营主体责任。
在进驻大芦湖采油管理区开展专班服务期间,他们通过座谈、参与具体工作等方式,分析管理区当前现状,明确帮扶任务目标,并针对管理制度和业务流程待优化、市场化运行能力待提升、管理区专业技术人员业务素质需要进一步提升等6个制约管理区发展的问题进行精准剖析、全面指导,确保转创成效在基层落地生根、开花结果。
针对管理区在预算核算、谈判议价、合同管理、风险防控等方面能力较弱的问题,工作专班举办了一系列专题讲座,业务指导200余人次,并参与管理区方案论证优化,在一定程度上提升了管理区油藏经营能力。
近日,大芦湖采油管理区与胜利油田纯梁石油工程有限责任公司,就樊128-10井10KV线路改造方案进行洽谈。专班工作组采取管理区自主洽谈为主,财务计划部人员旁听指导的形式,为管理区查漏补缺,并根据谈判中存在的分歧问题进行分析解读。最终,他们将项目预算费用从施工方提交56400元压减到50700元,节约费用5700元。
通过专班协助管理区完善管理制度、梳理业务流程、开展现场指导服务,大芦湖采油管理区履职能力进一步提升,油藏经营主体责任进一步压实。
攻坚创效亮身份
近日,梁北采油管理区党员王伟和突击队员们对梁68斜20单井加药柜进行改造。据了解,这套加药柜增加定压启停装置后,不仅可以实现根据外输管线压力自动启停,还极大地降低破乳剂使用量,实现精准加药。
生产一线是创效的主战场。“百日攻坚创效”行动以来,纯梁采油厂广大党员干部充分发挥冲锋在前攻坚创效的模范带头作用,在作业开井、应急抢险等各项施工中主动亮身份、作表率、树形象,成为“大干、苦干、快干、实干一百天”的主力军。
5月17日,纯东采油管理区新井纯化纯42斜29完井后,管理区党员干部第一时间赶往新井现场,投入到垫基础、安装抽油机、协调上电、连接生产流程等现场施工中。经过9个多小时的奋战,新井于当晚11时准时开井,为采油厂原油生产注入新活力。
党旗插在哪,阵地就建在哪。5月29日,大芦湖采油管理区党支部在樊164井场,开展聚焦“三转三创”助力绿企提升的主题党日活动。烈日下,15名党员组成的突击队通过清除杂草、规整井场等,进一步提升管理区“三标”现场管理水平。
在此次“百日攻坚创效”行动中,党员干部身先士卒,主动亮出党员身份,用实际行动诠释了“讲政治不讲条件,讲奉献不讲困难”的党员本色。据统计,专项行动以来,纯梁厂投产新井18口,日产油能力增加51吨,效益开发水平明显提升;完善人力资源优化配置指导意见,实现人力资源优化配置1410人,人力资源创效达4286万元;持续加大存量资产优化、盘活、报废力度,推进闲置土地资源退出和再利用,实现创效400余万元,采油厂各项经营管理指标和油田绩效考核排名有了明显提升。
新钻井超进度运行
为加快新井运行节奏,胜利油田鲁明公司济北采油管理区采取一体化运行模式,由生产指挥中心高效统筹各专业化队伍,实现全流程无缝衔接。“就拿曲9-斜317井来说,凌晨1点多作业完井,凌晨5点多就顺利投产,四化平台同步上线。”济北采油管理区副经理高博说,新井作业过程中的测压工序,需要关井24小时,这期间就可以完成组机、上电、连流程以及信息化设备安装调试等工作量,有效避免二次停井。据了解,“百日攻坚创效”行动以来,该管理区16口新钻井已投产13口,其余工作量均超计划运行。
本报记者 邵芳 通讯员 赵军 芦朋 摄影报道
胜利采油管理一区:
打造绿色采油管理区
本报6月2日讯(记者 邵芳 通讯员 王韶华 张涛) 聆听环保知识讲座、开展环保专项应急处置措施演练……今年以来,胜利油田胜利采油厂采油管理一区以“绿色企业创建”活动为契机,强化生产全流程绿色发展理念,让绿色成为新型采油管理区最亮底色。
年初,采油管理一区将绿色企业创建纳入企业文化建设总体部署,作为夯实管理基础、提升管理水平的重要抓手,由三室一中心牵头制定绿色企业创建年度工作计划,明确任务、节点、责任人等,并规划了短期、中期和长期目标。
在生产管理中,该管理区从抓设备基础管理入手,加大井组设备巡回检查和维修保养力度,各基层班站认真对井场环境、跨沟渠管线进行巡查,最大限度减低污染风险;对存在问题进行彻底整治,杜绝跑、冒、滴、漏等现象的存在;夏季用电高峰即将带来,管理区综合管理室则持续加大节约用电的重要性和紧迫性宣传,使节电增效成为每位员工的行为自觉。
按照狠抓源头的理念,采油管理一区班子成员组织业务负责人,分多路深入生产一线,对发现的安全环保问题一抓到底,限期整改。针对管线穿孔可能造成的环境污染问题,管理区多次组织人员采取拉网式排查和常态化巡查相结合的方式,从源头杜绝安全环保事故的发生。
事实上,绿色企业创建既是企业可持续发展的必然趋势,也是每一名国企员工的责任和担当。从节能降耗到低碳生活,再到采出液处理,采油管理一区始终牢记“在经济领域为党工作”的初心使命,全力落实绿色低碳发展战略,严格履行节能减排义务,加强生态环境保护,用实际行动争当绿色企业创建排头兵。
东辛采油厂:
分类施策加快新井运行
本报6月2日讯(记者 邵芳 通讯员 田真 张霞) 新井营14斜50投产后比原方案增油10吨,它的设计者李阳介绍经验时觉得,这既是意外,又在意料之中。
营14斜50是“百日攻坚创效”期间,东辛采油厂投产的新井之一。设计之初,李阳为它选定的效益稳定层段是沙二5-10,按照新井施工前再论证的创效方向,李阳再次查阅相关井史时发现,邻井营14-27钻遇沙二14获高产的资料。于是,他马上调整方案,向下钻探,新投层位沙二10-13,实现日增油10吨。
事实上,待投产再论证只是东辛采油厂打好增量增产突围战的做法之一。结合胜利油田分公司新井实施政策,东辛厂科学谋划,通过待投井再优化、阵地再优化、投资再优化、运行再提速4项举措提高新井贡献率。
“百日攻坚创效”行动以来,东辛采油厂把“多快好省”作为优选潜力阵地的新风向,从做大浅层、加大侧钻、新老结合等方面,增加优质高效井位。东营组至沙二上油藏埋深浅,是优选的重要阵地,新井完钻进尺较断块平均可减少278米,再配套相应钻井工艺,既可以降低投资,又能提升产能。目前,技术人员已在该区域营26-7单元设计新井8口,并在东营组筛出辛9、营87西等10余个滚动建产潜力区,专人负责、动态监控、节点管控。其中,营87西部已部署滚评井1口,方案编制已全面推进。
按照横到边、纵到底、逐层梳理的工作思路,技术人员在砂砾岩中浅层部署永921斜49、盐161斜15等4口滚评井,评价盐19、盐16、盐18等3条古冲沟的有力圈闭,进一步扩大新增地质储量。
“百日攻坚创效”难在攻坚、重在创效。东辛厂全力进攻复杂断块难题,聚焦优化投资提效益、优化压差提产能、优化靶点多穿层、优化工艺提钻速等13个优化方向,进一步提高方案经济性。目前,辛33斜21、辛12斜2和辛25斜45三个项目通过协同优化投资,增加可实施井位5口,仅辛33斜21方案工程议价和录井议价就优化投资359万元。
与此同时,他们还实施地质、工艺、工农、钻井一体优化部署,为12口新投井制定提速运行方案,逐个推进。据统计,“百日攻坚创效”行动以来,东辛厂共投新井29口,通过阵地再优化降本、待投再优化增产、运行再提速提效、投资再优化增效,阶段增油2446吨。
海上“花”开
本报记者 顾松 通讯员 崔舰亭 李福起 5月26日凌晨1点30分,经过17个小时的连续拖带,胜利油田海洋石油船舶中心顺利完成大型现代化海洋牧场综合体“耕海一号”精就位作业。
被誉为烟台市海岸新地标的“耕海一号”观光养殖平台,由3个大小相同的养殖网箱旋转组合而成,构成直径80米的“海上花”概念,总养殖体积30000立方米。三个“叶片”上设计了60个休闲垂钓位置,交汇区设计了约600平方米的多功能区,可以实现休闲观光、科普教育、海洋监测功能,还可以召开海上展会,是名副其实的海上综合体。
2018年,海洋石油船舶中心高质高效完成了山东海洋集团所属的国内首座坐底式海洋牧场平台精就位作业。今年,“耕海一号”即将就位,该集团首先想到了海洋石油船舶中心。
“高端平台就位,既是企业复工复产的需要,也是我们‘百日攻坚创效’实施的重点创效项目。”对于这次精就位作业,海洋石油船舶中心经理张久安对拖航小组提出明确要求:“准备工作再细致也不为过,拖航必须万无一失。”
5月25日上午7时许,海洋石油船舶中心航海首席专家李大炜等三名拖航指挥登上平台岗位进行指挥。解缆、起航,3000多吨的平台在拖轮拖拽下缓慢前行,胜利242船紧随护航。中午12点,平台准确抵达预定海域,开始注水压载坐底。
“虽然拖航距离只有6海里,但是不敢有丝毫松懈,平日一个半小时的行程,这次平稳行驶用了3个小时。”李大炜说,在连续15个小时的压载时间内,让平台在暗流涌动的海流中精确停在既定位置,是这次精就位作业的关键。
在船长指挥下,主拖轮和平台首向一致,准确抛锚,胜利242船则不断调整航向,把随海流移动的“耕海一号”平台拖拽回既定位置。26日凌晨1点,“耕海一号”精确坐底,灯光测试瞬间点亮。夜色中,开启灯光的“耕海一号”犹如一颗夜明珠镶嵌在靓丽海岸线,而船舶人已经驶向下一片蓝海。
据了解,“百日攻坚创效”行动以来,海洋石油船舶中心充分发挥人才、技术、装备优势外闯市场,累计完成渤海自立号、中海油18等大型平台拖航精就位17次,一次就位成功率、合格率、安全作业率均为100%。





“疫”中童趣 关爱儿童健康成长
泰安市妇幼保健院小病员牵手“灵芝娃”共度“六一”
本报泰安6月2日讯(记者 聂美风 通讯员 侯佳) 2020的六一儿童节,因为疫情,显得与以往略有不同,但泰安市妇幼保健院(市儿童医院)依然组织院内的小病员们开展了充满童趣的庆祝活动,喜迎“六·一”国际儿童节。活动场地为中国宋庆龄基金会与华特迪士尼公司特意为泰安市妇幼保健院打造的迪士尼欢乐屋,坐落在市妇幼保健院儿科住院楼五层。
在精心布置的欢乐屋里,市妇幼保健院党委书记刘传军、院长李刚、副院长崔传新与就诊、住院患儿一起画画、聊天,并向各儿科病区就诊、住院的小患者赠送医院吉祥物灵芝娃形象的毛绒玩具等,带去节日的问候、健康的祝福,更希望孩子们早日康复,让小朋友们在医院,同样可以享受到他们节日的快乐。
儿内三科护士长杨继伟在欢乐屋带领小朋友们一起做“洗手操”,她表示,儿童节教小朋友学会“洗手操”,了解七步洗手法,是一份特殊的节日礼物,现在还在新冠肺炎疫情期间,孩子们自我防护、保护知识,不可或缺,她用游戏的方式向孩子普及洗手知识,增强孩子们的卫生意识,让他们不仅明白“病从口入”,还要知道“病经手入”。
“孩子生病住院了,这个六一不能出去玩,孩子很难过的,没想到医院给了他一个大大的惊喜,今天的活动让他兴奋的不得了,病都好了一半。”陪孩子住院的李女士说,感谢医院为孩子们精心准备节日礼物,用这样特殊的方式陪孩子过六一。
据介绍,迪士尼欢乐屋在2019年5月份落成开放,有了这样一个空间,可以转移孩子们的注意力,家长们带孩子就医就会轻松不少。中国宋庆龄基金会在前期帮助医院建立迪士尼欢乐屋的基础上,今年六一儿童节前夕,又捐赠了电脑、玩具、图书、儿童桌椅等多种物品,为儿科就诊、住院患儿庆祝节日。在“米奇”“唐老鸭”的陪伴下,孩子们在感受奇妙瞬间的同时,也收获了轻松欢乐,有利于病情恢复。更可以减少儿童对治疗的恐惧和压力,让孩子们在欢乐的氛围中愉快的接受治疗。
每年六一节,市妇幼保健院都要策划有趣的庆祝活动,给孩子们送上一份惊喜和祝福。在平时,市妇幼保健院的病房也总是充满了童真童趣和欢乐的气氛,让孩子们感觉似乎不是来到医院,医护人员们温馨亲切的服务、消除了小病员对医院的紧张心理,给他们带来了愉快和信心。
亚奥特乳业:安全放心奶赢得百姓信赖
“订亚奥特牛奶十年了,牛奶品质有保证,值得信赖。”今年67岁的杜先生,是一名普通的亚奥特乳品消费者。像杜先生这样真正体会到亚奥特乳品质量的消费者,遍布全省各地。山东亚奥特乳业有限公司重视产品质量,以最优的质量体系,为消费者提供着最健康安全的乳品,早已成为消费者的共识。
全程冷链贴心服务走进百姓心坎里
采访中,记者了解到,亚奥特乳业做好产品的同时,也在做着优质的人性化服务。从全程冷链运输到点式配送,从直接让利到间接服务,从经销商到奶农再到消费者,亚奥特乳业服务到位体现在每个细节。为了让消费者喝到鲜活乳品,亚奥特乳业做到了全程冷链运输。公司配备了80多辆冷链物流车,每车按照GPS定位,杜绝随意变更线路、停留导致对产品品质的影响。每年向市场经销商投放500台以上冷柜、400辆以上携带保温箱的电动三轮车。从原先配送时间长的线式配送,改为点式直达配送,省内配送6个小时内到达、城区不到一个小时。
“有了亚奥特给的保温箱三轮车,再也不用担心低温配送问题了。”在新凤小区一惠民奶站,送奶员张先生说,之前用的棉褥和泡沫箱,效果差档次低,也没法保持低温恒温。亚奥特乳业等于免费提供了冰箱、电动车,让送奶员、经销商得到了实惠,更让消费者能喝到在最适宜温度下冷藏的鲜活牛奶。
记者在学府嘉园小区注意到,有居民通过自动售奶机购奶,居民王女士介绍,“售奶机里的牛奶新鲜,价格跟市面上一样,到售奶机买奶很方便。”据亚奥特乳业工作人员介绍,自动售奶机有两大优点,一是保鲜,因为售奶机24小时冷链,取出的各种牛奶均是新鲜的;二是方便,售奶机24小时营业,消费者购买方便且品种选择性强。
据介绍,亚奥特乳业不仅向消费者提供健康优质的乳制品,还为了让泰安当地老百姓更好的了解奶制品知识,不定期推出“奶制品营养知识讲座”等专题栏目和活动。从消费者的角度出发,通过读者互动问答交流等方式,有针对性宣传牛奶知识,推广科学饮奶。正确引导消费者消费,经常组织有针对性的参观学习活动,学习先进经验开阔视野加强交流。
百姓的口碑就是亚奥特乳业的生命线
与山东省内其他地市市民不同,谈起平时喝什么牛奶,咱泰安人可以自豪地说:“我们只喝亚奥特牛奶,因为我们当地就有,全家老少从小就喝,信得过!”确实,亚奥特乳业在泰安百姓心中的口碑,已经得到了市民的一致认同。
“我跟我的老伴儿每天都喝亚奥特牛奶,从2015年开始订牛奶,到现在已经快5年了。”在学府嘉园小区,76岁的孙先生介绍,刚开始并没有坚持喝一个牌子的牛奶,看到邻居家喝的是亚奥特牛奶,当时抱着试试的态度,就尝了尝亚奥特的纯牛奶和酸奶,感觉口味还不错,就先订了一个月的牛奶,没想到能坚持到现在。“亚奥特乳业作为咱们泰安的本土企业,企业近30年的发展历程见证了公司的品质,我信赖亚奥特。”孙先生说,中间也有其他牌子订奶员动员他换个牌子,但家人都说喝习惯了,再换别的奶担心喝不惯。公司工作人员告诉记者,亚奥特牛奶的高质量得到越来越多消费者认可,不少学校、幼儿园也成了他们的忠实顾客,深受广大师生的好评。
“了解亚奥特乳业的市民,都明白,亚奥特的奶为什么好喝、为什么能放心喝,因为亚奥特的牛奶是用良心做出来的。”山东亚奥特乳业有限公司相关负责人介绍,在亚奥特乳业公司,随处可见亚奥特乳业四个良心的企业使命“用良心去做产品、用良心对待员工、用良心对待消费者、用良心回报社会”,所有亚奥特人,都在围绕这一使命,以良心为航向,如航母远航,把握着自己手上的工序,掌握着出厂乳品的质量。随便在厂区问一位亚奥特普通职工,他都能背出企业的四个良心使命。该负责人颇有感触地说,“我们就是做牛奶的,对生产出去的牛奶负责,就是对自己的工作负责,也是对消费者的信任负责,老百姓的口碑就是亚奥特的生命线。”
广场舞噪声、暴走团扰民……泰安开展5项生活噪声专项治理
噪声扰民屡教不改将被公开曝光
本报泰安6月2日讯(记者 郭健) 为切实解决群众反映强烈的社会生活噪声扰民问题,泰安市公安局进一步扛牢秩序治理主责主业,继续组织开展社会生活噪声扰民违法行为专项治理行动。6月2日,齐鲁晚报·齐鲁壹点记者从泰安市公安局了解到,对于这5类噪音扰民违法行为,泰安警方将进行重点治理。
广场舞噪声,违反当地公安机关管理规定在城市市区街道、广场、公园等公共场所组织娱乐、集会等活动产生干扰周围生活环境的过大音量的;暴走团扰民,既违反道路交通安全法律、法规关于道路通行的规定,又属于产生噪声干扰他人正常生活的违法行为;饲养动物噪声,饲养动物产生噪音干扰他人正常生活的,或者放任动物恐吓他人的;机动车声响设备,机动车辆不按照规定使用声响设备的;商业噪声招揽顾客,在商业经营活动中使用高音广播喇叭或者采用其他发出高噪声的方法招揽顾客造成环境噪声污染的。
齐鲁晚报·齐鲁壹点记者了解到,泰安警方将加大对不听劝解、经常反复、屡教不改的噪声扰民违法行为的查处力度,并进行公开曝光,实现“打击一个,震慑一片”的效果,形成严管严治的新常态。
泰山区图书馆恢复开放首日
接待读者400人,每天3次擦拭消毒
本报泰安6月2日讯(记者 薛瑞 通讯员 郝辉) 6月1日,泰山区图书馆入口,在工作人员的引导下,市民佩戴口罩出示健康码,体温检测正常后有序进入图书馆。当日,泰山区图书馆恢复开放,接待读者400人。
“疫情前,孩子借了两本书,早就看完了,今天听说开馆了,就赶紧来把书还上。”市民刘女士边说边把待还的书放进了门口的消毒机,30秒后书就消毒好了。消毒后的书按正常程序进行了归还。
“我们在一、二楼各增设了2台图书消毒设备。这台设备是供读者归还图书消毒用的,上面有操作说明,非常简单,用时30秒就能完成图书消毒。另一台是供工作人员使用的,主要是把读者从架上抽出来的图书统一回收消毒后再上架。”泰山区图书馆馆长刘晓燕介绍说。
记者在一楼少儿阅览室看到,由于目前正值学生开学,室内读者不多,以大学生自习为主,每桌2人,间隔距离一米以上。“我正在准备考研,在图书馆里学习更有氛围,而且馆内各种防疫措施都很到位,让人非常安心。”一位正在学习的大四学生说道。
为了保证广大读者到馆借阅过程中的健康和安全,泰山区图书馆采取了严格的防疫措施,开馆前聘请专业人员对全馆进行了全面消杀,开馆后实施限流管理,每日上午、下午各限定200人进入图书馆,工作人员每日开馆前及中午、下午闭馆后对阅览室进行三次擦拭消毒,每周三闭馆进行全面消毒,全力为读者提供更为安全便利的服务。
男子乘火车外出打工图方便把铁锤藏脚脖
本报泰安6月2日讯(记者 朱德明) 近日,泰山火车站进站口手检工作人员在检查一名男性旅客时,发现其脚踝处异常,手检仪不断提示有金属物品,工作人员主动问询旅客,检查发现这名旅客的脚踝处藏着一把工具锤。
工作人员经过与旅客交流得知,旅客马先生知道锤子不可以带进站带上车,但由于打工需要,就想了这个办法,不料还是工作人员检查到。通过劝解和沟通,车站公安了解到旅客并没有其他动机且态度端正,并没有对其进行处罚,随后,工具锤由旅客送站家人带回。
泰山站工作人员提醒,旅客出行时,铁路部门对于旅客携带的锤子、斧子、钢锯等危及其他旅客人身安全的钝器、利器是不允许携带进站的,需要使用的类似物品,可以在出行前携带本人有效身份证件原件到车站提前办理行包托运或中铁快运,整件托运的行李(包裹)不要超过50Kg,超过50Kg时需要加收运费。
冰雹刚走热浪来袭,泰安发布今年首个高温预警
未来6天,最高温均在35℃以上
本报泰安6月2日讯(记者 侯海燕) 1日,一场强对流天气,让大风、雷雨、冰雹相继亮相。2日的泰安雨过天晴,高温又接踵而至。齐鲁晚报·齐鲁壹点记者在泰安市气象台了解到,3日起,泰安将开启“高温炙烤”模式。
2日15时30分,泰安市气象台发布高温黄色预警信号:受暖气团影响,预计3日到8日,泰安市大部地区将出现35℃以上的高温天气,局部地区最高气温可达37℃以上。请有关单位和人员做好防范准备。
据了解,这是今年以来泰安市气象台发布的首个高温预警。“2日下午到5日白天,天气都以晴间多云天气为主,高温天气强势‘上岗’。3日开始,气温将不断加码强度更大,将出现超35℃的高温天气。”泰安市气象台工作人员介绍。
未来三天具体天气情况为:3日,多云间晴,降水概率20%,南风3到4级,湖面4到5级。最高气温35℃左右。
4日,晴间多云,降水概率20%,南风3到4级,湖面4到5级。最高气温36℃左右。
5日,多云间阴,降水概率40%,南风3到4级,湖面4到5级。最高气温36℃左右。
强对流天气“突袭”泰安
冰雹大如汤圆
1日,受强对流天气影响,泰安出现大风冰雹天气,多地受冰雹影响损失严重。突如其来的急雨,让很多市民猝不及防。
齐鲁晚报·齐鲁壹点 记者 郭健 倪方圆 见习记者 金文茜
多处树倒墙塌,杏树等农作物受损
1日下午5点40分左右,泰安市突降冰雹,短短20分钟,地上就铺上了白白的一层冰疙瘩。
“雨说下就下,当时我正在回家路上,刚飘雨不一会就下起了汤圆大小的冰雹。”王先生回忆到,被一阵冰雹砸得全身疼,所幸戴着头盔。
急雨过后,泰城多处行道树倒伏,枝叶被砸落。文化路泰山中学旁的法桐树被大风刮倒,砸到路边两辆车。路过行人摇着头说:“风太大了,幸运的是没有人受伤。”
在泰安中悦城,一处围墙也被大风吹塌,两辆私家车被砸。6月2日记者来到事发现场看到,中悦城9号楼西侧一处围墙倒塌,地上砖头和泥沙碎沫散落一地。一辆黑色轿车留在原地,前侧挡风玻璃破损,车辆变形严重。
受大风冰雹影响,泰安的杏树等农作物受损,据泰安市民提供的视频显示,金黄的大杏被冰雹砸落一地。有新泰市民表示,“家里种的菜受损严重,种的麦子、土豆都被砸了。
直径20厘米大树刮断,广告牌“连根拔起”
6月1日,下午6点左右,雷雨、冰雹渐停。当晚7点半,在东岳大街与校场街交叉口,部分法桐树与雪松的树冠向一侧倾斜,掉落的枝干,直径最粗的约20厘米。
齐鲁晚报·齐鲁壹点记者从东岳大街中段往东走,环卫工人正在打扫人行道上散落的枝叶,在东岳大街与校场街交叉路口,一大型公益广告牌虽被螺丝固定在地砖上,但也被“连根拔起”。
掉落在地上的枝干最粗的约20厘米左右,路过的行人纷纷绕道,“看看这个被刮掉的树枝,就知道下午的风有多大了。”市民陈先生指着地上的枝干说。
民警徒手搭石桥,半小时助300名群众脱困
6月1日,突逢强对流天气,在泰山火车站,很多旅客被困出站口。泰安市公安局泰山分局快反机动队执勤民警及辅警在恶劣天气下,利用广场周边的方砖、石板,徒手搭起了两座石桥。
执勤民警及辅警靴子灌满了水,脱了继续干;衣服湿透了,擦擦雨继续忙。担心怀抱婴儿的群众过桥存在安全隐患,民警吴波涛抱着婴儿赤脚趟水而过,等到了安全地点再把孩子交给其母亲。辅警王超一趟又一趟的帮助群众拿行李,抱着未成年人过桥。
短短三十分钟内,民警帮助300余名旅客群众脱困。
□相关新闻
最大冰雹直径3.1厘米 最大风速11级
6月2日,齐鲁晚报·齐鲁壹点记者从泰安市气象台了解到,泰安市6月1日出现出现大范围冰雹的主要是泰安、新泰和泰山,根据国家气象观测站监测数据显示,泰安冰雹最大直径0.3厘米;新泰3厘米;泰山3.1厘米。
6月2日08时40分,泰安市气象台发布6月1日泰安市强对流天气实况。
据泰安市气象台提供的降水情况显示,6月1日6时到6月2日6时降水量(单位:毫米):全市平均8.4,泰山区7.4,岱岳区5.4,泰山景区13.5,高新开发区0.4,徂汶景区5.7,新泰4.3,肥城0.5,宁阳2.8,东平0.6,最大40.9,出现在泰山景区泰山国家气象站,今年累计141.2,常年116.8,去年61.6。
大风情况显示,1日下午到夜间,国家气象观测站中,极大风速泰安27.8米/秒(10级);泰山21.2米/秒(9级);新泰15.4米/秒(7级);宁阳11.5米/秒(6级);肥城10.7米/秒(5级);东平10.6米/秒(5级)。
区域气象观测站中,最大泰山区邱家店30.4米/秒(11级)。肥城、宁阳、东平极大风速均在6级以下;泰安、新泰均在6级以上,8级风以上站点13个,九级风以上站点5个。
齐鲁晚报·齐鲁壹点 记者 侯海燕
东平泰燃公司携手山东小鸭扬帆非气板块新征程
齐鲁晚报·齐鲁壹点
记者 王坤 通讯员 邹方君
5月29日,东平泰燃天然气有限公司与山东小鸭集团小家电有限公司战略合作项目签约仪式在济南举行,这标志着东平泰燃公司非气业务板块迎来快速发展新时期。
东平泰燃公司作为泰山燃气集团在东平县域内天然气保障主阵地,牢记国有企业政治担当、经济担当、安全担当、社会担当。2020年,按照泰山燃气集团年度战略布局,东平泰燃加快非气业务市场调研,明确以主业为依托,非气业务多元化发展的经营转型升级思路。在明确思路后,综合考虑产品质量、售后服务、品牌效应等多方面因素,正式确定了与山东小鸭集团小家电有限公司全方位合作方案。
“小鸭小鸭顶呱呱”的广告语自上世纪80年代耳熟能详、家喻户晓,以不断地技术革新在40年的发展历程上经久不衰,具有极高的知名度和市场影响力。小鸭集团同样作为国有企业,近年来,随着新时代振兴民族工业的浪潮,加快延伸产业链条,依靠科技进步、节能创新深受广大用户青睐,在国际市场关注度不断提高。
此次双方成功合作,是充分发挥优势互补、资源共享的具体表现,更是东平泰燃公司非气业务助力服务提升新突破的重要体现。自2017年,泰山燃气集团在东平泰燃公司率先启动“网格化服务”、“增值服务”新模式,东平泰燃公司不断摸索燃气服务再升级,研究惠及燃气用户的新方式,深度挖掘天然气安全、高效、便捷、环保优势,首先把燃气安全“天字号”工程放在首位。小鸭集团燃气灶、燃气热水器热电偶熄火保护装置在全国处于领先水平,灶具熄火后即失去电流,电磁阀立即关闭,防止燃气泄漏,大大降低室内燃气安全隐患,将为东平泰燃公司安全管理工作优化升级提供重要的基础保障。
据了解,下一步东平泰燃公司将按照“以气促非、气非互动、气非共赢”的三步走战略,围绕主业,夯实非气业务板块,继续推出燃气室内保险、当当便利超市等一系列惠及城乡居民的非气业务,推动服务当地经济社会发展水平再提高。
蒙牛乳业泰安有限责任公司开展多样性安全月活动
2020年6月是全国第19个“安全生产月”,蒙牛乳业泰安有限责任公司围绕“消除事故隐患,筑牢安全防线”这一主题,开展一系列安全活动。
为保障安全生产,增强应急防范意识和提高应急处置能力,强化突发事件应急反应机制,提升应急反应能力和协同作战能力,蒙牛乳业泰安有限责任公司联合泰安市高新区消防大队、社安防火培训中心,组织仿氨气泄漏应急演练、消防安全培训和模拟演练等活动。
此次演练采用无预案拉练的形式,蒙牛乳业和高新区消防大队均未提前告知参演人员演习内容,临时发出事故指令,企业内各小组迅速做出反应,政府救援机构能够快速到达,同企业应急队伍形成有效联合,整体提升了协同作战的能力。
模拟消防演练,模拟火场真实场景,让每一位员工进行火场逃生体验,让员工直观的认识到火场的风险,提升员工消防安全意识。 齐鲁晚报·齐鲁壹点 通讯员 华宝存 韩飞月
出租司机多收五分钱领200元罚单
的姐觉得有点冤,市交通运输局称泰安没有“元以下四舍五入”的规定
本报泰安6月2日讯 2日,市民姜先生向齐鲁晚报·齐鲁壹点记者反映,5月23日下午,他的妻子李女士驾驶出租车从五马新时代商场站牌接到一名乘客,到达目的地后,计价器显示车费7.95元,李女士实收8元,后被乘客投诉,李女士被泰安市交通运输局处罚200元。
据李女士介绍,5月23日下午4点左右,她驾驶出租车行驶至五马新时代站牌时,拉了一位中年男乘客,目的地是花城丽景湾。“当时开了没多远,乘客要求去云海烧烤园,于是我们就换了方向,最后把他送去了烧烤园。下车时,计价器上显示7.95元,我们开出租的一般就四舍五入了,就收了他8元,多收五分钱,乘客也没说什么,扫码付完8元就走了。”
过了几天,李女士接到出租车公司电话,称有乘客的一个投诉,让她去公司一趟,“当时我还一头雾水,寻思也没得罪乘客啊,当被告知是23日多收乘客5分钱,让我感到很吃惊。”李女士称,当时她按照规章制度交了罚款,并觉得不应该因多收5分钱而受到200元的处罚。
根据行政处罚决定书,李女士违反了《巡游出租汽车经营服务管理规定》第二十三条第十一项,不按规定使用计程计价设备,处200元罚款。
2日下午3点12分,记者联系泰安市交通运输局,一工作人员称,对于此事,相关负责科室正在处理,稍后给记者回电。3点半左右,泰安市交通运输局综合执法支队二大队一工作人员表示,“泰安没有‘元以下四舍五入’的规定,何况乘客是微信扫码支付,也不存在找零的现象。驾驶员违反了相关条例,需被处以200-2000元的罚款,因考虑到该驾驶员是初次违法,再加上受疫情影响,营业收入不高的情况下,我们对驾驶员采取的是最低罚款。”
齐鲁晚报·齐鲁壹点 记者
泰城今夏最爱冷饮评选火爆进行中
活动首日500多人参与投票,累计票数已超四千
本报泰安6月2日讯(记者 宋鑫茹 江焕冉) 6月1日起,齐鲁晚报·齐鲁壹点联合泰安12家饮品店,推出“选出你的夏日冰饮”评选活动。活动一经推出就引起了热烈反响,仅一天就吸引500名粉丝投票,累计票数已超过四千票。
在参与评选的36款特色饮品中,目前受欢迎的五种饮品分别是:寒天鲜橙红宝石、焦糖玛奇朵、半杯都是料、抹茶桂花酒酿和摩卡咖啡,不少粉丝在活动页面下方留言,点赞活动福利多,优惠力度大。
此次活动中,投票成功的市民进店消费时可以享受相应优惠。投票结束后,活动主办方还会在活动页面的留言里选出点赞数前7名的粉丝送出夏日饮品大礼包,包括齐鲁晚报·齐鲁壹点特别定制的手提包和笔记本。最终票数前五名的饮品店还将提供的七天饮品畅享券。
本次活动投票时间截至6月27日,想参与的市民可以扫描二维码直接进入投票页面。
注意!本月6日至30日泰山区开展飞防作业
本报泰安6月2日讯(记者 薛瑞) 6月6日至6月30日,泰山区将以飞机喷洒药剂的方法,对美国白蛾、杨小舟蛾、杨扇舟蛾等重大林业食叶害虫进行防治。
据了解,飞机每天起飞作业时间为早晨5:00至下午7:00。飞防区域包括泰山区境内的片林、林网林带,河流、沟渠、村庄范围内的所有树木。飞防使用药剂为无公害生物农药灭幼脲,对人、畜、农作物、鱼类等安全,没有危害,但对桑蚕、蚂蚱、蜜蜂、虾等敏感生物会有一定的影响,须提前做好防范工作。
飞机防治作业过程中,防治区域范围内禁止对空鸣放礼炮、燃放烟花;禁止向空中释放气球和风筝等空中漂浮物;禁止向飞机投掷石块、绳索;禁止在飞机作业时间段内架设高压电线杆、铁塔等高大建筑物、构筑物;禁止其他一切可能危及飞行安全的活动。飞机防治作业区内的施工单位、养殖场以及其他相关单位和个人要自行采取有效的保护措施。
泰安职称资格证书本月起可线上查询
本报泰安6月2日讯(记者 侯海燕) 今年以来,泰安市人社局专业技术人员管理处贯彻落实关于“一次办好”改革工作的部署要求,认真梳理在优化服务、便民利民方面的短板,进一步改进工作程序,实现了我市专业技术职务资格证书线上查询功能。6月1日起,通过“泰安人社”小程序中的“微查询”功能即可进行泰安市专业技术职务资格中、高级证书信息查询。
想查询相关证书的市民,可微信关注“泰安人社”公众号,点击“微查询”选择“更多查询”,找到“专业技术职务资格证书查询”,输入需要查询的证书编号、证书中姓名以及查询人单位和查询人姓名即可查询2010年以来泰安市评审的中高级专业技术职务资格证书,真正实现了“零跑腿”不见面服务,提高了办事效率。
撑起儿童健康成长保护伞
——记泰安市岱岳区妇幼保健院儿童保健科医护人员
体检、骨龄检测、感统训练、辅食指导……近日,记者走进泰安市岱岳区妇幼保健院儿童保健科,这个科室肩负的任务不但多,而且每个方面都与儿童健康成长息息相关。
“0-6岁儿童的生长发育监测、早期发展、营养评价、科学喂养、智力测试、微量营养素检测,还有儿童发育性疾病的诊断、治疗和康复,如运动发育迟缓、智力障碍、孤独症、多动症、矮小症、性早熟等,涉及到儿童生理、心理和社会适应能力的各个方面,都是我们的业务范围。”儿保科主任梁慧燕告诉记者。
儿童成长关怀从不缺席
“平常在家可以给孩子做一些视听训练和被动运动,促进他的生长发育,还可以让他趴一趴,练习俯卧抬头的动作。”在检查室里,梁慧燕一边轻柔地检查小宝宝的身体,一边教家长如何给宝宝按摩。“按摩一定要在吃奶1个小时以后,如果宝宝哭闹就停止按摩。”梁慧燕一遍又一遍地叮嘱,直到家长频频点头表示记住了才放心。
每次查体,儿保科医生都要对宝宝做全面的身体检查,包括测量身高、体重、头围;检查皮肤、心、肺、腹部,生殖器、四肢;观察动作、姿势、反应等等。通过检查发现宝宝的生长发育是否正常,同时指导家长如何观察宝宝的生长情况、如何科学喂养。还要看孩子的语言发育、社会适应能力、粗大运动、精细动作是否能达到同年龄段的水平。一个孩子检查下来,医生手上的动作如行云流水,同时既要和孩子沟通,又要不停跟家长交流、指导、回答各种问题,还要建立一份详细的健康档案,让每一位家长对孩子的健康情况都心中有数。
对于每一个孩子和家长,儿保科医生都是不厌其烦,一个问题重复无数遍。“我们希望通过科学的综合性干预活动,使每一个孩子健康成长。”
幼儿健康护航永不放弃
绿茵茵的草坪、茂密的大树、可爱的小动物……在这个童话世界般的运动功能训练室里,孩子们跑着、跳着、投球、过独木桥,一边玩乐一边在训练师和家长的指导下进行运动训练,还有家长带着孩子在这里上亲子早教课。“我们的责任是为孩子进行早期综合发展的训练,使孩子的体格、心理、认知、情感和社会适应性达到健康完美状态。”梁慧燕介绍。在这里针对每一个孩子制定一套完整的训练计划,为他们健康发育保驾护航。
对于儿保科医生来说,最难的不是给孩子做检查,而是发现问题后让家长理解。孩子3个月了还不能抬头,8个月了还不会坐,一岁半了还不能说话,这些问题在有些家长看来并没多大异常,当医生提出诊断意见的时候,他们往往很抗拒,认为医生小题大做,不配合训练和治疗延误了孩子的治疗时机。
“有一个孩子,在两岁半时我们就确诊他是孤独症,但是孩子的家长不愿意接受,我们苦口婆心地给家长讲解孤独症谱系障碍的知识,他们才同意送孩子来做康复训练,但孩子一不配合,家长就想放弃,我们想了很多办法,让孩子坚持做康复,现在他已经6岁了,在与人的基本交流方面有了很大进步。”不放弃任何一个孩子的健康是儿保科医生的天职。
儿保科医生不仅要给孩子上课,更重要的是给家长上课。一些存在语言障碍、运动障碍的孩子,在做训练时需要医生拿出比一般孩子多得多的耐心。为了完成一个训练课程,治疗师要先和孩子建立感情,赢得他们的信任和喜欢,在教孩子的同时还要教家长。一堂课下来常常口干舌燥、声音嘶哑。他们说:“看到孩子们一天比一天进步,我们感到一切辛苦都是值得的。”
幸福成长
“六一”国际儿童节到来之际,荣成市各级各单位开展了丰富多彩的庆祝活动。
成山镇组织第三人民医院医务人员走进好运角小学,开展疫情防控知识进校园活动。医务人员利用免洗洗手液、口罩等实物现场教学,为孩子们讲述了新冠肺炎的危害、传播途径以及个人防护措施等内容。通过教学,增强了孩子们的疫情防控意识和疫情防控能力。
荣成公交集团情深巴士志愿者联合石岛芬芳青少年社工中心,为孩子们带来了特别的儿童节礼物——“拥抱大海、共览荣成”为主题的“亲海之旅”。活动前,志愿者为孩子们现场讲解灭火器、安全锤的使用方法,提升孩子们的安全意识。随后,孩子们在志愿者的带领下,从石岛北流口海边出发,沿我市海岸线一路向东,途经东楮岛、斜口岛等海岸。志愿者和孩子们走近大海,嬉戏游玩。一路风景宜人,欢歌笑语不断。
崖头街道康平社区开展亲子运动会,组织社区居民共同欢度“六一”。活动开始前,参加人员出示健康通行码,社区网格员为其测量体温,发放号码牌。套圈、抛接乐、抛球、跳绳……小朋友们个个活力十足,跃跃欲试,比赛现场的欢呼声、加油声交织在一起。亲子活动让家长与孩子在陪伴中厚植亲情,在互动中共享天伦。
(荣轩)
荣成市医保局举办“医疗保障扶贫救助政策”培训会
医保时空
为全力助推脱贫攻坚,扎实开展健康扶贫,发挥医保扶贫保障作用,近日,荣成市医保局举办“全市医疗保障扶贫救助政策”培训会,此次培训主要针对全市医疗定点机构的扶贫工作人员,共计100余人参会学习。
“我市的建档立卡贫困人口和重点救助对象分别享受哪几种医保扶贫待遇,如果有群众去医院咨询,咱们的工作人员能不能讲清楚、说明白…”会上,市医保局医保科的负责人详细将我市的医保扶贫政策讲解给与会人员,并列举困难群众来访来电较多的咨询问题,一一举例说明。据了解,此次培训旨在进一步落实各级扶贫工作精神,讲透扶贫政策,充分发挥基层医疗机构扶贫工作人员医保政策一线宣传作用,增加困难群众知晓医保扶贫政策的渠道,确保全市困难人员切实明白地享受到医保扶贫政策。
另外,市医保局还组织工作人员成立“政策宣讲志愿服务队”,深入到部分镇街及医疗机构开展医保扶贫政策的宣传和培训,充分发挥广大基层医疗工作者的医疗服务优势,使医保扶贫政策家喻户晓,确保医疗保障扶贫工作取得实效。
(王国平)
得润社区常态化疫情防控
近日,社区工作人员按照疫情防控要求对每一名到社区办理业务的居民进行以下几点检测:看是否戴口罩、是否出示健康绿码,对进场人员测量体温。当遇到没申领或不会申领山东电子健康通行码的老人时,工作人员都会主动上前帮着操作申领,并逐一讲明使用方法。
面对疫情,不获全胜决不轻言成功,我们万众一心做好常态化疫情防控工作,我们相信在这场全民战“疫”中,拧成一股绳的中华民族有信心有能力战胜疫情。
(殷美慧)
港西镇海带丰收,抢晴晾晒
近日,港西镇北部沿海的海堤上,晒满了刚从海里捞上来的新鲜海带。从4月下旬开始,港西镇进入了海带收获季节,沿海的养殖户抓住晴好天气,加快采收、晾晒海带。
为抢抓海带晾晒进度,凌晨4点多,此起彼伏的马达声便响了起来,渔民们便驾驶小船驶向养殖区割海带。经过几个小时忙碌,渔民将满载海带的小船开到岸边。此时,在岸边的吊机手便忙着操纵吊机,将一捆捆海带吊到货车上。海带随后被拉往各个晒场。铺平、裁边、分级、打捆……工人们要不停地弯腰翻动海带,确保海带完全晾干晒透。晒干的海带都被收起来,送往加工厂进行简单的加工、切割,然后就等待包装出口。
(刘莉荣)
世界无烟日崂山街道卫生院在行动
5月31日是第三十三个世界无烟日。为了普及烟草危害知识教育,维护人民群众身体健康,崂山街道卫生院开展了一系列的宣传活动。
利用LED屏,滚动播出无烟日宣传主题“保护青少年远离传统烟草产品和电子烟”,在各楼层张贴无烟标识,旨在让居民远离烟草带来的危害。
进学校开展健康大讲堂,科学引导青少年树立良好的健康观,牢固树立“自己是健康第一责任人”的观念,倡导青少年“拒绝第一支烟”,成为“不吸烟、我健康、我时尚”的一代新人。
进社区开展无烟日宣传活动,通过发放宣传折页,讲解烟草对健康和身体的危害、戒烟的方法、远离二手烟的危害,鼓励居民养成健康的生活方式和卫生习惯,以健康的体魄面对生活和工作。
(毕亚洁)
远离烟草 守护健康
在第33个世界无烟日即将来临之际,崖头街道南山社区开展了世界无烟日宣传活动。
本次开展无烟日活动旨在提醒居民吸烟有害健康,引起居民对烟草危害人类健康的重视,宣扬不吸烟的观念,号召居民们一起行动,投身到反吸烟运动中去,为大家创造一个无烟草的环境。活动现场,工作人员通过发放宣传页,向来往群众们广泛宣传吸烟的危害、戒烟的健康益处等知识,加强对居民“拒吸第一支烟”和“吸二手烟的危害”的宣传教育,进一步提高居民的控烟意识、法规意识和居民对吸烟危害的认识了解,倡导广大居民主动戒烟、用实际行动参与到控烟行动中来。
(张育静)
国网荣成市供电公司
带电拉手新建线路转供负荷改造35千伏靖海站
6月1日,国网荣成市供电公司通过带电作业拉手新建线路的方式,完成35千伏靖海站老旧开关柜改造工程10千伏配网线路负荷切改转供,减少停电时户数4000余时户,涉及的1.6万余户居民用电未受影响。
35千伏靖海站运行超过30年,只有35千伏靖海线一条进线电源,属于“单线”站。本次春检,国网荣成市供电公司计划对16面老旧开关柜进行改造。按常态,变电站停电检修期间,35千伏靖海线负荷需要10千伏线路拉手接带。由于地理位置特殊,靖海站异站拉手线路仅有一条,负荷转供能力有限,需要6条10千伏线路陪停,影响大半个靖海镇客户生产、生活用电。
为了避免客户停电损失,将变电站改造工程停电影响降至最低,国网荣成市供电公司成立专家联合攻关小组,经过多次调研勘查、反复考量,决定结合现有带电作业车、旁路作业设备,利用自主研制的移动计量箱、移动环网柜,通过带电作业手段将变电站开关柜负荷转移到临时环网柜接带,在用户无感知的情况下完成变电站负荷转移。
为解决配网拉手转供能力不足问题,国网荣成市供电公司在无感知转移负荷的同时,对10千伏杨帆线与新建的10千伏竹村线进行了带电拉手,把35千伏靖海站异站拉手线路增加为两条,允许接带负荷增至8000千瓦,临时满足35千伏靖海站配网负荷转供需要。
此次联合带电拉手新建线路转供负荷,技术含量高、多部门协作难度大,全面检验了国网荣成市供电公司落实供电可靠性管控“硬措施”的决心,展现了荣成电力铁军精神,下一步,国网荣成市供电公司将坚持“不停电就是最好的服务”,积极探索新的方式,压降用户停电时间,努力打造更加坚强的网架结构服务地方经济社会高质量高标准发展。
休渔期上门服务渔民安全用电
6月2日,国网荣成市供电公司彩虹炫彩共产党员服务队走进好当家集团,为靠港停驻的近百艘渔船检查、维修配电设施。这是国网荣成市供电公司“三上门”服务休渔期渔民用电的一个片段。
自5月中旬开始,荣成进入黄渤海休渔期,两千多艘渔船将靠岸休整3个月。国网荣成市供电公司彩虹炫彩共产党员服务队主动进船、进渔村、进养殖区,开展“三进”上门服务,确保渔民8900多台供用电设备安全。
活动中,服务队走进渔村,为渔民整修长期闲置的屋内、屋后供电线路及相关的低压配电设备,目前已提供上门服务1129人次,排除隐患47处。为满足岸上渔民生产用电,国网荣成市供电公司开展了近海养殖户设备特巡周活动,组织对257处滩涂养殖区开展加强特巡,确保渔民休渔不休产。此外,国网荣成市供电公司还组人员走进渔港,对靠岸渔船开展安全用电检查,同时利用休渔期用电负荷减少的时机,全面检查制冰厂和码头供用电设备,通过隐患排查和设备升级,超前为渔民9月份开渔生产做好准备。
荣成市人民医院2020年第一期医师讲堂开讲
5月22日,荣成市人民医院2020年第一期医师讲堂拉开帷幕。本期活动邀请医院党委委员、普外一科主任李志壮及重症医学科主任邹洪胜两位“大咖”,讲述从医之路,分享医路心得,讲授专业知识。急诊科、普外科、骨科等创伤中心科室医师及部分年轻医师近百人到场学习。
邹洪胜主任细致入微地讲解了《休克的诊断和治疗》。从休克机制到休克识别及分类、休克的处理等等,他讲解的每一处无不体现着这位资深医生的技术水平及宝贵经验,这种精湛的医术和无私奉献精神,值得全院医务工作者学习。
李志壮主任分享了自己从医以来的心路历程。一场题为《论青年医生的成长》的讲座,再一次鞭策着年轻医师要始终将患者健康放在心中,永远视患者安危高于一切。李志壮主任勤劳付出、执着坚毅的品格与作风也深深影响着在场的每一位听众,引起了全场共鸣。
(李煜)
招远市中医院一行来荣成市人民医院观摩交流
5月28日上午,招远市中医院党委书记邱爱功、副院长李淑锋等一行四人前来荣成市人民医院观摩。荣成市人民医院党委委员、副院长董凯,工会主席孙志军及相关科室负责人陪同观摩。
一行人首先来到医院产科,参观了家庭化产房,产科护士长夏君秀介绍了科室“亲情化服务”理念,温馨的待产分娩坏境以及特色服务项目。大家然后来到病友服务管理中心,中心成立于2018年9月,将涉及全院多部门20余项服务业务进行整合,真正做到“一站式服务”。病友服务管理中心主任席晓阳对中心设立的意义、服务流程的优化及成效等情况进行了介绍。在医院健康管理中心,党委委员、副院长董凯介绍了目前中心的基本概况及健康管理工作开展情况。健康管理中心主任王燕详细介绍了中心的硬件设施、体检流程及信息化系统的运行情况。
招远市中医院党委书记邱爱功对医院特色科室建设及富有人文关怀的服务工作给予高度评价,表示此行获益匪浅,同时希望在今后工作中,进一步加强医院间的交流合作,取长补短,共同发展。
(李煜)
荣成市人民医院邀请国际泌乳大咖讲“喂”爱表白
近日,荣成市人民医院在妇产科门诊孕妇学校举办母乳喂养宣传日活动,邀请烟台市福山区人民医院产后康复中心主任、孕妇学校校长,国际认证泌乳顾问(IBCLC)曲红丽现场授课,40余名新手妈妈及家属来到活动现场。
曲红丽主任现场讲解了母乳喂养、正确的哺乳姿势、如何实现纯母乳喂养等内容,并手把手为年轻妈妈演示正确的哺乳姿势和喂养方法,同时耐心解答了母乳喂养方面的疑问,鼓励准妈妈们积极树立母乳喂养的信心。活动当天,产科护理人员还到门诊发放母乳喂养宣传单,有效扩大母乳喂养宣教覆盖面,当天共发放宣传单100余份。
(王伟伟)
好好爱自己,千万别忽视更年期综合征有这么多是你不知道的!
更年期综合征主要是由于妇女绝经前后或其他原因造成卵巢功能衰退,神经内分泌失调所出现的生殖系统变化和一系列以植物神经功能紊乱为主的症候群。
更年期综合征多发于45-55岁,90%的妇女可出现轻重不等的症状,有些妇女在绝经过渡时期症状开始出现,往往可能持续到绝经后2-3年症状才有所减轻或消失,甚至有些女性朋友则可能持续到绝经后5-10年,长期如此下去,不仅仅对自身身体有极大危害,同时也会影响到与家人情感联络,更有严重者会危及到婚姻生活。
在对于女性更年期综合征治疗方面,荣成市中医院治未病科张志松主任认为,有些女性偏阴虚体质,到了更年期易出现肝阳上亢、心血亏损等证,临床除表现月经紊乱外,常伴有头晕目眩、心烦易怒、潮热盗汗、失眠多梦等,而有的女性素体阳虚,肾阳失于温煦,常致脾阳不足、痰气郁结之证,临床可伴有脘腹胀满、纳少便溏、嗳气吞酸、乏力等症状。
现代临床及试验研究表明,针灸可通过调节机体内环境和自主神经功能,发挥机体的自我调节作用而产生治疗效应,其作用途径涉及神经、内分泌、免疫等多系统多靶点,而且针灸最大的优势就是在于可以根据每个人不同的身体状况进行“辩证施治”,从而达到治疗效果的最佳化!
(王金玲 于文松)
崂山街道卫生院慢病防控暖人心
日前,崂山街道卫生院组织全科医师团队成员下乡入户开展二季度慢病随访。
随访中,团队医师为每一位慢性病患者免费测血糖、量血压,详细询问患者目前的症状、生活方式及用药情况,依据测量结果对其进行随访评估,有针对性的健康教育指导。与患者一起制定生活方式改进目标并在下一次随访时评估进展。告诉患者出现哪些异常应立即就诊。同时开展生活方式指导,从合理膳食、改善睡眠、戒烟、限盐、限酒、合理用药等方面控制血压,血糖。对行动不便的患者提供上门服务。
慢病防控的关键在于未病先防、既病防变!我们将继续努力,提高辖区慢病防控能力,提升居民的健康水平!
(毕亚洁)
荣成市中医院成功完成一例开放型特重颅脑损伤合并脑疝手术
近日,荣成市中医院神经外科和手术室麻醉科联合,以精湛技术和丰富的临床经验,成功完成了一例开放型特重度颅脑损伤合并脑疝手术。
5月27日凌晨,荣成市中医院急诊科接上级指令:一例车祸特重度颅脑损伤患者需紧急救治。当时患者意识丧失,瞳孔散大,相关科室立即启动绿色通道,急救手术。历时五个多小时,这例复杂的颅脑损伤手术顺利完成,患者被送入重症监护室接续治疗。目前患者生命体征平稳。
荣成市中医院神经外科尹远光副主任介绍说,该患者颅脑损伤严重,骨折情况复杂,出血量大,手术难度极大。近年来,我院在治疗颅脑外伤、颅脑肿瘤、脑出血等神经外科疾病方面积累了丰富的临床经验,同时各科室高效率的衔接协助,是这些急危重症病人抢救成功的关键。
(王金玲 臧隆)
融“三生三美”展乡村振兴新貌
从最近召开的管理区高质量发展观摩大会上获悉:按照着力打造生产美、生态美、生活美的“三生三美”乡村振兴战略目标,各街道把实施乡村振兴战略作为新时代“三农”工作的总抓手,充分发扬先行先试、奋勇争先的石岛精神,积极探索政府引导、企业参与的乡村振兴模式,围绕区、街、村三个层面,打造乡村振兴新标杆,涌现出一个个创业创新样板片区,受到上级的充分肯定和社会广泛赞誉。
宁津街道围绕打造石岛渔家风情样板片区,做大做强“茶”文章,打造幸福风情十里古乡,成为特色农业产业拉动的杠杆。该片区涵盖林家流、东楮岛、马栏耩等18个村,面积22平方公里。依托甲子山脉自然生态资源,大力开发高效茶文化产业园。由润嘉农业发展有限公司牵头,联合北和春茶叶种植合作社,投资建设茶叶种植基地,配套茶叶深加工设备和茶文化展馆,综合建设3000亩高效茶文化产业园区,打造荣成茶叶高端品牌。
东山街道围绕打造湖海田园样板片区,选取楼底下、崮山前、八河孔家等8个连片村进行统一规划,放大湖海资源优势,全面推动乡村振兴。依托地处崖头城区与石岛城区之间的位置优势,依托崮山、桑沟湾和龙门港、八河港“一山一湾两湖”的自然优势,发挥“两纵两横”路网优势,借助国和一号国际仿真国际交流科普中心、湖海田园生态园、鹁鸽岛海洋牧场“一馆一园一场”的产业优势,挖掘片区内各村落渔家文化、红色文化、传统文化交替的文化优势,打造集休闲旅游、高效农业、健康养生于一体的乡村振兴样板片区。
斥山街道围绕打造“桃源·里”乡村振兴样板片区,做大做足特色农业加旅游文章,规划占地面积14.21平方公里,涉及9个村居。片区内拥有深厚的文化底蕴,善妙传说、杨家将、“老龟驮碑”等神话故事广为流传;盛家火烧、西寨豆腐、南北窑青陶制品等手工技艺延续百年历史;石岛渔家大鼓、渔民号子等入选国家、省、市级非物质文化遗产保护名录。
王连街道大力发展山水阡陌田园综合体,利用八河库区西部,区域总面积2961公顷,辖括东岛刘家、客岭、赵家山等10个村。今年以来,王连街道把土地规模流转和发展农业特色产业作为乡村振兴工作主要突破口,截止目前共形成茶叶、苹果、苗木、红薯、花卉五个千亩产业示范带。同时,结合样板片区内特色项目布局,重点打造出一条集四季花海赏景、农家风情文化体验、户外采摘休闲运动等多功能于一体的环形乡村文旅风景线。
(杨志礼)
管理区开展儿童节活动
管理区开展儿童节活动
为喜迎“六一”儿童节的到来,5月29日上午,社会管理局代表石岛管理区开展了“迎六一、送图书”慰问活动,为辖区两所学校送去了5000本图书。
本次活动丰富了小朋友们的节日体验,通过慰问,让小朋友们了解书籍是陪伴他们成长的最好伙伴,进一步树立他们爱读书的信念,鼓励小朋友们养成爱学习、爱动手、勤思考、讲文明的良好品质。
张红艳 摄
村庄信用超市陆续开业促进诚信建设
5月21日,伴随着一场喜雨的降临,桃园街道东南海村暖心食堂开业运营暨“巧厨娘”志愿服务队授旗仪式、巾帼信用超市揭牌暨信用表彰仪式隆重举行,15名“巧厨娘”志愿者为20余名老人送上热气腾腾的饭菜,270余名村民领取到信用表彰奖品,村民们笑逐颜开,诚实守信、崇德向善的村风进一步彰显和弘扬。前不久,桃园街道第四家志愿信用超市——山前村志愿信用超市正式开业,同时一季度信用基金发放仪式在这里举行。
目前,该街道已建成暖心食堂5所、志愿信用超市4所、巾帼信用超市4所、便民服务社3处。
5月26日,斥山街道李家河村“巾帼信用超市”隆重开业。“在这里,能用志愿活动的积分兑换商品,真不糙!”近日,港湾街道牧云庵村巾帼信用超市开业,村民们凭着自己参加志愿活动赚取的积分,在超市兑换到了自己心仪的卫生纸、洗衣液等商品。
(赵卓娅 赛文洋)
速读
5月26日9点,“好客山东游我来播”第二季——“好客山东·乐宿”大型网络直播活动走进管理区牧云庵村,精美画作、特色民居、历史故事、渔家民俗、海港风情……无一不让百万观众啧啧称叹。本次在牧云庵的直播,主持人在村党支部书记、居委会主任宋红阳的带领下,挨个走访村里的特色景点,通过对话和实地探访,进行体验。此次活动通过山东省文化和旅游厅抖音、快手、微视、一直播、百度等平台官方账号及好客山东网、山东综合广播、山东交通广播、齐鲁壹点、腾讯看点、山东商报等媒体平台进行联动直播,直播总观看量达896.6万。
(石宣)
农村信用体系建设,是构建和谐社会,提升乡村文明水平的重要一环。近年来,管理区通过建立管理、考核、奖惩办法等举措,结合新时代文明实践活动,基本实现了辖区农村信用体系建设全覆盖,助推了乡村有效治理,让诚信成为了农民的“金名片”。形成了人人主动参与乡村振兴的良好氛围,美丽乡村建设花开争艳。
(王志强)
连日来,斥山街道对辖区各村居开展环境卫生“综合体检”活动,为村居环境建设“把脉开方”。通过集中力量、限定时间、不留死角的大整治行动,各村庄积存垃圾、乱摆乱放、沟渠淤堵等“脏乱差”问题得到有效改善。
(王荣繁)
宁津街道坚持“助农、治水”多措并举方针,突出责任落实,切实抓好农田水利建设。街道明确水利站为牵头部门,包村干部为第一责任人、各支部书记为直接责任人,对辖区内所有沟路渠、塘坝、低洼易涝地及泵站等进行拉网式排查,摸排统计出塘坝11座、泵站12座、大口井9座。组织召开农田水利建设专题会议,结合当前高标准农田建设要求,对辖区农田水利基本情况、部分设施损坏等问题进行研究讨论,制定农田水利建设实施方案、推进台账,定期督导调度,确保保质保时完成任务。
(石信)
5月27日,南极磷虾高端生物开发产业园项目施工现场,大型机械车辆往来穿梭,一派繁忙景象。目前,一期主体工程全部完工,二期正在进行主体施工。
(杨志礼)
5月27日,石岛管理区社会管理局在东山大集组织东山街道、交通运输局、公安分局等11个单位30余名志愿者开展普法宣传活动。
(毕可昌)
近日,管理区首个口袋公园在宁津街道建成。公园虽然占地面积不大,但“麻雀虽小五脏俱全”,园内花卉草木皆有,长椅等基础设施也将逐步完善。
(王嘉怡)
“社会妈妈虹桥拉手活动”捐赠发放仪式
多年来,由市妇联倡领开展的以凝聚社会爱心、帮扶困难学子为主旨的“社会妈妈虹桥拉手活动”如火如荼。今年在突发疫情的背景下,这项一以贯之的善举显得格外分量很重。日前,斥山街道“社会妈妈虹桥拉手活动”爱心捐赠仪式在荣成市第二十三中学区举行。街道办事处相关领导、学校负责人、来自各界的“社会妈妈”、受资助学生家长等,共计30余人参加了捐赠发放仪式。
仪式上,来自石岛供电公司、黄海集团、石岛集团、荣成法院等为代表的“社会爱心妈妈”们给荣成市第二十三中学区24名贫困学生带来了爱心和祝福。由于学校非毕业班学生尚未复学,所以今年“社会妈妈”们的爱心捐赠全部由受助家庭家长认领。在逐一接受沉甸甸的爱心捐赠之后,受助家庭代表进行发言,真心表达了对“社会妈妈”的真挚感激之情。家长们纷纷表示,一定要从自身做起,怀感恩的心,好好养育孩子,让孩子知道有太多的好心人关爱着他们,鼓励克服暂时的困难和挫折,并将对社会的感激之情转化成学习动力,树立远大理想,培养优良品德,刻苦学习文化知识,争取早日成为祖国有用之才,以实际行动回报社会。
街道妇联主席周丽娜在讲话中鼓励困难家庭用坚强的意志战胜逆境,把暂时的困难看做是人生前行的精神财富,让孩子们健康快乐地成长,早日成为国家的栋梁之才。李晓刚校长对各级妇联大爱无疆的具体规划和“社会妈妈”们的积极踊跃、无私奉献表示衷心地感谢,并勉励所有在场家长,“再穷不能穷教育”,和学生一起树立信心,克服困难,自强不息,砥砺前行,共同拼得美好的明天。
(于海英)
防疫知识进校园,携手共筑“安全墙”
六一儿童节当天,成山镇组织第三人民医院医务人员走进好运角小学,为学生们开展疫情防控知识进校园活动。
主题课堂上,医务人员身穿白大褂,为满眼期待的孩子们讲述了新冠肺炎危害、传播途径以及个人防护措施等内容。为了让讲解内容更直观、生动,现场感更强,医务人员还拿出免洗洗手液、口罩等教学道具,通过现场教学、一对一演示等方式向孩子们讲解了“六步洗手法”以及口罩佩戴、摘取的正确方法。
通过此次活动,既增强了孩子们的疫情防控意识,又有效增强了孩子们的疫情防控能力,营造了校园疫情防控的良好氛围。
(岳明阔 刘新芳)
府新小学举行校级吉尼斯跳绳争霸赛
为了进一步丰富校园文化生活,为增强学生的身体素质,提高学生运动的热情,近日,市府新小学举行线下校级吉尼斯跳绳争霸赛,此次比赛是之前线上班级吉尼斯跳绳争霸赛的延续。
疫情期间,比赛按年级进行,保持一米以上间距,不聚集,不扎堆。最后经过激烈角逐,产生年级和校级吉尼斯争霸赛冠亚季军。
学校多采用以小型比赛的方式调动同学们运动的热情。既丰富了学生的校园生活,也调节了同学们复学紧张的情绪,增强了身体素质,也增强了府小少年们战胜疫情的信心。
(王小英)
美育服务教育 儿童节的特别礼物
近日,荣成市斥山街道中心完小与石岛芬芳青少年社工中心共同开展美育服务教育——彩色童年。
活动开始,由孙老师为同学们介绍本次主题画的背景及创意来源,并为孩子们展示了几张范例画。孩子们用他们手中的画笔来展现庆祝六一儿童节热闹的场面。孩子们也纷纷通过自己的画作表达了自己对小伙伴们的祝福,祝大家六一儿童节快乐,
通过这样的活动,让这些孩子们在一起,不仅学会接纳、沟通、融入、合作、创新,还很好的培养他们善于动脑、动手、善于知难而上都学习习惯和精神面貌,最大限度的让他们发挥自己的聪明才能,尽可能的挖掘他们的潜力,为他们的心理健康成长起到积极的推动作用。
(谷大鹏 汤丽媛)
石岛实验小学开展学生摸排指导培训讲座
近日,石岛实验小心开展学生摸排指导培训讲座。本次讲座由分管学校心理教育的孙主任主持,全体班主任参加。
讲座中,孙主任结合案例,详细阐释,围绕着营造积极的班级氛围、留心观察学生的异样、关注特殊学生的情绪变化、推荐心育教师工作策略四方面向班主任讲述具体的摸排方法。并对具体心理问题,展开细致解说,指出应对的方法。
通过此次讲座,班主任老师全面了解了摸排工作的操作方法,科学引领,精准实施,提前增加防范意识,将隐性问题及时扼杀于萌芽状态,提早发现、尽快干预。
(王艳)
石岛实验小学接受“六一”图书捐赠
在“六一”国际儿童节来临之际,石岛管理区社会事务局领导来到石岛实验小学开展庆“六一”国际儿童节图书捐赠活动,并向全体学生致以节日的问候。
此次活动,捐赠的各类适合学生阅读的价值4万余元课外读物。这部分书将安置到阅览室、图书角、读书长廊等阅读场所。各类丰富充实的书籍将使同学们开阔眼界,增加知识储备量,濡养精神内涵,为今后人生的发展打上亮丽的底色。从这个角度讲,这一份馈赠无疑是最珍贵也是最妥帖的节日礼物。
领导们的关心与重视是学校开展工作的坚强后盾与力量来源。在今后的工作中,学校将结合书香校园的开展,通过多种渠道、采用不同方式来激发学生的阅读兴趣,培养学生成为谦谦有礼、底蕴丰厚的书香少年。
(王艳)
市青山小学举行“备开学,大家访”活动
开学在即,青山小学为了解学生疫情期间居家学习的情况,帮助学生和家长疏导开学前的心理健康问题,进行了“备开学,大家访”活动。
学校高度重视本次家访活动,要求每个班级结合学生疫情期间网课的参与度和家庭情况,做到“十个必访”,也通过此次家访宣传教体局疫情防控工作和学校开学筹备工作,解答家长的疑惑,也进一步了解学生对开学的心理变化。
家访后,老师们详细的填写家访活动记录单,梳理学生在家心理和学习情况以及家长反馈的建议,在家访中发现的问题和感想,制定了开学相对应的措施,也为开学的教育教学工作打下基础。
家访是学校教育的一项重要常规工作,需要长期持续抓好。我校将家访工作常态化,建立家校定期联系,关注学生的点滴,给学生一个健康阳光的未来。
(张烨)
学海扬帆从“心”启航
近日,石岛实验小学开展“学海扬帆,从‘心’启航”系列活动,制定有效措施,帮助学生建立“心理缓冲期”助力学生顺利复学。
家校沟通协作,实现无缝对接。班主任教师和家长相互协作,密切配合,学校希望家长关注孩子的情绪波动、心理变化,出现异常反应,及时给予心理上的疏导,解决不了求助学校,学校将与家长一道共同面对,积极寻找解决之道,帮助孩子走出这段特殊的心理波动期,排解内心困扰,让孩子们快乐无忧、积极乐观地投入新学期的校园生活。
抓住疫情契机,开展生命意义专题教育。“植树先植根,育人先育心”。为做好积极做好心理防护,助力复学复课,班主任老师以《别样的新学期》为主题召开开学第一课,与同学们共同“探讨”疫情下的成长,引导孩子们厚植家国情怀,学会担当,铭记责任,用感恩的心去体验生活,用知识武装自己,用理想点燃激情,为创造更美好的中国贡献力量,从而实现亮丽光彩的人生价值。通过观看援鄂医护人员连续作战一个多月,圆满完成武昌方舱医院工作任务等,学习她们勇挑重担,不惧艰险的职业精神,学习她们坚守岗位,视病患如已出的职业道德,用榜样的力量激励学生克服困难,不断前行。
(王艳)
文登区流动人员人事档案数字化扫描工作正式启动
本报文登6月2日讯(记者 李伟 通讯员 侯丽芳) 为推进文登区流动人员人事档案信息化建设,提高人事档案公共管理服务水平,实现规范化管理。5月27日,文登区人社局全面启动流动人员人事档案数字化建设,对全区4.7万余份档案进行系统化、规范化的电子扫描,即利用信息化技术,将档案内的纸质资料进行扫描、拍摄处理,形成图片等进行电子化存储归档管理,整个工作于11月底前完成。
加快推进档案数字化及信息化建设,是全面贯彻落实审批服务便民化、优化营商环境和推进“一次办好”改革的具体举措,也是提升档案公共服务能力、提高服务质量的重要基础保障。近年来,文登区人社局高度重视流动人员人事档案数字化工作,积极争取省级流动人员人事档案数字化试点单位,在前期反复调研、论证的基础上,顺利完成从档案库存清点、档案规范化建设、电子档案信息化系统的培训使用、场地选择等前期准备工作。
为保障档案数字化顺利推进,切实加大流动人员人事档案信息化经费投入,今年争取财政资金200万元用于档案数字化加工,并通过竞争性磋商的方式,委托济南汉图软件公司按照《流动人员人事档案数字化经办流程》、《流动人员人事档案数字化信息采集规范》要求,统一采集项目、统一指标体系、统一代码,包括索引建设、结构化信息项采集(23个信息项)、档案数字化扫描以及电子档案影像挂接到系统(干部分十大类挂接,工人分八大类挂接)等四项内容,确保所有档案扫描成像并导入档案信息查询系统。
文登区人社局相关负责人介绍,人社综合业务离不开档案,而档案数字化的运用需要有一个综合统一的经办平台支撑,二者相辅相成,互相搭台,档案数字化建设完成后,将尽快链接到业务操作系统,应用到今后大厅窗口业务办理中,除首次受理和特殊情况外,窗口业务一律流转使用电子档案,切实提升流动人员人事档案业务经办平台应用水平。同时,通过档案数字化共享,不断优化窗口业务服务流程,探索流动人员人事档案网上业务经办,不断提高网办事项比例,不断提升档案公共服务能力和服务质量,为全省档案信息化建设提供文登经验。
入选省“十大返乡创业农民工”就有5万元奖励
本报文登6月2日讯(记者 李伟 通讯员 王洪浩) 日前,记者从文登区创业指导服务中心获悉,山东省“十大返乡农民工”评选活动启动,入选的返乡创业农民工可以获得5万元奖励。
据了解,必须满足以下全部条件才可以参加评选,身份证居住地为威海市乡镇及乡镇以下、曾离开户籍所在地、有外出务工经历的返乡创业劳动者,为所创办经济实体负责人或合伙人,该经济实体持续正常经营3年以上(2017年4月31日以前注册企业),符合国家法律法规政策规定;创业事迹须具有可复制、可推广、典型示范性等特点,能够对返乡创业工作起到带头引领作用;该经济实体须具有一定经济规模、较好的经济效益和社会效益,积极创造就业岗位,创业带动就业成效明显,吸纳带动就业10人以上;该经济实体须依法与员工签订劳动合同。无使用童工,侵害员工人身自由、人格尊严和就业歧视等现象,未发生过重大劳动争议或群体性事件,无重大工伤事故,无不良诚信记录、无违法经营行为。
符合条件的参选返乡创业农民工需准备好以下申报材料:
1.《评选报名表》纸质一份(附带电子版);
2.本人身份证、营业执照复印件各一份;
3.员工花名册(含联系方式)、劳动合同、工资支付凭证复印件以及最近三个月经营记录(银行流水);
4.申请人专业等级证书、接受专业培训证书、其他荣誉证书;
5.个人事迹3000字以内(从业、学习、培训、荣誉、特长等情况)。需同时报送文字材料(采用通讯体裁)和视频材料(视频需刻盘,格式为高清无压缩mp4或mpg文件,画面比例为16:9,分辨率为1920*1080),着重介绍申报人返乡创业典型事迹和经营状况。
各参赛选手于6月8日前将电子版材料发送至文登区创业指导服务中心(地址:文登区世纪大道84号8楼805室,电话:0631-8469456,邮箱:wdcyzdfwzx@163.com)。威海市人社局将组织专家对报名人员的事迹和相关材料进行审核、筛选、评定,确定人选报省公共就业和人才服务中心。省组委会将成立实地考察小组,对入围候选人及经济实体进行实地考察打分。评审委员会通过项目路演等形式对候选人进行评审。根据实地考察得分和评审委员会得分情况,确定入围候选人最终成绩,得分前10名候选人确定为第二届山东省“十大返乡创业农民工”人选,给予通报表扬,并进行颁奖。
评选出的第二届“十大返乡创业农民工”将受颁证书并给予5万元奖励,还可享受省级创业导师、公共就业和人才服务机构“一对一”创业辅导,符合条件的还可给予创业担保贷款支持,落实相关创业补贴政策,同时免费参加各级人社部门组织的创业培训项目。
书法进军营
为大力弘扬传统文化,进一步加强军地文化交流,活跃军营文化氛围,5月30日上午,文登区文联、文登区退役军人事务局和文登区书法家协会联合组织5名书法家来到91951部队现场创作书法作品,捐赠给部队官兵。活动现场,书法家们聚精会神,笔走龙蛇,各展才艺,一幅幅翰墨佳作,让现场观赏的部队官兵零距离领略了中国传统文化的独特魅力,体会到书画家们对驻文部队官兵的深情厚谊。此次活动有效促进了军民融合、社会和谐安定,营造了新时代拥政兴军的浓厚氛围。
通讯员 苗华杰 孙大伟 摄影报道
文登区工信局督导辖区企业做好常态化疫情防控工作
本报文登6月2日讯(记者 曲君伟) 日前,文登区工信局“双包双促”企业公益服务队对辖区企业开展了专项督查检查,从“一、二、三、四”四个数字入手,督导企业严格落实和完善常态化疫情防控各项措施,助力复工复产企业安全生产。
“一”企制定一策
为深入贯彻“外防输入、内防反弹”的防控策略,不断巩固疫情防控工作持续向好的态势,文登区工信局班子成员负责的“双包双促”企业公益服务队定期研判形势,持续深入辖区企业,加强衔接协调。在已走访的企业中,服务队“面对面”与企业负责人交流,要求其建立起完善的企业内部疫情防控体系,协助其制定防控方案预案,明确疫情应急处置措施与流程,落实疫情防控“一企一策”。
同时,公益服务队对企业的防控策略进行了细致的审查,要求厂区内要实施分区作业,控制会议频次和规模,减少人员聚集。同时做好防疫物资储备工作,为员工配备必要的防护用品,指导企业做好个人防护。
“二”码登记示警
“双包双促”企业公益服务队在辖区企业检查常态化疫情防控工作时,大力宣传引导企业做好职工电子健康码申领和亮码通行工作。检查期间,服务队明察暗访,确保企业严格落实进出厂区人员的扫码登记工作,并且安排专人负责扫码登记筛查工作,发现问题立即报告。
登记显示为“红码(确诊病例、疑似病例以及来自防控重点地区和高风险地区的人员等高风险人员)”、“黄码(14天内有发热、干咳、气促、呼吸道症状、以及居家隔离期未满的人员等中风险人员)”这两种人员,企业必须第一时间向上级部门和文登区工信局报告,并安排专人专车将其“点对点”送至汤泊温泉集中隔离点登记、检测并配合做好相关隔离管控工作。
“三”类重点排查
企业公益服务队督导企业期间,按照“谁用工、谁排查、谁负责”的要求,督促企业严格对所属员工中的三类人员进行详细排查。这三类人员是:前14天内有疫情中、高风险地区旅居史的人员;疫情被判定为中、高风险地区该次疫情传播链首例病例确诊前14天内到达文登区的人员;其他疫情重点地区流入文登区的人员以及上级部门研判具有风险的其他人员。
企业公益服务队同时要求辖区企业排查自4月23日以来,由疫情中、高风险地区旅居经历的来文、返文人员和密切接触者。如有相关人员,要求其第一时间向上级部门以及区工信局报告。同时,文登区工信局做好预警批复措施,辖区企业若涉及来自疫情中、高风险地区的商业往来出差行为,至少于抵达前3天向上级主管部门以及区工信局报告相关信息,并做好必要的个人防护。企业上报自查结果后,文登区工信局将进行严格的抽查工作。
“四”早措施落实
为落实“早发现、早报告、早隔离、早治疗”的四早措施,文登区工信局“双包双促”企业公益服务队派专人对接企业疫情防控工作具体负责人,协助其与文登区的疾控机构、医疗机构建立信息畅通渠道,要求其及时、主动报告涉疫情况并配合做好相关调查处置工作。
企业公益服务队还重点检查了企业内部设立的隔离观察区域,一旦发现员工出现发热、呼吸道症状时,要第一时间向上级部门报告,迅速隔离,并联系上级部门安排就近送医。对于有条件的企业,要求其做好应急预案,留出运送隔离人员的“隔离车”。对于没有条件的企业,文登区工信局为其与相关部门牵线搭桥,确保运送过程中安全、有序。
接下来,文登区工信局的企业公益服务队将慎终如始、真抓实干,进一步夯实常态化疫情防控主体责任,扎实落实各项防控措施,确保万无一失。
梁丽超:守护健康“疫”无反顾
梁丽超,文登区妇女儿童医院妇保科主任,一直以来,她总是身先士卒。1月29日,梁丽超被安排为温泉大酒店隔离点负责人,从此连续在这里奋战了一个多月,平均每天工作14小时,履行着一名医者的神圣职责和担当,践行着一名党员的初心和使命。
强化管理密织管护网
3月4日,温泉大酒店隔离点迎来了一批需要隔离的88名人员,面对如此大的人流量,梁丽超立即与同事们忙碌起来。
集中隔离医学观察点是疫情防控的主战场之一,温泉大酒店隔离点共有35名工作人员,包括护理人员、医生、行政人员和民警等多个工种。梁丽超上任之后,立即从建章立制入手,严格按照相关文件要求,加紧制订隔离点的安保检查制度、院感人员岗位职责、登记报告流程等10余项规章制度。强化督导落实,提高集中隔离点的管理,进一步加强感染源的控制。
此外,梁丽超明确职责分工,落实责任到人,努力做好人力调配,理顺工作流程。在梁丽超的协调安排下,医护人员分为3组:医学观察组冲锋在一线,对留观者出现的各种身体不适情况及时进行诊疗;疫情质控组统计上报、追踪随访;感染防控组未雨绸缪、严防死守。每天,梁丽超都会利用晨会的时间,对检查发现的问题,抓整改抓落实,与同事们一起携手“通关”。
全方位关心留观者获赞誉
为避免交叉感染,各楼空调全部关闭,酒店电暖气数量有限,梁丽超将电暖气优先给留观者使用,她和工作人员则在艰苦的条件下工作。
2月29日,到武汉运送抗“疫”物资的孙先生返回后需要隔离,在与家人没有接触的情况下,他的妻子也被要求隔离。他认为家人受到这样的对待十分不公,情绪一度激动要强行离开隔离点。梁丽超首先协调民警介入,然后与心理医生一起做孙先生的工作,并及时与各方进行沟通,经过多方协调,最后孙先生的妻子解除留观,工资也不扣发。事情的妥善解决使孙先生平复下来,安心接受留观。
正是由于在饮食上、生活上等各方面细致周到的服务,离别时很多留观者由衷地诉说满意之言,表达感激之情,大家的真挚情谊也让梁丽超坚定了自己的决心和勇气。
隔离点处处流露关爱真情
由于长期超负荷运转,有些工作人员也难免会产生情绪上的波动。梁丽超发现苗头后会马上着手解决,如果是因为条件艰苦,她就向上级申请购买工作和生活用品;如果有些年纪小贪嘴的,就让护士长给她们带回饺子等好吃的解馋;如果是身体劳累,就安排适当增加休息……她对同事的关爱可谓无微不至。来隔离点的其他医护人员都进行了轮换,唯有梁丽超一直坚守。
3月3日,梁丽超的母亲亲手给她包了饺子送过来。吃着尚有余温的饺子,梁丽超的心里感到暖暖的。老人不久前才做了大手术,病体尚未康复。隔着一个玻璃大门,四目相视,梁丽超心里五味杂陈。已经一个多月没回家了,但家人对她的工作非常支持。望着年逾花甲之年的母亲在寒风中离去的背影,泪水不禁涌入了她的眼眶。
或许,就像她自己说的,她对不起父母、孩子,但她一定对得起自己的工作、对得起自己的使命!
通讯员 解英臻
健康扶贫暖人心 共建幸福家庭
本报文登6月2日讯(通讯员 于龙飞) 近日,环山社区卫生服务中心党支部成员和家庭医生团队服务人员,分为四小队深入贫困村,督导扶贫各项政策落实情况,提高贫困居民满意度。
环山社区卫生服务中心始终把健康扶贫摆在重要位置。先后在口子后、帽埠耩村、西坑村等,组织开展志愿者义诊活动、健康知识讲座活动、贫困人口健康查体活动,把健康扶贫送到村民心里。
贫困居民诊疗费用有哪些优惠政策?
“先诊疗、后结算”政策建档立卡贫困患者在各级医疗机构办理住院手续时,无需缴纳住院押金,患者出院时,直接结算个人自付部分住院费用。
“两免两减半”政策建档立卡的贫困患者免收个人自付的普通门诊挂号费、诊查费(含基层医疗卫生机构一般诊疗费),专家门诊诊查费以及大型设备检查费(CT、磁共振)减半收取。
免费下乡送药服建档立卡的贫困患者有任何身体不适,都可随时联系家庭医生,经家庭医生健康指导后,如需服用药物,可通过邮寄的方式送到家中,免除配送费。
健康扶贫各项活动的开展,切实提高了基层群众对健康帮扶政策的知晓率,营造了良好的健康扶贫工作氛围。环山社区卫生服务中心还结合医护人员专业与技术优势,针对帮扶村健康扶贫工作的薄弱环节,加强组织领导,强化责任落实,明确目标任务与强化工作责任,确保各项工作落到实处,明确方向,推动健康扶贫工程的深入实施。
守护健康 手当其中
本报文登6月2日讯(通讯员 朱霖) 洗手是一件很小的事,也是一件很重要的事。2020年5月5日是第十二个世界手卫生日。手卫生日当日,文登区妇幼保健院结合疫情防控和医院标准化建设工作实际,开展以“守护健康·手当其冲”为主题的系列手卫生宣传活动,强化手卫生规范,维护患者与职工安全。
活动当天,文登区妇幼保健院的手卫生志愿者们深入临床科室向医务人员、患者及其家属宣传手卫生相关知识,详细讲解了洗手的重要性及正确洗手方法,大力呼吁大家参与到手卫生活动中,促进群众养成正确洗手的良好卫生习惯和健康行为。
医务人员介绍,手卫生是预防和控制感染最简单、最方便、最经济的措施。通过正确的洗手方法,可以最大限度的减少手部的污染,切断感染传播的途径,减少人与人之间的病原菌传播,有效预防感染的发生。。
通过本次手卫生活动的开展,提高了医务人员手卫生意识和群众手卫生依从性,增强了他们对感染控制的责任意识和防控能力,为切实减少医院感染奠定了良好的基础,为群众健康增添一道坚实的防护墙。
此次疫情防控更加凸显了手卫生的重要性,标准预防措施中手卫生就排在第一位,在不同区域个人防护指引中,手卫生放在第一位。
感控需要人人参与,希望人人成为感控实践者,人人是标准预防措施的模范遵守者,人人付出行动,兑现安全你我他。
界石镇村卫生室服务无缝覆盖
本报文登6月2日讯(通讯员 杨清杰 刘晓林) 为规划提升村级卫生室服务能力,今年,界石镇政府及卫生院将原有12处村卫生室进行改建扩建,新建贫困村卫生室5处,其他村卫生室3处,实现全镇65个村,村卫生室、村卫生室服务点全覆盖。
5月28日上午,威海市卫健委领导及专家组到我镇对市级卫生室蒿耩村卫生室进行督导验收。专家组现场对卫生室落实信息化运行、总体布局设置、医疗设备配套维护、基本药物使用等,进行全方位考核验收。
村级卫生室硬件设施的升级,将为辖区30000余群众提供更优质的服务,解决群众看病难、就医不方便的问题。对家庭医生签约服务、疫情防控、中医适宜技术推广、健康扶贫工作落实,将发挥重大作用。镇卫生院将在今后工作中,加强人员的培养与培训,依托卫生室、卫生服务点加大巡诊力度,更好地为人民健康服务。
依靠科学,健康扶贫
本报文登6月2日讯(通讯员 董华卫) 为打好健康扶贫收官之年的攻坚战,葛家中心卫生院积极响应上级的号召,先后召开了两次全院职工大会,全体总动员,强调2020年为全体医院人的扶贫攻坚战之年,要步调一致,一手抓抗疫,一手抓扶贫,同时还要兼顾医疗质量,多手抓,要齐抓共管,依靠科学开展健康扶贫。
按PDCA开展工作,在部署扶贫工作时丁红洁将家庭医生入户随访需要注意的问题逐一列表标明,让大家依照模板就能把活干好不易遗漏。为了保证质量,扶贫工作开始之初,职能科室成立了扶贫考核小组,制定了健康扶贫考核细节,及早对健康扶贫进行检查督导,第一时间发现问题并解决问题。
通过一个个闭环管理,贫困户的家庭医生的知晓率、两免两减半知晓率、家庭医生的满意度等问题在逐步得到改善,家庭医生都慢慢成为了贫困户的老朋友,保健医了。一次次的回访中我们虽然付出很多,但看到贫困户的信任和笑脸,我们的内心也充满了喜悦和成功感。我们将继续深化、细化、实化健康扶贫工作,坚决打赢脱贫攻坚战。
信用建设进医院
本报文登6月2日讯(通讯员 牛英华) 为进一步激励诚信行为、弘扬守信精神,根据文登区卫健局《威海市文登区信用“进机关”(医护人员、患者及家属)积分管理试行办法的相关通知要求,葛家中心卫生院认真贯彻落实,在全院营造守信立信观念。
近日,医院专门组织召开信用“进医院”专题工作会议,全体干部职工几种学习了威海市文登区信用“进机关”(医护人员)积分管理试行办法,详细了解卫生健康信用分主要用来记录医护人员在医院内部的活动行为,要求医务工作者在职业道德、工作纪律、社会公德等方面严格要求自己,把诚信建设摆在重要位置,提高优质服务水平。
同时,医院还专门成立信用议事会,建立医护人员信用档案,按照科学合理、职工公认的原则, 逐步完成信用信息采集、认定、录入以及“海分贝”的挂钩计算、申报等工作。
下一步,医院将“信用进医院”与实际工作相结合,全力推动诚信文化在医院传播,下沉到行业一线,积极构建医院诚信服务、诚信管理、诚信自律相结合的诚信体系,树立医务人员廉洁从医的良好形象。
最美男护在身边,路边救人显神威
本报文登6月2日讯(通讯员 于晓丽) 5月15日上午,葛家中心卫生院急诊科的办公室里出现了手持锦旗的姊妹俩。她们是专程来为急诊科护士王彬全送锦旗的,感谢他对突发车祸的妹妹进行的及时救治。
原来事发当天,恰巧王彬全在同学经营的奶茶店里。闲来望向窗外的他看到一位骑电动车的女子在下坡的时候发生了意外,整个人以抛物线的姿势重重的摔在地上。出于一名120急诊护士的本能,王彬全立即从奶茶店飞奔到患者身边,在查看伤情并进行初步的救治工作的同时,他指挥身边的人拨打120急救电话。
120急救车赶到后,他与急救医护人员交流了现场情况及患者病情后,悄悄的转身离去了。患者被送到医院进行了救治,诊断为硬膜外血肿、锁骨骨折、肋骨骨折。经过及时的治疗,现已出院在家休养。
她姐姐说,当时知道妹妹受伤时被一名好心人在现场救助的时候自己就特别感动,只是当时妹妹处于昏迷状态,病情重,也离不开人,所以自己分身乏术就没能有时间去寻找这位好心人。后来妹妹病情好转后,她多方打听,才找到这位热心肠的人----王彬全。她多次表示要当面致谢,都被王彬全给拒绝了。得知他是葛家中心卫生院的急诊护士,被屡次拒绝的姊妹俩制作了锦旗,就直奔医院急诊科,把正在上班的王彬全给堵了个正着。
“王彬全的举动,为我们医院全体医务人员树立了榜样。平时,她就是一名热心肠的的好护士,之前还多次帮过周围村子女不在身边的患者联系就诊及住院事宜。”当王彬全救人的消息传来,葛家中心卫生院慈院长称他的救人举动为“意料之中”的事。
事后,王彬全回想整个过程,他说当时发生一切发生的太突然,当时也没想什么。可能是出于急诊护士的天性,在遇到这样的情况时,唯一的想法就是要去对患者进行救治,因为救死扶伤医务人员的本职工作。
威海市人社系统素质能力大提升暨“一次办好”现场推进会在文登区召开
通讯员 刘洁
5月30日上午,威海市人社系统素质能力大提升暨“一次办好”现场推进会在文登区召开。此次会议是全面落实市委市政府“重点工作攻坚突破年”决策的部署会,是促进全市人社系统干部素质能力提升的推进会,更是推动“一次办好”改革、优化营商环境攻坚突破的誓师会。威海市委组织部副部长、市人社局党组书记、局长王子明,文登区委书记张宏璞,文登区委常委、区委统战部部长张凌飞,威海市局领导班子和部分科室负责人及各区市人社局班子成员50多人,首先观摩了大水泊镇便民服务中心、天福办新城社区服务中心基层公共(就业)服务平台规范化建设情况。随后,又观摩了文登区人社局综合服务大厅,参观了党建工作的有关材料。
观摩结束后,在文登区人社局召开会议,各区市设分会场,全市人社系统干部职工集中收听收看。会上,文登区委常委、区委统战部部长张凌飞致辞。
文登区人社局党组书记、局长刘丽介绍文登的工作经验。文登人社局始终以“一次办好”改革为契机,坚持党建统领、以廉为镜、服务为先、业务并重的思路,积极开展“四型”机关创建活动,不断擦亮“真情人社,服务先锋”党建品牌,全面推进“一次办好”改革走深走心走实。第一,坚持党建引领,夯实组织基础,不断增强基层党组织和干部队伍凝聚力战斗力。一是坚持强党性、树公信,打造坚强领导班子。突出抓好关乎全区发展的中心工作、市局和区委、区政府重要部署、群众关心的热点问题,千方百计做好保障和改善民生工作。落实“两个责任”,梳理146项廉政风险点,不断强化按规矩办事的意识和工作机制,增强班子的公信力。二是坚持打基础、重规范,打造过硬基层党支部。实行党建目标管理,制定《基层党建考核办法》,建立“党建工作周任务清单”,对党建工作不达标的坚决取消评优资格,在全局形成“党建工作上不去,评先选优‘靠边站’”的激励导向。三是坚持强动力、增活力,打造高素质党员干部队伍。干部使用实行定期轮岗交流,引导年轻干部有计划地下沉到服务窗口和一线岗位,加快干部锻炼成长。建立每月通报表扬机制,树立一批以“山东十大人社先锋”为代表的“身边榜样”。第二,发挥党建优势,提升成效转化,全面激活人社改革创新发展工作新活力新动能。秉承“阳光、真情、高效”服务理念,按照“城乡统筹,协同发展”的总体思路,坚持以“放管服”改革为重点,以“一次办好”为目标,以一体化建设为抓手,以工作创新为引领,以经办“至简”为核心,推行综合柜员制,141项“一次办理”事项纳入受理范围,实现“一窗受理,全科服务”。在此基础上,加强基层平台规范化建设力度,通过政策扶持、资金保障,加快15个镇街基层平台软硬件设施升级更新工作,91项业务下沉镇街办理,9项业务下沉社区办理,让城乡群众享受到“无差别”的人社服务,公共服务能力进一步提升。
王子明同志对下一步工作进行了安排部署。一是提高站位、保持清醒,深入推进全面从严治党。强化政治引领,注重源头预防,夯实主体责任,推进党建工作和人社系统中心工作互促并进、同频共振。二是压实责任、标本兼治,全力抓好党风廉政建设工作。强化对权力运行的制约和监督,为决胜全面建成小康社会、决战脱贫攻坚提供坚强保障。三是加强学习、补齐短板,全面提升干部职工素质能力。通过“干部素质能力大提升”专项活动,实现干部队伍综合素质、业务能力、工作作风的大提升。四是持之以恒、标本兼治,全力推动行风建设提质增效。加强监督管理,持续练兵比武,精准发力、靶向施策,推动党风行风的根本好转、营商环境的全面改善以及为民服务质量的全面提升。五是转变理念,大胆探索,以创新思维引领创新实践。做到积极寻标对标、学习借鉴,牢固树立创新意识,努力创新工作方法,不断丰富工作内容,推动工作创新发展、超越发展。六是强化担当,精准发力,全力推动重点工作攻坚突破。在服务群众、人才兴威、服务企业上攻坚突破,不断提高人民群众获得感、幸福感、安全感。
会议强调,推进干部素质能力提升和“一次办好”改革,是人社部门“争当走在前列排头兵”的重要举措。各级人社干部要全力以赴抓贯彻、抓执行、抓推进、抓见效,以严明的纪律、良好的作风和持之以恒的决心,敢于动真碰硬,力求实绩实效,以钉钉子的精神做实各项工作,奋力开创“精致城市·幸福威海”全新局面。
下一步,文登区人社局将以此次现场会为契机,建立健全常态化培训机制以及综合柜员集训、镇办干部定期下村指导等基层工作机制,推出集中训、轮岗学、现场教等培养模式,确保基层人社服务水平持续提升,为全面推进“一次办好”改革走深走心走实提供智力支持和根本保障。
社保缴费电子票据可以线上开具啦!
5月起,威海市将全面启用社保基金电子票据,不再提供传统纸质社保基金票据
参保缴费“一网通办”,不用再跑腿啦!
为深入贯彻落实“一次办好”改革要求,威海市于今年5月起,全面启用社保基金电子票据,不再提供传统纸质社保基金票据。企业缴纳职工养老保险、失业保险、工伤保险,机关事业单位缴纳职业年金和灵活就业人员缴纳职工养老保险成功后,可登录威海市人力资源和社会保障局网上服务大厅下载电子票据。
社保基金电子票据的启用,变“工厂印刷”为“系统生成”,以网络通讯代替人工传递,创新推动了财政票据管理全过程无纸化、电子化和便民化。参保单位和灵活就业人员足不出户实现网上申报和网上缴费,真正实现缴费取票“零跑腿”,打通了社保线上缴费“全链条”的最后一环,实现社保缴费“一网通办”。
一、参保单位或个人需提前下载IE11、谷歌、搜狗、360极速任一浏览器。
二、通过以上任一浏览器登录威海市人力资源和社会保障局(http://rsj.weihai.gov.cn),进入服务大厅。单位和灵活就业人员分别选择单位办事-社保网上申报和个人办事-社保个人网上申报。
三、参保单位或灵活就业参保人员输入账号和密码登录。
四、登录后选择信息查询,选择电子单据信息查询,查看电子票据信息,点击页面地址可跳转至电子票据信息打印界面保存至本地,也可手机扫描下方二维码,查询电子票据信息。
五、票据查验
参保单位、灵活就业参保人员可以通过关注“山东财政电子票据”公众号(微信号:sdczdzpj),点击票据查验,选择“电子单号查验”或“扫一扫查验”扫描电子票据右上角二维码即可查询真伪。
参保单位输入账号和密码登录。
参保单位查询电子票据信息步骤一。
灵活就业参保人员查询电子票据信息步骤一。
灵活就业参保人员输入账号和密码登录。
参保单位查询电子票据信息步骤二。
灵活就业参保人员查询电子票据信息步骤二。
通讯员 高爱浩
万元大奖等你拿,威海市创业大赛火热报名中!
通讯员 王洪浩
为进一步优化创业环境,激发大学生、退役军人等各类群体的创新创业热情,第三届威海市创业大赛即将开赛,目前正火热报名。
参赛条件
报名参赛的企业(团队)应符合国家法律法规和国家产业政策,经营规范,社会信誉良好,无不良记录、无知识产权争议,不侵犯任何第三方知识产权、所有权、使用权和处置权。
(一)参赛企业报名条件
1.2015年1月1日(含)以后在中华人民共和国境内工商、民政部门注册的合法企业及机构(含个体工商户)。
2.前两届威海市创业大赛获奖选手不得以相同项目再次参赛。
3.参赛企业应在广泛进行市场调研、认真进行企业分析的基础上,完成一份把产品或服务推向市场的完整、具体、有实施可能的创业计划书。主要包括公司基本情况、产品/服务概况、商业模式、市场分析、营销策略、管理团队、财务风险与管控、发展前景与规划等。
4.参赛项目涉及发明创造、专利技术、资源等,必须拥有清晰合法的知识产权或物权,报名时需提交完整的具有法律效力的所有人书面授权许可书、项目鉴定证书、专利证书等。
(二)参赛团队(未注册企业)报名条件
1.截至2020年1月1日,尚未在中华人民共和国境内工商、民政部门注册的、拥有科技创新成果或创业计划的团队。
2.核心团队成员不少于3人。
3.参赛者须为参赛团队核心成员或创始人。大学生创业组参赛人员面向就读的在校学生,需以团队或者企业形式参赛,年龄不超过45周岁。
4.团队负责人及主要创始人不担任其他企业法人代表。
5.参赛团队应在广泛进行市场调研、认真进行项目分析的基础上,完成一份把产品或服务推向市场的完整、具体、有实施可能的创业计划书。主要包括项目介绍、产品/服务概况、商业模式、市场分析、营销策略、管理团队、财务风险与管控、发展前景与规划等。
报名方式
6月8日前,文登区符合条件的企业和团队可发送参赛报名表和创业计划书等电子版材料发送至创业指导服务中心(地址:世纪大道84号8楼805室,电话:8469456,邮箱:wdcyzdfwzx@163.com)
奖项设置
综合组和乡村振兴组各设一、二、三等奖、优秀奖,标准为:
一等奖1个,奖励5万元。
二等奖2个,各奖励2万元。
三等奖3个,各奖励1万元。
优秀奖4个,各奖励0.5万元。
大学生创业组设一、二、三等奖、优秀奖,标准为:
一等奖1个,奖励3万元。
二等奖2个,各奖励1万元。
三等奖3个,各奖励0.5万元。
优秀奖4个,各奖励0.2万元。
退役军人组设行业赛一、二、三等奖、“创业之星”奖:
(一)一等奖1个,奖励5万元。
(二)二等奖2个,各奖励2万元。
(三)三等奖3个,各奖励1万元。
(四)创业之星奖4个,奖励0.5万元。
大赛另设优秀组织奖。
获奖后的支持政策
参加创业比赛获奖,除收获奖金外,还能享受到5大类的创业扶持。
政策支持
(1)符合威海产业特点并能快速落地威海的优质项目,根据情况奖励落地奖金30万元。乡村振兴组创业大赛设置专项基金,对于表现优异且符合本地产业发展的创业项目给予政策及资金扶持。
(2)符合条件的企业落实一次性创业补贴和创业岗位开发补贴等相关创业补贴政策。
(3)综合组创业大赛晋级复赛的企业或团队负责人、大学生创业大赛晋级决赛的创业项目负责人可以免费参加市级创业特训营,优先选送参加威海创业大学创新创业培训。
(4)符合条件的企业给予创业担保贷款支持,按有关规定给予全额贴息。
(5)优先参加大赛组委会组织的创业项目推介会、投融资对接沙龙等活动。
(6)退役军人组晋级决赛选手均由威海市推荐参加山东省退役军人创业大赛。威海市退役军人事务局将收录晋级决赛的所有项目,根据项目特点和需求进行创业孵化,提供场地、政策、市场、社会资源等方面的协助,帮助企业提供市场营销、企业管理、法律咨询等系统全面的创业服务。
(7)综合组、乡村振兴组、大学生组晋级决赛的优秀项目将推荐参加第四届“中国创翼”创业创新大赛选拔赛暨第五届山东省创业大赛。
媒体支持。获奖项目可以获得大赛合作媒体的跟踪宣传报道。
融资支持。优先对接国内外优秀投资人和创投机构。
孵化场地支持。对符合条件的、有场地需求的优先推荐到附近孵化基地落户,并给予减免房租及相关扶持政策。
大咖助力。获邀与创业圈大咖畅谈创业,享受创业指导专家“一对一”创业服务。
不忘初心牢记使命
本报文登6月2日讯(通讯员 初强) 5月12日,葛家中心卫生院组织党员赴刘公岛党性教育基地开展“不忘初心,牢记使命”主题教育活动。
全体党员参观了甲午战争陈列馆、历史选择厅、北洋水师提督署等教育场所,通过认真聆听讲解、观看图文并茂的典型事例、人物事迹和历史文物,重温了近代中国那段屈辱历史。丁汝昌、邓世昌等爱国将士捍疆卫国、浴血抗敌的悲烈壮举,使大家的心灵受到强烈震撼。
这次党性教育加深了全体党员对中日甲午战争的认识和了解,激发了主动干事的干劲和激情。大家一致表示要自觉继承先辈遗志,不忘初心,主动作为,以实际行动为医院发展做出贡献。
档案查询,为您解惑
问:单位及个人查阅人事代理人员档案需要提供什么证件?
答:档案管理服务机构应为符合相关规定的单位及个人提供档案查阅服务。
(一)单位查阅人事档案,应出具盖有单位公章的单位介绍信,以及查阅人身份证原件;阅档人员须是党员干部。对不符合规定条件的,可根据实际情况向查阅单位介绍被查阅人的有关情况;阅档人员不得查阅或借用本人及其亲属的档案。
(二)本人查阅档案,需要提供本人身份证原件。
通讯员 侯丽芳 隋红玲
问:大中专毕业生档案如何查询?
答:(1)未就业大中专毕业生到生源地或户籍地所在人力资源部门查询。
(2)已就业大中专毕业生到就业单位所在人力资源部门查询。
通讯员 侯丽芳 隋红玲
理论宣传进基层
为增加“学习强国”学习平台推广的力度,5月28日上午,特巡警大队深入北山社区开展理论宣传进基层志愿活动。
期间,大队志愿者深入各社区、街道、广场、超市等人员密集场所,通过面对面的形式宣传推广学习强国app,对不会下载和操作的群众,采取“一对一”模式现场教学,教授下载注册,教授学习使用。同时,志愿者通过微信群、朋友圈,晒出了平台的二维码和组织架构链接,对平台进行宣传推广。
通讯员 曲彦霖
红色文化 薪火相传
——记威海市文登区红军小学
文登是革命老区,是胶东革命的摇篮。感恩革命老区的历史贡献,惠泽革命老区的教育事业,多年来,文登学子传承红色基因、丰润生命底色,争做红军传人,展示出新时代青少年的朝气锐气和责任担当。
传承红色基因,
争做时代新人
走进文登区第二实验小学,校门口处的“红军小学”映入眼帘,这是威海市首家红军小学。在红军小学鲜红旗帜的感召引领下,学校以“立德树人”为目标,以培育新时代的红色少年为己任,将“红军小学 红色希望”的火种在文登生根发芽。
2011年,全国红军小学建设工程理事会研究决定,在胶东半岛建立“中国工农红军文登红军小学”,文登第二实验小学正式成为全国百所红军小学的一员。
原外交部长、全国人大外事委员会主任李肇星为学校授牌,原学校名誉校长张玉华将军,多次到学校看望孩子们;雷锋生前的亲密战友乔安山和第二任雷锋班班长庞春学和学生们一起上班会课、唱《学习雷锋好榜样》;原武警指挥学院副院长、周恩来邓颖超研究中心顾问、周总理生前秘书纪东将军出席了学校第七届幸福小主人颁奖典礼并为孩子们做了专题报告;原中国人民解放军海军副司令员、全国红军小学建设工程理事会理事长赵兴发中将、全国红军小学副理事长兼秘书长方强等领导到学校看望孩子们。学校师生代表到北京北戴河看望迟浩田上将,同学们把亲手绣的十字绣送给迟浩田上将并演唱了京剧《红灯记—闹工潮》;学校“红军娃”宣传队来到周总理的故乡江苏淮安参加“庆六一,沿着党的足迹前进”文艺汇演;学校师生代表到南京看望学校原名誉校长、文登籍开国将军、原南京军区副政委张玉华少将。张玉华少将为学校题词——请家长放心,让群众满意;赵兴发中将题词——幸福流长。领导及全国红军小学大家庭的关爱不仅让孩子们接受了一次次红色教育,传承红色基因,更让学校师生徜徉在幸福之中。
在校园的红色展厅前,一组革命战士的雕塑十分醒目。“这是2017年,文登区革命传统教育基地管理中心向学校捐赠的雕塑,三位勇敢的八路军战士,造型逼真、生动传神,透露出胜利的自信和自豪。”学校校长苏爱萍说,作为全国红军小学五星级学校,必须担当起这份荣誉,充分挖掘地方红色教育资源,引导学生了解红色历史,传承红色基因,争做时代新人。
“爷爷的一席话,
一直激励着我。”
“很幸运,在我四年级的时候,我和我的同学黄景雯代表第二实验小学的全体师生到南京看望学校的名誉校长、文登籍开国将军、原南京军区副政委张玉华。”原文登第二实验小学学生原梓育说,回忆起当时的情景仍然历历在目。
“要好好学习,弘扬红军精神,做新时代的红军娃!”张玉华将军教导我们说。
“虽然爷爷走了,但是爷爷的一席话,一直激励着我。”原梓育说,今天的幸福生活是老一辈革命家用鲜血和生命换来的,作为初三学生,好好学习,珍惜时光,才能对得起前辈们的殷切期望。
特色教育,
将红色基因根植于心
“小学处于人生成长的奠基阶段,‘做什么样的人’对其成长成才有深远影响。在我们红军小学,一直将红色教育纳入办学理念,并将其列入校本课程资源开发体系中,为学校文化建设注入新的内涵。”校长苏爱萍说,学校开发红色教育教材,兼周校本课都要进行红色教育课程学习,充分挖掘红色教育元素,同时,将国防教育引入课堂教育,并通过组织学生参观红色教育基地等实践活动,拓展视野,丰富知识,让学生在现实与历史的碰撞中,感受红色文化和红色精神。
“每到周三下午的校本课堂,铃声一响,我和同学们都会自觉地整理好衣冠和红领巾,做好课堂准备。”五年级学生于艺雪说,红色课堂讲的大多都是革命历史、革命英雄,十分感人,每一堂课,他都会认真聆听。
“了解红色故事,感悟先辈革命精神,可以让孩子体会到美好生活来之不易。”学校老师张晓辉说,现在,孩子们都能讲出几个红色故事。
多年来,学校不但常年开展讲红色故事、读红色书籍、听红色报告、唱红色歌曲等活动,他们还组织学生开展红色研学,走进四川旺苍中国红军城、台儿庄大战纪念馆、铁道游击队纪念园、南京雨花台烈士陵园、南京大屠杀纪念馆、周恩来纪念馆等地接受教育,重温红军精神,身临其境地感受红色历史,将红色基因根植于心。
“女儿就读的第二实验小学是全国红军小学五星级学校,经常开展开展红色教育。她参加的四川研学,感触很深。回来后,她变得更加懂事了,学会了珍惜和感恩,我们都看到了她的成长。”参加四川旺苍研学的学生家长宫军珂说。
(文登区双拥服务中心 供稿)
追逐白色小球的阳光少年--马健翔
齐鲁晚报·齐鲁壹点 记者 曲君伟
初见马健翔,他正在金亚乒乓球俱乐部练习乒乓球基本功,白色的小球如精灵般在球台跳跃。马健翔小脸上流淌着大滴大滴的汗水,但眼睛里充满了快乐。熟悉他的人都会感叹:“这孩子,简直就是一位乒乓小球痴。”
今年10岁的马健翔,是文登区河南小学的一名小学生。2017年的3月,正值春暖花开的日子,母亲丛俊英突然心血来潮,带儿子去金亚乒乓球俱乐部试学乒乓球。母亲的想法很单纯——男孩子终究要有项擅长的体育项目,乒乓球是中国的国球,它不仅可以锻炼孩子的反应能力和身体素质,且选手间没有身体接触,孩子受伤的概率很低。没想到,母亲这次无心插柳之举,造就了一位乒乓球追风少年。
刚拿起球拍的小健翔,练习的时候已然有模有样,无论是正手还是反手,孩子打得一板一眼,毫不含糊。教练李承城回忆说:“这孩子在乒乓球项目上很有天赋。”
从此,马健翔与乒乓球结下了不解之缘。此后三年里,马健翔的周末基本都在乒乓球桌旁度过,冬练三九,夏练三伏,从未间断。一闲下来,他便会想念那蓝色的乒乓球台和白色的小球。别人家的孩子想要的礼物是玩具、卡片、零食,但马健翔缠着父亲索要的,是球拍、胶皮等乒乓球装备。每到训练的日子,马健翔特别兴奋,一下车就直奔乒乓球俱乐部,开始挥汗如雨的训练。李承城教练回忆说,马健翔对乒乓球运动的喜爱几乎到了痴迷的地步,无论是俱乐部的训练,还是河南小学校队的训练,他几乎一天都没落下。
宝剑锋从磨砺出,梅花香自苦寒来。日复一日的辛勤训练最终转换成了优秀的成绩。短短三年时间,马健翔的球技提高很快,从握拍姿势不标准的菜鸟,变成了入选河南小学乒乓球校队的选手。他曾多次代表河南小学参加全区乒乓球比赛,并获得优异的成绩。小学三年级时,他获得了全区乒乓球小学组第四名,还获得了少儿百团大战团体第四名等好成绩。2019年暑假,参加全国乒乓球“国球舍”集训营的他,获得了前乒乓球大满贯、著名乒乓球奥运会冠军王楠的接见,并代表全国的少年优秀选手在会上发言。
乒乓球运动不仅锻炼了他的身体,还磨炼了他的意志品质。抗击新冠病毒肺炎疫情期间,学校集体停课,孩子们被迫在家上网课自学。由于同在医疗系统工作的父母都战斗在抗疫一线,马健翔几乎成了“没人管”的孩子。但马健翔从未让父母操心,长期以来养成的良好习惯使他每天自觉起床、吃饭、上网课,生活比上学时候还有规律。疫情期间封门闭户,某些孩子便吵闹着要出门逛逛,马健翔却严守规矩,几乎大门不出、二门不迈,只是偶尔摩挲着乒乓球拍,感叹许久没打乒乓球了。
马健翔不仅在乒乓球项目上暂露头角,其他特长方面也颇有成果。多才多艺的他,既是威海赛区绘画三等奖得主,也是机器人创意邀请赛二等奖得主,同时还是班级的“学习之星”。
“我要像偶像王楠姐姐那样努力拼搏,向着更高的目标前进。”白色小球的追风少年马健翔语气坚决地说,“我喜欢乒乒球,它不仅丰富了我的成长经历,更让我懂得所有成功最终都是靠拼搏才能实现的。”
爱在远方
宋吉英,女,系文登区作协会员,《滨城文学》副主编。先后在《文登大众》《文登文艺》《威海日报》《威海晚报》等报纸发表诗歌百首。作品散见于《世界日报》《中国社区报》《山东文学》《齐鲁文学》《长江诗歌》《云海诗刊》《楚天金报》《威海文艺》《文登文艺》《威海卫文学》《威海诗歌》《登封文学》《天柱》《大乳山》等书刊。
人生的旅途中,你我的巧遇在一个美好的春天,成了爱的方程。美的延续。你时常带我去大海边,看初升的太阳,落日的余晖,水中的渔船、空中飞舞的海鸥...…那一道道靓丽别样的风景,勾画出美好的诗句,永远也读不完。
当初我真不知道如何读你,你那宽厚坚实的臂膀,你那回眸的一笑,你那深情的目光...……令思恋与关怀向空间四处无限伸展。
在婚姻的殿堂,是你牵着我的手。在亲人和朋友们的面前,说出了爱的真言。交杯酒注定了爱的永恒。在爱的诗笺里收藏。相信这段时光永远不会发黄。
结婚不久,事业的安排,朋友的邀请,你要去南方打工。当时夏天的热情,驻进了我空荡荡的空间,演绎出火红的思念。我时常独自坐在夜的深处,望着天上的星星,地上的明灯,往事随风,尘缘似梦。顺将所有的繁星推到梦的边缘,照亮那颗思念的心,猜想绵绵,写进诗行。
每当斜风细雨飘洒你的梦帘,我就在雨丝里扑捉着每一个晶莹的日子。弯弯眉月,会不会从今宵起,你不觉得你我好久没去那美丽的海滨小城了吗?
我喜欢写诗,悄悄地寄诗给你,什么是诗?诗是什么?我不知道,但我知道诗从人的灵感中诞生,诗使你我相识相认。你曾写过江南雨季,我曾写下北方雪花飘飞的思绪。两地的季节,辨认着诗的远方。我认真的在时光的磨盘里,为我们的细节打理成章,将内心产生美好的诗句慢慢收藏。花开花落,月缺月圆,岁月消瘦了,直到秋风路过了你,路过了月光下你曾栽的那些小花,我用笔为它们轻轻地描画。
不知不觉,秋风有些凉意,失去你的温情,我的叹息如同落叶无奈的飘零。飘舞的忧伤,也许因为还在依恋你我相识的那个迷人的季节。面对着一杯茶水,令我的思念更加加倍。我多想多想踏上直达的火车,让真诚永远陪伴着你,欢快地度好每一天。你曾在信中提过,等春节才能回家带我去你那。期待的漫长,可中秋的月儿难圆这无边的期待,明亮的月光显得格外凄凉,秋虫低音浅唱倾听地凄凄惨惨。你可知道荒野此时可有小花绽放的孤独,深深的庭院可有寂寞的角落。空中的鸟鸣震落下我美好的幻想,两隔相望也能成为人生的浪漫?
在这收获的季节,心里总是有些烦躁。瑟瑟飘落的树叶,使我那本不平静的心又泛起波澜。一颗诗心,让我更加急切的想离开孤独,走进你的世界。枫叶正红,默言的秋风吹落一地。我捡起一片珍藏在内心的最深处,沉默无语,唯能把感情洒落在这片叶子上。
一个人的世界,没有喧哗,没有灯影,慢慢发现,清静的空间成了时间的寂寞。花谢花开。揉搓着相思,蹉跎了岁月。用力追求,甜蜜抚平内心的忧伤。陶寻醉意。花开的季节,美好的风景。秋菊正艳,醉美人间。秋风再起,又一次飘落着片片黄叶。
叶落秋尽,你为我写下长相思厚积如山,在这薄凉的世态里,我夜夜焚字取暖,在你遥远的祝福里,抵抗寒冬。寒夜的烛光更加暗淡,令人沉思,令人所向。所有的日子挂满了渴望。遥远的距离在内心深处慢慢缩短。读着你的首首小诗,醉意又恋心头,诗意里存放着截然不同的意境。终于待到年味近了,鞭炮声响起来的时候,你终于回来了。再次地拉着我的手欢快地告诉我,带着爱的心愿,陪我一起在南方,永度美好的春天!
文/宋吉英
也说松坡
文/孙念军
丛松坡是一个传奇,一个末代匈奴的传奇。
仁者见仁,智者见智。作家陈全伦如此描述:他行走在荒凉的大漠,行走在冰冷的边塞,他到过祁连山,到过居延河……像一个行者,像一个探险家,像一个狂徒,更像一只野狼。寻找自己的归宿。散文家丛桦笔下的丛松坡,是一匹虬须横生,横刀立马,弯弓搭箭的现代版匈奴。
颇有些狷傲的威海籍作家徐承伦,在丝路百城《威海传》中,描述了一个文登土著布衣丛松坡:挺拔伟岸之躯,洒脱潇散,侠骨朗月之性涣然莹然。每每与朋友酌,把酒慨歌,海阔天空,浑雄快哉;谈古论今,慷慨激昂,抨击时弊,嫉恶如仇;见月伤心,对花落泪。
我觉得这些也只是管窥一斑。
对一个人,对一个有思想深度的人,没有深度的理解,是很难做出正确结论的。正如红学家研究红楼梦,许多人都以为读懂了,其实大多是自说自话。真正懂得红楼梦的,古今中外只有一个人,只有曹雪芹一个人。
我之所以解读丛松坡,多是占了近水楼台的便宜。我和松坡是世为通好的小同乡,两村之间只隔着一道丘陵。追溯到母系那里,松坡的先祖与我的外祖当是伯仲叔季的亲缘。追溯到其令尊珍滋,我与老先生属忘年交,青年时与其就有高山流水之约。
珍滋先生雄豪、旷达、博学、友善。除了敬仰先生的人品,我更看好的还是他的学养。先生驾鹤西去多年,至今忆起他那笔颜体行书还历历在目。松坡肖父,诗词文赋都不乏生花妙笔,这和其家族文化传承有关。松坡的祖父不惟是是村社间的文化人,还是松坡研究家族文化的蒙师。可能这些都是我欣赏他的原因。近些年寄居女儿家,与丛氏祠堂毗邻而居,有闲便去讨本书看,找杯茶吃。
早年我与松坡只是神交。上世纪末他在镇上做新闻时印象就很深。后来在珍滋老先生那得到了一部《丛氏源潭》,更不免刮目相看。老先生告诉我松坡在做大事。“修修宗谱也罢,也是完了先祖一个夙愿。现在好好的工厂也不干了。一门心思要把天下的丛氏族人聚集到文登寻根问祖。挣的钱都出书和筹建什么研究会了。”老先生历经劫难,心有余悸不理解儿子。是的,在那个刚刚开禁,人人想钱,奉权钱为圭臬的岁月,人们对松坡的无私狭义确实很难理解。
如此壮举,在世风日下物欲横流的年代,无疑是惊世骇俗的奇葩。这不仅让我想起“自伤伤世如癫狂”的诗句。而这个不甘沉沦的匈奴后裔,却执著于改变道德与诚信缺失,执著于弘扬中华民族文化。然而,这样的执著赢得的不尽是鲜花和掌声。人们往往以世俗的目光睇视世界。或言:松坡把海外富商捐助的巨款装进了腰包。或言:松坡把村里的家谱卖给了美国,得了一笔大钱。
愤慨、郁闷、释怀。九九八十一难,孙悟空跳出了八卦炉。松坡悟了:在奸相蔡京都被当做财神供奉的年代,这不是很正常吗?松坡对着挂满槐花的大树放开喉咙大笑起来,震落的槐花洒满了庭院。他明白了,彻底想明白了。索性破釜沉舟关停工厂,做起了专职家族文化践行者。
1996年发起成立丛氏家族文化研究会,2001年出版《丛氏源潭》多部;2013年主编发行《中华百家姓氏源潭》,王、张、李、刘、邱源谭丛书。发起成立香港、台湾、韩国世界丛氏宗亲研究会。
愚公移山,夸父追日。不以功名累其心,不以富贵累其心。一个人感动几个人,几个人感动一批人,一批人感动一个民族,一个民族引领全世界。松坡成功了。三十年风雨兼程,赢得了家族文化复兴。雪山、草原、大漠,黄河上下,白山黑水,大江南北,大海之滨……数以万计的匈奴后裔,满载着回归的中华民族道德诚信,朝着太阳升起的地方,像虔诚朝圣的穆斯林向古县文登纷纷涌来……
丛松坡声名远扬誉满全球,先后被张、李、赵、刘、金、鮑、谭、佘、邱等多家姓氏宗亲会聘为顾问。
是什么量促使丛松坡,如此痴迷于中华民族文化复兴?这个让我百思不得其解的问题,前几天终于找到了答案。松坡答凤凰网记者问,一语道破了天机:血缘宗族崇拜就是炎黄子孙的信仰,家族文化弘扬的道德精神就是中华民族传承五千年的魂。世事如斯,思古忧今使我无法卸去身上沉重的包袱。如同一个宿债的背负者,虽然孤独,但我别无选择。
这就是一个中华民族文化复兴者的独白,这就是一个慷慨激昂的丛松坡,一个真实的丛松坡。
孙念军,文登土著,工农兼半。嗜书如命,毕生以书为侣,一日无书,寝食不甘。亦喜文学创作,偶尔有习作见于报刊。2016年出版长篇历史小说《绿蚁》。2015年加入文登区、威海市作家协会。2018年加入山东省作家协会。
区纪委监委召开领导班子专题民主生活会
5月29日,根据市纪委监委第三专项检查组反馈意见,区纪委监委召开领导班子专题民主生活会。区委常委、区纪委书记、区监委主任姜全文主持会议,区纪委监委领导班子成员参加会议。
区纪委监委对开好这次民主生活会高度重视,做了充分准备。会前,区纪委监委领导班子深入学习了党的十九大精神和习近平新时代中国特色社会主义思想,认真研究专项检查整改工作,制定了《文登区纪委监委全面认领专项检查反馈意见整改落实工作方案》,并对问题进行了全面认领,逐项明确整改措施、责任人、责任单位、整改时限。同时,班子成员之间、班子成员与室部组负责人广泛开展谈心谈话,力求把问题找全,把原因找透。
会上,姜全文代表区纪委监委领导班子作对照检查,深入查摆剖析问题,提出今后的努力方向和整改措施。班子成员逐一作个人对照检查,本着“团结—批评—团结”的方针,互相提出批评意见,直面问题、不遮不掩,起到了红脸出汗、加油鼓劲、立行立改的效果。
姜全文强调,区纪委监委领导班子要以此次民主生活会为起点,立足当前我区实际,认真抓好整改落实,推动纪检监察工作高质量发展。
姜全文到基层走访调研
近日,区委常委、区纪委书记、区监委主任姜全文先后到区发展改革局、民政局、科力化工材料有限公司、迪嘉药业集团有限公司、昌洋投资有限公司、大水泊镇走访调研。
姜全文指出,各单位党委(党组)要履行好管党治党政治责任,加强对党员干部的日常教育监督管理,深化运用监督执纪“四种形态”、特别是第一种形态,严肃整治疫情防控和经济社会发展工作中的形式主义官僚主义,持续保持正风肃纪的高压态势。
走访中,姜全文与企业负责人现场交流,详细了解企业复工复产以来存在的困难和问题,鼓励企业负责人要坚定信心,抓住政策利好的重大机遇,加快生产经营。同时表示,区纪委监委将强化对相关职能部门的监督检查,为经济社会高质量发展提供坚强保障。
为认真学习贯彻《党委(党组)落实全面
为认真学习贯彻《党委(党组)落实全面从严治党主体责任规定》,进一步压紧压实我区各级党委(党组)主体责任,推动全面从严治党向纵深发展,近期,区纪委监委班子成员、派驻纪检监察组组长分别前往各镇街及监督单位,开展全面从严治党主题宣讲活动。
▲图为5月21日,区纪委副书记、区监委副主任谭腾飞开展主题宣讲。
▲图为5月26日,区纪委常委、区监委委员邱慧慧到米山镇开展主题宣讲。
▲图为5月27日,区纪委常委曲志军到泽头镇开展主题宣讲。
▲图为5月29日,区纪委常委牛立勇开展主题宣讲。
▲图为5月26日,区监委委员吕景明到高村镇开展主题宣讲。
▲图为5月25日,区监委委员孙红妮到界石镇开展主题宣讲。
区纪委监委开展2020年度廉政谈话工作
5月16日至26日,区纪委监委领导班子成员分头同各镇街党政主要负责人和区直部门主要负责人进行廉政谈话,进一步压实全面从严治党主体责任。
◤图为5月21日,区委常委、区纪委书记、区监委主任姜全文到张家产镇开展廉政谈话。
◤图为5月21日,区委常委、区纪委书记、区监委主任姜全文到环山街道开展廉政谈话。
◤图为5月21日,区纪委副书记、区监委副主任谭腾飞到检察院开展廉政谈话。
◤图为5月26日,区纪委常委、区监委委员邱慧慧到米山镇开展廉政谈话。
◤图为5月20日,区纪委常委曲志军到医保局开展廉政谈话。
◤图为5月16日,区纪委常委牛立勇到天福街道开展廉政谈话。
◤图为5月26日,区监委委员吕景明到高村镇开展廉政谈话。
◤图为5月19日,区监委委员孙红妮到科技局开展廉政谈话。